Back to Home Page of CD3WD Project or Back to list of CD3WD Publications

CLOSE THIS BOOKSpecial Public Works Programmes - SPWP - Soil Conservation - Project Design and Implementation Using Labour Intensive Techniques (ILO - UNDP, 1982, 220 p.)
CHAPTER E. PROJECT IMPLEMENTATION1
VIEW THE DOCUMENT(introduction...)
E.1. GENERAL SITE ORGANISATION
1.1. Survey of local conditions and site reconnaissance
VIEW THE DOCUMENT(introduction...)
VIEW THE DOCUMENT1.1.1. Natural constraints
VIEW THE DOCUMENT1.1.2. Technical and economic constraints
1.2. Project planning
VIEW THE DOCUMENT1.2.1. Objectives of planning
VIEW THE DOCUMENT1.2.2. Forms of planning and their requirements
VIEW THE DOCUMENT1.2.3. Planning procedure
VIEW THE DOCUMENT1.2.4. Bar chart or GANTT chart
VIEW THE DOCUMENT1.2.5. Time and location chart planning
VIEW THE DOCUMENT1.2.6. Network or critical path planning
1.3. Setting up the site
VIEW THE DOCUMENT1.3.1. Construction of access roads
VIEW THE DOCUMENT1.3.2. Construction of site buildings
VIEW THE DOCUMENT1.3.3. Plant installation
1.4. Site management
VIEW THE DOCUMENT1.4.1. Management technique
VIEW THE DOCUMENT1.4.2. Personnel management
VIEW THE DOCUMENT1.4.3. Incentive system
VIEW THE DOCUMENT1.4.4. Role of project management
E.2. TOPOGRAPHICAL STUDIES
VIEW THE DOCUMENT(introduction...)
2.1. Topographical survey
VIEW THE DOCUMENT(introduction...)
VIEW THE DOCUMENT2.1.1. Planimetric survey
VIEW THE DOCUMENT2.1.2. Levelling
VIEW THE DOCUMENT2.1.3. Composition of a topographic survey team and survey standards
E.3. MARKING AND STAKING OUT THE STRUCTURE
VIEW THE DOCUMENT(introduction...)
VIEW THE DOCUMENT3.1. Preparation of the ground plan
3.2. Preparation on the ground
VIEW THE DOCUMENT(introduction...)
VIEW THE DOCUMENT3.2.1. Main staking out
VIEW THE DOCUMENT3.2.2. Additional staking
VIEW THE DOCUMENT3.2.3. Staking report
VIEW THE DOCUMENT3.2.4. Displaced stakes
VIEW THE DOCUMENT3.3. Personnel requirements and work output
E.4. GROUND PREPARATION
VIEW THE DOCUMENT4.1. Clearing the land over the area covered by the works
VIEW THE DOCUMENT4.2. Stripping - subsoiling
E.5. EXECUTION OF EARTHWORKS
5.1. General comments on soil type and handling
VIEW THE DOCUMENT5.1.1. Land classification
VIEW THE DOCUMENT5.1.2. Bank gradients
VIEW THE DOCUMENT5.1.3. Bulking - consolidation
5.2. Tools
VIEW THE DOCUMENT(introduction...)
VIEW THE DOCUMENT5.2.1. Trenching tools
VIEW THE DOCUMENT5.2.2. Tools for loading earth
VIEW THE DOCUMENT5.2.3. Tools for soil haulage
VIEW THE DOCUMENT5.2.4. Tools for soil compacting
VIEW THE DOCUMENT5.3. Manpower
VIEW THE DOCUMENT5.4. Labour organisation
5.5. Earth-moving methods and outputs
VIEW THE DOCUMENT5.5.1. Trench digging and spoil removal
VIEW THE DOCUMENT5.5.2. Loading and reworking spoil
VIEW THE DOCUMENT5.5.3. Spoil haulage
VIEW THE DOCUMENT5.5.4. Unloading, spreading and compacting
VIEW THE DOCUMENT5.5.5. Bank grading
5.6. Examples of earthworks
VIEW THE DOCUMENT5.6.1. Construction of a canal or ditch
VIEW THE DOCUMENT5.6.2. Construction of earth dams
E.6. IMPLEMENTATION OF REAFFORESTATION WORK
VIEW THE DOCUMENT(introduction...)
VIEW THE DOCUMENT6.1. Nursery work
VIEW THE DOCUMENT6.2. Planting
VIEW THE DOCUMENT6.3. Construction of forest tracks
VIEW THE DOCUMENT6.4. Plantation maintenance
VIEW THE DOCUMENT6.5. Examples of a plantation: planting along contour lines
VIEW THE DOCUMENT6.6. Productivity norms
E.7. IMPLEMENTATION OF DRAINAGE WORKS
VIEW THE DOCUMENT7.1. Installation of a drainage network
VIEW THE DOCUMENT7.2. Tracing out total trench width
VIEW THE DOCUMENT7.3. Calculating trench depth
VIEW THE DOCUMENT7.4. Trench digging
VIEW THE DOCUMENT7.5. Trimming the trench bottom
VIEW THE DOCUMENT7.6. Drain laying and backfilling the trench
VIEW THE DOCUMENT7.7. Manpower and output in manual drainage work
E.8. CONSTRUCTION OF MASONRY WORK
VIEW THE DOCUMENT8.1. Different types of masonry work
VIEW THE DOCUMENT8.2. Dry-stone masonry work
VIEW THE DOCUMENT8.3. Normal masonry work
VIEW THE DOCUMENT8.4. Gabion masonry work
E.9. CARRYING OUT CONCRETE WORK
VIEW THE DOCUMENT9.1. Characteristics of concretes
VIEW THE DOCUMENT9.2. Concrete preparation
VIEW THE DOCUMENT9.3. Shuttering
VIEW THE DOCUMENT9.4. Steel reinforcement
VIEW THE DOCUMENT9.5. Installing the reinforcement bars

Special Public Works Programmes - SPWP - Soil Conservation - Project Design and Implementation Using Labour Intensive Techniques (ILO - UNDP, 1982, 220 p.)

