Back to Home Page of CD3WD Project or Back to list of CD3WD Publications

CLOSE THIS BOOKSmall Scale Irrigation Systems (Peace Corps)
Section 9. Water distribution
VIEW THE DOCUMENT(introduction...)
VIEW THE DOCUMENTDesigning the distribution systems
VIEW THE DOCUMENTConstruction of the distribution channel

Small Scale Irrigation Systems (Peace Corps)

Section 9. Water distribution

For most water sources, some sort of a distribution system is required to transfer the water from the source to the area to be irrigated. Most small irrigation systems use small ditches and canals, and the water flows by gravity.

Unlined ditches dug in ordinary soil lose a large amount of water by seepage into the surrounding earth. Part of the seepage might be recovered by growing crops along both sides of the unlined channels.

Seepage losses can be reduced by using linings of masonry, concrete, or plastic sheets, but they are seldom used on small projects in developing countries.

Extraneous vegetation, such as weeds, trees, etc., should be removed to reduce evapo-transpiration losses near the channel.

Obviously, pipes would prevent losses from seepage and evaporation, but the cost of pipes usually prevents them from being used.

Several critical requirements must be met when designing a channel to distribute water:

· To reduce seepage losses, the soil should not be too permeable. If the ditch must traverse an area of very permeable soil, a lining of a heavier soil type might be feasible.

· The channel must have enough slope and area to convey the quantity of water required.

· The velocity in the channel must not be so fast that it causes excessive erosion. In extreme cases, masonry or wooden structures may be required to reduce the effective slope.

For very small flow rates, channels may be of V or semicircular cross section; for larger capacities, trapezoidal cross sections are generally used. The side slope on a triangular or trapezoidal cross section will depend upon the soil type. Figure 9-1 shows the three common cross sections.

Side slopes that are too steep will cave off into the channel. The U.S. Bureau of Reclamation recommends a side slope of 3:1 (horizontal: vertical) for sandy soil, about 2:1 for loams and clay loams and as steep as 1:1 or vertical on heavy clay soils. Masonry-lined channels can have vertical sides if they are properly reinforced.


Figure 9-1. The hydraulic characteristics of channel sections

The velocity of flow in a channel is a function of:

1. Cross sectional shape of the channel,
2. Slope of the channel, and
3. Roughness of the channel.

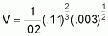
The Manning equation is most frequently used to calculate the flow in a channel.

V =[ R2/3 S1/2 ] / n

where,

V = Mean velocity, m/sec
R = Hydraulic radius, m
R = (Area ÷ wetted perimeter)
S = Bed slope in the direction of flow, m/m
n = Manning roughness coefficient

The hydraulic radius of a channel is defined as the cross sectional area of the channel that the water will occupy divided by the wetted perimeter. Figure 9-1 shows formulas for area, perimeter, and hydraulic radius for three typical cross sections.

The term occurs in two formulas for hydraulic radius. Table 9-1 gives the value of for typically encountered values of K.

Table 9-1. Table giving values

K

1/4

1.03

1/2

1.12

1

1.41

1 1/2

1.80

2

2.23

2 1/2

2.69

3

3.16

The two-thirds power of hydraulic radius may be read from Figure 9-2, and the sguare root of slope can he taken from Figures 9-3 and 9-4.

Values of "n" for use in Manning's equation are given in Table 9-2.


Figure 9-2. Chart to determine the power of hydraulic radius for Manning's formula


Figure 9-3. Chart for finding the square root of x (for x =.01 to 10)


Figure 9-4. Chart for finding the square root of x ( for x =. 00001 ti.01 )

Table 9-2 Values of n for use in Manning's equation

Channel material

Value of n

Earth Channels Straight and uniform

0.02

Stony bed, weeds on bank

0.028

Small or irrigation channels or drainage ditches

0.04

Lined Channels Concrete

0.015

Masonry, rubble

0.017 to 0.030

If channel velocities are too great in unlined channels, excessive erosion will occur. Table 9-3 shows maximum recommended channel velocities.

Table 9-3. Permissible channel velocities for carrying clean water

Type of soil

Velocity, m/see

Very fine soil

0.45

Sandy loam

0.55

Silty loan

0.60

Alluvial silts

0.60

Dense clay

1.10

Alluvial silty, clay

1.10

Although high velocities can cause severe erosion of a channel, very low velocities may cause a different problem. Water from a rapidly flowing stream could be high in sand, silt, and clay that would be carried along by the flow. Such water diverted to a slow-moving irrigation canal would settle out sediment that would require that the canal be cleaned periodically.