CHAPTER E. PROJECT IMPLEMENTATION1

1 This chapter covers only the general principles of site organisation and project implementation. Soil conservation work does not, in fact, necessitate any special organisation and the guidelines for other types of work are applicable without any major adaptation. Reference should be made to Training Course No. III “Project design, implementation and evaluation”, which has been produced as part of the Inter-regional Project for Planning and Administration of Special Public Works Projects.

This chapter describes the operation of soil conservation work sites in which priority is given to labour-insensitive procedures using untrained manpower, little skilled labour, a large number of simple tools and few machines.

E.1. GENERAL SITE ORGANISATION

1.1. Survey of local conditions and site reconnaissance

Before opening a site, the site manager should make a prior visit to the location to survey the major natural, technical and economic constraints so that he can decide on the work procedures and conditions.

1.1.1. Natural constraints

The main constraint is climate which may make it necessary to halt work at the site for some period during the year, either because of frost which prevents masonry and concreting work being carried out or due to excessive heat which may inconvenience workers and reduce output. The rainy season may also prevent certain types of work being carried out or be an impediment to haulage or materials supplies.

Water flow should be investigated before work is carried out on water courses. Ravine or gully rectification and dam construction should be carried out at the lowest water level or the work may be severely damaged or even totally destroyed during the construction period by the arrival of flood water. Nevertheless, if the work cannot be carried out at any other period or if the flood calendar is not sufficiently regular, additional protection such as the installation of coffer dams with water diversions, should be planned. However, this type of additional protection is usually expensive. Economic optimalisation should be sought between the cost of additional protection and the danger of the structure being destroyed during building. For the small structures described in this document, additional protection is not usually necessary and would be too expensive in relation to the danger of the structure being destroyed during building.

The sanitary conditions in the region are another natural constraint, and are particularly important for the satisfactory progress of labour-intensive works. Information should be obtained about the risk of any epidemic so that the necessary safety and control measures can be taken on site. Since water is a major vector of epidemic disease, the hygiene of the water being used should be the subject of particular attention.

1.1.2. Technical and economic constraints

Site access should be assured. During the site reconnaissance, note should be taken on the condition of existing roads and tracks, their distance from the construction site and any need for the construction of new access routes.

Supplies of materials should be established by examining the potential of existing quarries, the quality of the materials they supply, delivery capabilities and prices. Employment can be increased when use is made of local materials which are available close by and can be exploited without great difficulty using rudimentary techniques.

At the project design stage, it is essential to ensure that these materials are available in adequate quantity, have suitable characteristics and can be processed at a rate which meets site requirements. In addition, the manpower required for materials exploitation, processing and haulage should be assessed carefully before a decision is taken on reliance on local materials.

In this way, a reinforced concrete weir would require large quantities of sand, gravel and cement and would ideally be constructed using capital-intensive methods. Its replacement by a stonework weir might be envisaged. In such a case, it would be necessary to ensure that the necessary quantity of quarry stones was available, that the stone would be of sufficient hardness and that the haulage distances would not be excessive. If these requirements were not met, the advantage to be drawn from using these materials would be eliminated by the high cost of vehicles for their transport.

For non-quarry materials such as wood, fuel, cement and steel, the supply and price factors should be examined.

Supplies of equipment. It is necessary to assess the number of tools and machines required on the site: conditions for the purchase of new equipment, local resources and the condition of available second-hand material. Supplies of new equipment may take a long time in arriving and it is advisable to make allowance for this when plans are prepared. The possibility of manufacturing certain simple tools and having equipment maintained and repaired by local craftsmen should be considered. If local resources are inadequate, plans may be made to train local craftsmen or equip the site with its own resources (small workshop, etc.).

Local manpower and supervisory workers should be selected taking into account:

- local availability of unskilled workers;
- local availability of skilled workers such as blacksmiths, masons, etc.;
- availability of supervisory workers: foremen, topography technicians, etc.;
- working conditions: working hours, social structure, public holidays;
- cash wages and payment in kind.

Consideration should also be given to seasonal variations which may be very marked in certain cases, and be a major constraint for work which requires continuous progression. For example, in river bank protection work, which is normally carried out during the dry season, the time factor may be of particular importance; a marked seasonal shortage of labour may make it necessary to change the type of protection work or the haulage technique (use of haulage vehicles in operations for which they are particularly viable). Completion of the work in stages or segments might be a possible compromise where there is a temporary labour shortage.

The lack of skilled workers may also be a deciding factor in the design of the structure. A gabion or stonework retaining wall would require less skilled workers than a reinforced concrete structure. On the other hand, it would be necessary to use much larger quantities of materials to achieve the same strength. Consequently the structure will probably take longer to build and its commissioning will be delayed.