Designing the distribution systems

Designing a trapezoidal channel usually requires a trial-and-error solution. One of two general situations will prevail:

· The slope is great enough that the maximum permitted velocity can be obtained or exceeded.

· The slope is not great enough to allow the maximum permitted velocity to be reached.

When slope is great enough to allow the maximum velocity to be exceeded, two solutions are possible:

· Reduce the effective channel slope by installing a wood or masonry drop at some point so the slope along the remainder of the channel will be effectively reduced, as shown in Figure 9-5.

· Deliberately reduce the hydraulic radius, R, by making a wider and shallower channel.

When the slope is not great enough to permit the maximum velocity to be obtained, select depth values until the required cross-sectional area can be obtained with minimum excavation.

V-shaped channels are easier to design than channels of trapezoidal cross section because depth, rather than both depth and width, is the only variable. V-shaped channels normally will be used when designing channels for relatively low quantities of flow, including furrows in the field.

Example Problem: Assume that a stream 400 m from an irrigated field is to be used for a water source. The water is to be transported in an open channel whose texture is an alluvial silt (the texture usually found in the floodplain along a stream). The elevation of the source is 2m above the upper end of the field to be irrigated. The water requirements are 0.2 m /see at the field. Design the channel, estimate the infiltration (conveyance losses) and determine the amount of water that will be required from the source.

Since the allowable velocity for an alluvial silt is 0.60 m/see (Table 9-3), the ditch area cross section required at the outlet end is derived by the following calculations:

Quality = Velocity x Area

where:

Q = channel flow rate, m³/sec
V = mean velocity of water in channel, m/sec
A = cross sectional area of channel, m²

Using U.S. Bureau of Reclamation recommendations for side slopes of 2:1, it is now possible to solve Manning's formula for the hydraulic radius required.

From Table 9-2, the value of n = 0.02 would be appropriate for this case.

The slope is:

and from Figure 9-4

S1/2 =.071

Substituting values in the velocity equation

From Figure 9-2 with R2/3 =.17, enter on the left axis, R2/3 at 0.17, move to the right to the curve and down as shown to find R =.07.

Now refer to Figure 9-1, and under the column for trapezoidal cross section find the two equations for area and hydraulic radius.

A = BD + KD²

and

Known values are for A, R and K and unknown values are B and D. Substituting the known values into the two equations gives:

.33 = BD + 2D²

and

Taking the value of , or ()from Table 9-1 yields 2.23

or,

Now solving for e in the area equation yields:

Substituting this value for B into the hydraulic radius equation yields:

This simplifies to:

.07 (.33 + 2.46D2) =.33D
.023 +.172D2 =.33D

Transposing

.172 D2 -.33D +.023 = 0

Dividing by.172 simplifies to:

D2 - 1.92D +.134 = 0

This is a quadratic equation of the form AX2 + BX + C = 0 which has the solution:

Solving for D:

Using Figure 9-3 to find the square root:

We have to choose whether to use the plus or minus sign:

Choosing "-"

Choosing “+”

The lesser value of D may be substituted to find B:

Or using the alternative value of D

Since a negative value of B is a nonsense value, selecting the "+'' sign, which gave D = 1.84, was obviously an incorrect choice of size.

The calculations above were extensive and somewhat difficult. With such a problem, it is worthwhile to use the final values of B and D to find one of the original values. Let us see if the final values of B and D give the original velocity of about.6 m/sec.

Calculate:

This is very near our original assumed value of.6 m/sec.

Calculated, the total area of the ditch bottom is:

Area = 400 x 4.3 = 1720 m2

The infiltration rate from Table 2-2, assuming a silt loam soil, might be as much as 20 mm/hr or as little as.02 m/hr.

The hourly infiltration would be:

.02 x 1720 = 34 m3/hr

or =34/3600 =.01 m³ /sec

The second value is very small compared with the 0.2 m3/sec, which was needed to irrigate the field and might be neglected except during the first part of the period when the channel bottom was first being saturated.

This channel is very wide compared to the depth and would look somewhat unusual to most persons. However, it is located on a relatively steep slope and the depth and corresponding hydraulic radius were kept small to hold the velocity down. It occupies more land area than may be desirable, but if nonirrigated land is relatively cheap, there should be no great disadvantage.

Since the depth is relatively shallow compared to the width, it would require an excavation of less than 2 cm to obtain enough soil to construct side berms high enough to provide for the 7.5 cm flow depth plus some additional height for safety.

If the extra width were a disadvantage, a wood or masonry drop structure might be located somewhere to reduce the slope for all of the soil part of the channel.

If the slope for the above example were drastically reduced, say to 0.3 m per 100 m and the same calculations then were made when solving for D, the quantity B² - 4AC would be negative and the square root of a negative number is an imaginary number. This is to be a real channel, not an imaginary one, so some changes are required. Really, the problem is that with the reduced slope, it is impossible to reach the maximum allowable velocity.

To solve the problem with the reduced slope, the following approach could be used.

First, calculate the new slope:

S =.3/100 =.003 m/m

Next, assume a hydraulic radius, say 10 cm or.1 m. (The depth in a trapezoidal channel will be somewhere near twice the hydraulic radius, or 20 cm in this case.)

Using Manning's formula and Figures 9-2 and 4:

The area required would be:

Assuming that D = 2 x R or.2 m, use the equation for area of a trapezoid from Figure 9-1.

A = B + 2D
.36 = B + 2 x.2
.36 = B +.4 x 2.2
B =.36 -.89 = -.53

It is obvious that the depth selected was too great because B, the bottom width, became negative.

Try R =.05 or D =.1 again

54 = B + 2x.1 x
B =.54 -.4472 =.1 m

Now recheck R with D =.1 & B =.1

Since this value of R is very near our original assumption, it is probably unnecessary to recheck

Construction of the distribution channel

The slope of a channel designed, say to be 2 m in 400 m, has a slope that must be fairly accurately adhered to. Steeper slopes would cause erosion and less slope would increase the depth of flow in the channel.

Starting at the source, a survey should be made to provide a line for the ditch. It will be almost on a contour from the source to the field. If the contour line is quite crooked, it may be "smoothed" or straightened by digging the channel deeper through high points or by filling in low areas with extra earth to build the berms higher.

If the natural slope from the source to the point of use is very steep, it may be difficult to keep the velocity low enough to prevent erosion. A possible solution is to provide, at appropriate intervals, steps that will lower the water from one level to the next (Figure 9-5). The slope of the channel between the "steps" may be kept to a value that will prevent erosion. The steps may be made of wood or masonry materials. The flow velocity will be very high just below the structure and will cause severe erosion on the lower side. An apron must be provided to dissipate the energy in the falling water as shown in Figures 9-6 and 9-7. Table 9-4 shows the dimensions of a typical drop structure as shown in Figure 96(b).


Table 9-4. Dimensions of drop structures in relation to ditch capacity (refer to Figure 9-6b)

Table 9-4. Dimensions of drop structures in relation to ditch capacity (refer to Figure 9-6b)

Capacity of ditch in M³/S

Width of opening (W) M

(H) cm

(C) cm

M

.05

.3

30

15

.6

.2

.6

30

15

.6

.25

.8

40

15

.6

.3

.9

45

20

.8

1.1

45

20

1


Drop (D) M




Length of apron (L) M

.3




.8

.5




1

.6




1.2

1




2


Figure 9-5. Stepped channel to irrigated area


Figure 9-6. Drop structures


Figure 9-7. Masonry drop structures

If animal power is available, the earth to be removed from the channel may be loosened by plowing. Other methods may be required, depending on specific resources of a project area and country.

Figure 9-8 shows a V-Ditcher that could be drawn by animals to move some of the dirt to the side.

In ditch construction, the V-Ditcher operates quite like an oversized moldboard plow. After a channel line is laid out with surveying instruments, a moldboard plow is used to make a furrow on the line. Then the V-Ditcher is pulled back and forth in the furrow until a symmetrical ditch the size and proportion desired is formed.

One pair of bullocks or more may be used to pull a V-Ditcher. It is important, however, that the bullocks walk on the outside of the channel. Changing the operator's position on the V-Ditcher lowers or increases the depth of cut, which increases the power required to pull it. The width of the ditch may be increased or decreased by lowering or raising the handle of the ditcher.

Distribution channels require some maintenance. Weeds should be removed from berms and the channel to help from increasing flow friction, which would reduce the capacity of the channel. Plant growth on the berms also would increase water loss through transpiration.

In some countries, large animals, such as water buffaloes will pose a significant threat to canal systems. Consideration will need to be made for possible crossings for the animals, and perhaps, as well, for policies regarding grazing alongside the canals. The presence of large water buffaloes, for example, will naturally mean extra maintenance of the canal banks as it is virtually impossible to prevent the animals from wallowing in water and, thus, destroying the canal banks.


Figure 9-8 V - ditcher for forming channels or moving dirt to the side

TO PREVIOUS SECTION OF BOOK TO NEXT SECTION OF BOOK