1.2. Project planning

1.2.1. Objectives of planning

Operational planning is an essential management tool which will make it possible to pursue a strategy or tactic, to keep control of the numerous factors that may affect final cost, and ensure the best use of available labour. The objectives of planning are those stipulated by task sequencing, work preparation and organisation, and work control and follow-up. These entail the drafting of various documents, the type and precision of which are directly related to the type of work being managed. With these documents it should be possible to have a precise idea of the abstract factors in a site, to highlight interdependence between various activities and pick out those operations which demand the project manager’s greatest attention in relation to the numerous constraints that have been foreseen: rainy season, religious holidays, harvesting, etc.

Depending on the size and complexity of the project, it may be necessary to break down the site into activities, operations and basic tasks, the repetition of which over a given cycle calls for specific attention and analysis. Planning is therefore a task for a technician with a thorough experience of building sites, men, working methods, the various presentation techniques and with a good mind for analysis and review. It is a task for a specialist.

1.2.2. Forms of planning and their requirements

It will be necessary to select between various existing planning procedures, all of which have certain advantages and weaknesses. In deciding the suitability of the planning procedure for the project in question, three factors should be taken into consideration:

(a) Project complexity. The criterion affecting the choice of presentation system is that of the complexity of the works. The majority of works involved in a soil conservation programme are relatively simple and the interdependence between the various tasks or operations is direct and relatively uncomplicated. Experience has shown that a choice of one of the following three types of presentation would meet the requirements of nearly all programmes:

- bar chart or GANTT chart planning;
- time and location chart planning;
- network or critical path planning.

(b) Exploitation of the document. The programming technique will depend on the skill of the workers using it. It will therefore differ depending on whether the user is the engineer in charge of the project, the staff responsible for programme accounting, the works supervisor or the foreman.

(c) Type of works. This will also affect the choice of programming technique:

- work covering a large area (reafforestation, dune stabilisation, etc.);
- linear work (ravine correction, erosion control ditches, etc.);
- work carried out at a given point (small dam, weir, etc.).

The factors which are being planned may, of course, also have an effect on the programming technique:

- labour requirements;
- material and tool supplies;
- plant rotation and maintenance;
- general works organisation;
- repetitive cycles of basic tasks;
- general progress and supervision of the project;
- financing schedule, etc.

Clarity and ease of interpretation are prime requirements in planning and an effort should be made to present information simply, by giving a self-explanatory and precise picture of the problem being analysed. The highlighting of interdependence between various operations is a fundamental requirement; this makes it possible to pick out critical tasks which should be given major attention.

It should also be noted that planning is merely a hypothesis, although the most realistic possible, for scheduling the various tasks in a project. It must therefore be possible to correct it and, if necessary, modify or adapt it flexibly to any change of work plan.

1.2.3. Planning procedure

All planning commences with collecting various items of information and calculating the basic technical data:

- assessment of available labour in the project zone;

- volumes and quantities for each task;

- probable performance for each basic task in view of specific climatic conditions, in particular;

- special site requirements: storage, water, access road, etc.;

- various constraints (rainy season, harvesting, religious holidays, etc.);

- allocation of funds;

- labour, equipment, tool requirements;

- availability of equipment, tools, etc.

The various tasks involved in the completion of the project are then placed in a logical sequence. Any form of depiction can be used: arrows, rectangles, bars, etc.; then one adds to the list those tasks which can be carried out in parallel and the ordering tasks (ordering of supplies, rotation of vehicles, requests for topographic studies, for example). In this way, one obtains an initial picture which highlights the task sequencing. The diagram will be supplemented with information on the basic times for each activity, the labour and mechanical resources to be employed and all the constraints which can be seen so far. A number of diagrams are drawn up in this way in order to identify the most economic programming.

The sequencing of operations is the most delicate part of planning and requires maximum attention. Once these studies have been done, the work’s programme can be presented in the most suitable form.

In the following paragraphs we will examine in sequence the planning of a single construction site using the three most commonly used methods (bar charting, time and location charting and critical path planning). The example in question is the general organisation of a site of 8 km of protective embankment combined with an irrigation channel (see fig. E.1).


Fig. E.1: Cross-section of channel and embankment

The list of the main operations is as follows:

Task

Operation

Direction of advance

Gang No.

Gang size

Duration (weeks)

A

Install site

0 - 8 km

4

5

3

B

Strip vegetation

0 - 8 km

1

20

13

C

Excavation

0 - 8 km

2

200

12

D

Fill

0 - 8 km

3

100

12

E

Stone facing

8 - 0 km

1 + 2

-

5

F

Grassing

0 - 8 km

3

-

1

This lists the main operational tasks. The ordering operations, which are of zero duration but nevertheless place constraints, have been omitted to facilitate comprehension. These may related to the ordering of stones, cement, etc.

1.2.4. Bar chart or GANTT chart

The type of chart proposed by GANTT is easily read and requires little skill on the part of the person producing it. One lists, on the left-hand side of the chart, usually from top to bottom, the various operations to be carried out in their logical order of execution and on the horizontal scale the time schedule to a convenient scale. Horizontally, against each operation, are drawn rectangles, or lines, proportional in length to the time the operation will take.


Fig. E.2.

To the lower section of the planning chart it is possible to add a diagram indicating labour, tool, equipment, etc, requirements. Improvements can also be made by joining up the various operations by arrows (linked GANTT chart) to show gang movements during operation of the site.

The major disadvantage of this type of diagram is that it does not show the various relationships that exist between different tasks, especially in the case of complex projects. It is also difficult to supervise project progress since the spatial relationships of the tasks are not shown.

Nevertheless, this type of diagrammatic presentation is very useful and is usually used for planning simple construction sites, summarising detailed scheduling that has been analysed by other methods, and for displaying to a large number of people, and in particular the workers themselves, the results of these analyses.

1.2.5. Time and location chart planning

This is an extension of the GANTT-type bar chart. However, it can be used only for linear and narrow sites such as: bank protection works, linear soil conservation works, forest tracks, embankments; or for tall and narrow structures: retaining walls, weirs, small dams, which entail successive repetition of the same activities.

The basis for drawing up a time and location chart is very simple and entails merely plotting on a chart points against Y co-ordinates (time in a convenient scale) and an X co-ordinate (the chainage of the project).


Figure

Using this technique, points A and B are defined in both time and space. Point A is therefore located at the 2 km chainage at the start of the third week; point B is at the 4 km chainage at the start of the fifth week. The line joining A and B therefore represents a two-week task being carried out between the 2 km and 4 km chainages of the project (an erosion control ditch, for example). The direction of advance of this task is of course defined as going from left to right. If a check is made on the advance of the work at the start of the fourth week, it will be necessary to ensure that the 3 km chainage (point M on the chart) has been reached as foreseen in the diagram. One can therefore see the value of this method in site supervision and control, since one can detect at an early date any delay or anomaly and rapidly make the necessary organisational changes.

It is possible to add to the chart a longitudinal section of the work under construction on which are marked the main features which may act as constraints: river to be crossed, cemetery, etc. This diagram should be drawn parallel to the X axis above or below the chart.

Any isolated point on the chart will show a task of 0 duration at the specific point of the site. This will be an order task (for example, ordering the supply of steel, cement, etc. to the site). A vertical line represents a task being carried out at one specific point of the site (construction of a weir, for example): and the duration of the task will be shown by the distance covered by this line on the selected time scale. Two parallel lines indicate operations carried out simultaneously by two teams at different locations:


Figure

Tall and slender projects are shown using the same principle; however, for ease in reading the planning chart, the time scale is shown on the X co-ordinate and the height of the structure on the Y co-ordinate as is shown in fig. E.3.


Fig. E.3.

The example of the construction of an embankment and irrigation channel previously plotted on a GANTT-type bar chart looks as follows when plotted on a time and location chart.


Fig. E.4.

Reading this type of chart poses no major difficulty. The main components of the project are shown, the operations are located in time and space, and the logic behind the programming and scheduling of tasks is indicated. The actual advance of the work can be plotted on the chart in dotted lines and any delays will show up clearly. A diagram showing resource requirements (manpower, materials, equipment) can be added to the right of the chart.

1.2.6. Network or critical path planning

Various systems of network planning exist, all based on the project graph theory. The PERT (Programme Evaluation and Research Task), or critical path system, is the one most commonly used and shows the sequence of operations by a more or less complex closed network of arrows and peaks.

The “critical path” is made up of a number of activities for which the completion times cannot be increased without delaying the final date of completion of the whole project.

Developing an arrow diagram is carried out in two steps. The first step is to identify the operations in their logical order of completion, noting those which are interdependent. This first step will provide the project’s logic chart; the required resources are not yet taken into consideration. The second step is to deploy these resources (manpower, time, materials) between the various operations so as to optimalise production time and costs.

When the network has been completed, the “critical” activities should be identified so that particular attention can be paid to them during the course of the work. It is usually advisable to present the results in the form of a bar chart which is more easily read and used by the workers themselves.

Developing a network diagram requires the use of special terms, the most important of which are given below:

Network or graph: a chart comprising peaks joined by straight or curved lines, usually orientated.

Event: beginning or end of an activity. Requires no resources. The event is shown by a circle in which are indicated: the event’s chronological number, and the earliest and latest finish dates.


Figure

Task or activity: shown by a line, the length of which is independent of the actual time required to complete it. This line ends in an arrow which shows task sequence.

Logical sequence: this is a sequence of interdependent tasks, the order of which cannot be changed.

Node: this is an event at which several activities finish or from which several activities commence. A node may initiate a number of operations. It is a strategic stage in the course of the work. In the case of large, complex projects, the network can be broken down into more or less extensive charts starting from these main linkage points.

Earliest event time: starting from the initial event at time zero, the sequence of the arrows is traced and the durations of the successive tasks are added together. When a number of paths coincide on a single event, this event will be given the time of the longest path.

Latest event time: a backward path is made over the network starting from the final event and taking successively the duration of each of the basic tasks. If a number of paths converge on a given event, this event will be given the time of the shortest path.

Free float: is the difference between the latest event time and the earliest event time.

Dummy activity: this is a broken line joining two events showing an interdependence and linking two events in different sequences. A dummy activity is of zero duration.

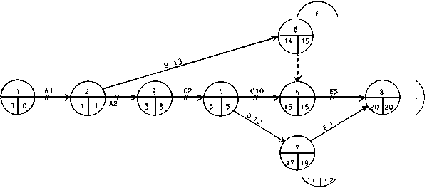
Network construction method (practical example): i.e. a weir foundation construction site comprising the following activities:

No.

Job

Duration
(days)

Immediately preceding job

A

Set-up site

2

Commencement of site

B

Marking out

1

A

C

Construct shuttering

4

A

D

Prepare steel reinforcement

2

A

E

Excavation

2

B

F

Install shuttering

2

C-E

G

Install steel reinforcement

1

D-F

H

Place concrete

2

Conclusion of site

This list of jobs will be classified by order of sequence in the table below which forms the links in the network (see fig. E.5):


Fig. E.5.

The network will then be laid out using the symbols described above to which will be added the earliest and latest times for each event.


Figure

The “floats” for each event (latest event time minus earliest event time), critical path () will be the one which passes through the events with a zero float.

In this way it will be seen that job D can suffer a four-day delay (8-4) without any repercussion on the final completion of the project. On the other hand, any delay in the completion of job C will have repercussions on the final completion date.

It will be seen that jobs 4/5 and 6/7 are “dummy” activities. They require no resources but indicate respectively that jobs F and G cannot start until jobs C and D have been completed.

The same principle is used below to show the critical path method for the construction of the 8 km embankment and irrigation channel. The stage classification method will be used. It will be noted, however, that for this type of site, certain constraints have to be introduced. They are as follows:

- job B starts one week after the start of job A
- job C starts two weeks after the start of job B
- job D starts two weeks after the start of job C
- job E starts after completion of jobs B and C
- job F starts after completion of job D.

Allowance can be made for these constraints by distinguishing in each job that part which must be carried out independently of the others and that part which has to be carried out simultaneously to others.

Scheduling the tasks by stage:

Stage 1

Stage 2

Stage 3

Stage 4

Stage 5

A (1 day)

A (2 days)

C (2 days)

C (2 days)

F


B

B

B

E




D



Fig. E.6: Diagram development

1.3. Setting up the site

1.3.1. Construction of access roads

When access to the site is difficult, an access road will be necessary for supplying the site with equipment and materials. The works supervisor should ensure, during the course of the work, that the necessary signs are in position to protect the road construction workers and to avoid accidents.

1.3.2. Construction of site buildings

The buildings (offices, sheds, accommodation for the works supervisor and workers, mess room, etc.) should be located at a relative distance from the site and the access road to avoid noise and dust.

The workshop and store should be built as close as possible to the site to avoid expensive transport.

A shed should be built in a dry place for storing the cement.

1.3.3. Plant installation

Plant should be stored where it is protected from dust and direct sunlight if possible; preference should be given to an area which is not muddy or sandy.

Fuel reserves should be stored in the shade away from accommodation and the plant storage area.

The area around plant and fuel stores should be kept clean to avoid fire hazards.

1.4. Site management

1.4.1. Management technique

(a) Site supplies

Good site planning depends especially on the site being well supplied with the necessary equipment and materials. Delays in supplies may make it necessary to halt the work of a gang and his may affect the whole site; the consequence of this is always an increase in costs.

From the opening of the site, the works supervisor should have a schedule of supply requirements for the various stages of the work. This should be kept up to date as the work advances and steps should be taken in advance to ensure that suppliers are able to meet deadlines and supply the necessary quantities.

At the same time, a stock of the most common spare parts should be established and this should be managed to ensure security of supplies.

(b) Quantity measurements

It is necessary to measure the work actually completed and the quantities of materials used and to compare this with the estimates made prior to the work. In the case of earthworks, these estimates are based mainly on measurements of surface areas and lengths intended to calculate the volumes involved.

Quantity measurement also covers estimation of all the other factors involved in cost calculation: fuel consumed, transport distances, etc.

These estimations may be entrusted to a quantity surveyor.

(c) Productivity improvement

This involves improving gang output and organising the various tasks to avoid individual gangs being idle.

To achieve this, the foreman should ensure that:

- the workers’ capabilities and competence are used to the best effect;
- the gangs are homogeneous;
- the best workers or the best gangs are encouraged (incentives, bonuses, etc.);
- the most suitable tools are used;
- the workers’ welfare is looked after (housing, food, etc.).

(d) Works progress reports

Daily progress reports should be drawn up and signed by the foreman.

The planning should be updated each week; if the planned tempo has not been kept, the site supervisor should be informed immediately.


Fig. E.5.

1.4.2. Personnel management

(a) Recruitment of workers

Special labour-intensive public works programmes require special personnel management which are matched to the specific social objectives of these programmes. Voluntary worker participation can be obtained only by suitable prior preparation, which may be of an administrative nature, and make use of public information and awareness campaigns.

When the project exceeds a certain level of workers and time, it is necessary to organise a volunteer recruitment and handling programme; the volunteers themselves should be classified by specific criteria to the jobs they will be expected to carry out taking into account their special abilities. On recruitment, each worker should receive an individual work card which may be based on the model shown below.

Fig. E.8.


RECTO


VERSO

A weekly attendance sheet (fig. E.9) should be drawn up for each worker, bearing only his family name, given name and address (with, where necessary, any special capabilities), designed for checking off the number of hours and days worked for calculating pay (or related benefits in kind). Depending on the size of the site, this tally will be kept by a tallyman, foreman or works supervisor himself.

Fig. E.9.

Site .................................................................................................. No. ..................................................

Work attendance sheet

Name .........................................................................................................................................................
Category .................................................................. Hourly wage ..............................................................
Gang ........................................................................ Month .................................................................. 19..

Week

Mon.

Tues.

Wed.

Thurs.

Fri.

Sat.

Sun.

Week’s total

From ..... to .....









From ..... to .....









From ..... to .....









From ..... to .....









From ..... to .....









From ..... to .....

















Worker’s signature

Work supervisor’s
initials

Registration No.

Worker designation

Work done

Wage

Remarks


Name

Personnel card No.

Wages/h

No. of rations per day

Hours

Days

Cash

Kind
















































































































Weekly payroll

(b) Site regulations

The provisions applied should be in, line with local customs and current legislation.

The regulations should specify:

- working hours;
- duration of the working week;
- method of payment;
- possible sanctions (for absence, late arrival, etc.).

Regulations may be established in consultation with workers’ representatives.

(c) Worker remuneration

The level of remuneration should be set by the competent authorities taking into account the specific nature of the work. Since these are community development programmes carried out by volunteers, remuneration may be lower than the minimum legal wage or paid in the form of benefits in kind.

Payment should be carried out at regular intervals on a daily or weekly basis. The works supervisor should ensure that the necessary funds are available in order to avoid delays in payment. In the case of payment in kind (food rations, for example), care should be taken not to diverge from local tastes which might be a source for discontent.

(d) Transport and quartering

To the extent possible, efforts should be made to recruit manpower locally; however, when the site is at a distance from the workers’ homes, it is advisable to organise their transport to the workplace, or if necessary their quartering on the work site by providing lodging, food and adequate sanitary facilities.

(e) Worker training

On small sites and on short-term work, worker training may be rudimentary and aimed primarily at the correct handling of the relevant tools.

In the case of larger and long-term sites, this training should be backed up by training aimed at providing workers with the knowledge necessary for them to take over responsibility for the correct operation and maintenance of the completed project (introduction to modern agricultural techniques, retraining of local craftsmen, reading and writing, etc.).

(f) Human relations, conflicts

The works supervisor should ensure that volunteers receive a warm welcome and are fully informed of the purpose of the work entrusted to them. Volunteers should also be divided up into gangs, where necessary taking into account existing social or community structures.

In special public works programmes, the involvement of the population in question usually leads to collective self-discipline. However, the coexistence of heterogeneous social groups (different ethnic origins) living together for a limited period under artificial conditions may result in conflicts.

The works supervisor should assert his authority and ensure correct progress of the project. To this end, he must ensure that the site regulations are observed and that a good community spirit exists on the site. Any infraction should be sanctioned accordingly.

(g) Health, safety and working conditions

Suitable working conditions will be laid down by practice and legislation; they will have an effect on work productivity and continuity.

Sanitary facilities should be related to the size of the site and the distance from the workers’ homes.

Safety and health requirements should be applied. For example:

- for excavations, cuttings, trenches and ditches, it is necessary to ensure the stability of any banks which are higher than 1.20 m;

- for work carried out in water, it is necessary to ensure that the water is clean and harmless and avoid risks of drowning and cave-ins.

Every isolated site employing more than ten workers should have an emergency medical kit for first aid which may be carried out by a volunteer who has received prior training or by the works supervisor himself.

In the case of work sites employing more than 50 workers, there should be a nurse or health worker who can provide first aid and treat common diseases (malaria, headaches, dysentery).

In the case of sites employing more than 500 workers or work lasting more than 12 months, it is necessary to provide a small mobile dispensary with a bed and a permanent nurse for every 250 workers.

1.4.3. Incentive system

In all firms employing workers, incentives are desirable to encourage better results. Recompense is therefore given for good results obtained either individually or by the gang as a whole. Praise or rewards may be made and additional holidays given. However, such procedures may prove unsuccessful especially in the case of short-term work. It will therefore often be necessary to turn to:

- the finish-and-go system,
- piecework payment.

(a) The finish-and-go system

This system is particularly attractive to workers, such as small farmers, agricultural workers, etc., who see the special public works programme as a supplement to their main job - agriculture. The interest for them is to finish their work early and return home so that they can possibly spend the rest of the day on this main job. The system also suits agricultural workers who are not usually accustomed to regular working hours.

It is possible to determine a task which lasts for several days, although this is not usually desirable, nor always permitted by legislation. There is a danger that this practice may lead to five daily attendance cards being given for three days’ actual work and this is clearly open to abuse. Usually, preference is given to daily tasks; since the result is extra work for skilled workers, the tasks are essentially simple ones, such as for example, digging a certain length of trench of uniform cross-section.

(b) Piecework systems

Where local legislation permits, piecework systems offer numerous advantages, in particular where a standard wage rate is fixed for each task and the worker (or gang) receives a fixed amount for each unit of work carried out. The advantages and disadvantages of these systems are as follows:

Advantages

Disadvantages

the worker is able to earn more than the normal daily wage in return for higher output;

his output will be higher since his wage depends directly on the effort he puts into his work;

these systems promote individual discipline and require less supervision;

the worker himself attempts to improve the efficiency of his working method;

when, instead of an individual, it is a gang which is doing piecework, the gang will organise itself to ensure maximum effectiveness and the most active members will encourage the others to work harder;

in certain cases, where the situation allows, the workers will be able to stipulate their own working hours.

in attempting to achieve higher output, the worker may neglect quality and safety;

if the rates are too low, the incentive to work hard may be lost, or the worker may work too hard to the detriment of his health;

differences in earnings between harder workers and less hard workers may sometimes cause resentment;

these systems are more complex to apply than a daily wage or a finish-and-go system.

1.4.4. Role of project management

The project management is responsible for the correct implementation of planning. The main tasks are:

- work programming;
- work implementation;
- supervision and control.

Work programming requires an over-all long-term view of the project and should be the responsibility of the project manager. Carrying out the work requires daily supervision which will be the responsibility of the works supervisor.

Responsibilities of project manager

Responsibilities of works supervisor

- programming
- budgeting and budget control
- forecasting
- recruitment of assistants
- training - research
- public relations
- selection of main items of equipment
- wage negotiations
- project control

- implementation of work
- quality and productivity control
- recruitment and payment of workers
- purchasing of materials
- discipline
- transport and organisation of manpower
- supervision of equipment and plant
- maintenance of buildings and roads

E.2. TOPOGRAPHICAL STUDIES

Topographical studies may prove necessary in numerous cases, in particular for projects on hilly ground or which cover a large area.

It is difficult, within the framework of this document, to specify precise methodology and the type of topographical studies that should be foreseen since the characteristics of the soil conservation projects within a special public works programme may vary considerably. We will therefore not do more than indicate certain general principles for topographical studies and invite the reader to refer to the numerous specialised documents in this field.

2.1. Topographical survey

A survey comprises:

(a) the planimetric survey which picks out the various natural features of the terrain or a structure;

(b) the levelling survey in which the altitude of these natural features is measured.

2.1.1. Planimetric survey

The planimetric survey is carried out by the measurement of distances and angles. The instruments required are:

Distance measurements


- the surveyor’s chain (20 m in length);

- the measuring rod in wood or metal of 4-5 m in length fitted with a spirit level for checking horizontals and a plumb line for measuring horizontal distances on slopes greater than 2 or 3 per cent;

- a folding 2-m rule for measuring the details of the structure.

Angle measurements


- goniometers, the most commonly used being the theodolite; these comprise two plates one of which is graduated to permit the measurement of angles;

- surveyor’s squares for locating points and features at an angle of 45 to each other;

- optical square which replaces the surveyor’s square;

- plane table, a type of goniograph with which it is possible to measure the relative position of a number of points;

- compasses with which it is possible to measure differences between magnetic azimuths.

2.1.2. Levelling

Two procedures are usually used:

- direct levelling for horizontal sites;
- indirect levelling for inclined sites.

Direct levelling is carried out using a level and a levelling staff.

Since the level can be used only for horizontal sights, it is necessary on steeply sloping ground, to carry out a series of levelling sights. This procedure, called change-point levelling, is illustrated in fig. E.10.


Fig. E.10.

In indirect levelling, the difference in level between two points is calculated by measuring the angle formed between a straight line linking these two points and the horizontal, and the distance between the two points. This method requires the use of theodolites or clinometers. The latter are particularly well suited to rapid reconnaissance surveys and allow gradients to be measured with a precision of around 1/1,000 th.

The indirect leveling method is illustrated in fig. E.11 below.


Fig. E.11.

2.1.3. Composition of a topographic survey team and survey standards

The composition of a topographic survey team will vary depending on the slope and difficulties of the terrain. A basic team will usually comprise:

- topographic surveyor;
- one or two staff men;
- two chain men;
- two labourers, to carry the levelling stakes.

The density of levelling points generally accepted for different surveying scales is as follows:

Surveying scale

No. of levelling points per ha

1/10 000 th

1

1/5 000 th

2

1/2 000 th

6-10

1/1 000 th

15-30

1/500 th

20-100

E.3. MARKING AND STAKING OUT THE STRUCTURE

Marking out a structure consists in indicating the axes and the external dimensions on the ground. This is done by means of stakes which should be precisely located in relation to fixed reference points. The marking out operations should be carried out in the presence of the project manager and the works supervisor.

3.1. Preparation of the ground plan

The structure should be depicted by a ground plan and by elevations and sections. The ground plan is drawn up by indicating on a tracing paper the main axes and the measurement of angles and altitude.

3.2. Preparation on the ground

The transverse or longitudinal axis of the structure should be indicated by two fixed reference points which would be either boundary stones set in concrete or concrete boundary posts in which a nail is set in the upper part to act as a reference point. The number and altitude of the reference point should be marked on the boundary stone.

The fixed reference points should be located outside the external limits of the work and should be sufficiently visible not to be damaged during the course of the work. They should remain in place throughout the duration of the work and their co-ordinates and altitude are usually incorporated in the general levelling survey of the area.

3.2.1. Main staking out

This is used to define:

- for works of engineering construction: the axes;
- for earthworks: the axis of the route, the longitudinal profile, the curves, the location of the cross-sections.

Staking out is carried out using hard-wood, square or circular cross-section stakes, 50 cm in length. In loose soil, the stakes should be driven home with a sledgehammer; on rocky land, they should be cemented into holes made with a jumper bar.

The stake heads should be painted to ensure that they are clearly visible, and each stake should be numbered and referred in plan and altitude to the fixed reference points.

The stake head should be set at the exact measurement of the future ground level if this is not more than 30 cm higher or lower, or an exact number of decimals above or below.

3.2.2. Additional staking

This is carried out from the main stakes and indicates the boundaries of the works, such as the edges of trenches or banks. These stakes are not levelled and they should be painted in a different colour to that of the main stakes.

3.2.3. Staking report

This document should be drawn up in the presence of the works supervisor who should indicate the number of the profiles, and the position and altitude of the reference points.

Example:

Part of structure

No. of stakes

Position of stakes

Distance between stakes

Height of earthworks

Comments



Alignments and curves

Slopes and sections











3.2.4. Displaced stakes

Before the work is started, the main stakes which are located within the area covered by the works should be displaced at a constant distance outside the boundary of the structure. This displaced staking should also be levelled in relation to the axis stakes as shown in fig. E.12 below:


Fig. E.12.

3.3. Personnel requirements and work output

The personnel required for the marking and staking out will be provided by the basic topographical survey team as listed above. On normal ground, such a team should have an output of 4-6 km per day.

Material required for marking out work should comprise, as a minimum:

- a level for determining altitudes;
- a goniometer for the marking out proper;
- two levelling staffs;
- a surveyor’s chain (or steel tape);
- stakes;
- cement, sand, water for the installation of the main fixed reference points;
- paint for marking the stakes.

E.4. GROUND PREPARATION

4.1. Clearing the land over the area covered by the works

In soil conservation projects, land clearance will be limited to preparing the areas of work such as channels, embankments and earth dams with a supplementary margin for the movement of workers and plant.

Land clearing consists in eliminating any vegetation which would hinder the progress of the works or might lead to their deterioration.

For manual work, the tools used will vary considerably depending on the country. The main types are the machette, hatchet, axe, hoe, fork, pick, pruning saw, scythe, sickle and hand winch.

Output norms are related primarily to the density of the vegetation. Land types may be classified into various groups. For manual clearing work, five categories can be distinguished as shown in fig. E.13.

Fig. E.13.

Category

Characteristics

Manual output

Observations

Grass savannah

No vegetation higher than 1 m; a few sparse shrubs

Between 200 and 300 m2 per day/man

Output depends on climate and site organisation

Shrub savannah

Scattered bushes; thorny vegetation; land covered with perennial grasses; numerous shrubs

between 100 and 200 m2 per day/man

An alternative is to use a chain pulled between two tractors

Wooded savannah

Semi-arid tropical regions; dense vegetation; thorny brush; numerous shrubs; thickly wooded; some large trees

Between 50 and 100 m2 per day/man

Tree stumps and trunks and brush are left in place; they are burnt on site 3 weeks after having been felled

Forest

Hard and soft wood; large diameter trees forming a vault

Unusual work within the framework of soil conservation projects

Six men and a winch can fell about 10 trees per day; animal haulage might be envisaged

Equatorial forest

Hard and soft woods; very large trees; widespread vaulting



4.2. Stripping - subsoiling

The stripping operation entails the removal of topsoil over a depth of 20-30 cm in areas which are to be filled. Normal trenching methods are used.

Subsoiling is a deep scarification (up to 60 cm) intended to increase soil permeability or break up a hard pan. It is used in arid zones to prepare the soil prior to reafforestation work. It requires powerful mechanical plant (tractors of 35-70 hp for subsoiling to a depth of 60 cm).

Instead of subsoiling the soil may also be loosened with a pick axe under the area to be covered with ridges in which trees are to be planted.

The following productivity data for light stripping and subsoiling were collected in the Philippines. The soil is loosened by a plough before being shovelled clear and the stumps removed by hand.

Soil

Non-cohesive soil; fields of sugar cane which have been cut and burnt, and in which there remains two or three stumps or roots per square metre

Method

Four successive ploughings; followed by removal of the remaining roots by three passes with a bamboo scraper and three times handpicking

Gang composition: 2 ploughs, 1 scraper, 2 labourers handpicking

Productivity

Over-all: 165 m2 per hour per gang


Per operation:


first ploughing:

250 m2 per hour per plough


subsequent ploughing:

490 m2 per hour per plough


bamboo scraper:

490 m2 per hour per scraper


handpicking:

250 m2 per labourer

E.5. EXECUTION OF EARTHWORKS

5.1. General comments on soil type and handling

5.1.1. Land classification

The type of land will determine:

- the working method to be used;
- the choice of equipment to be used;
- output and, consequently, the cost of earthworks.

Soil type has a considerable effect on trenches and the shape to be given to cuts and fills. A distinction may be made between:

- loose soil which may be excavated without previous loosening;
- rocky soils which may be loosened.

Loose soils may be classified as follows:

Light soils

Dry topsoil, dry sand, fine gravel

Ordinary soil

Moist topsoil, firm soil mixed with sand, wet sand, compact clayey sand, compact clayey fine gravel, large gravel, peat

Heavy soil

Firm soil mixed with stones, clay soil, compact clay, large gravel, clay, marl, broken rubble

Very heavy soil

Wet clay, compact marl, consistent rubble, soft quarry stone; brittle slate, faulted limestone, decomposed rock

Rocky ground may be classified as follows:

Soft rock

Soft limestone, chalk, sandstone, compact slate, conglomerates

Hard rock

Granite and gneiss, hard limestone

Very hard rock

Granite and compact gneiss, quartzite, syenite, basalt

5.1.2. Bank gradients

The slope of a bank should always be less than the angle of repose that would be formed in a bank abandoned to the action of weathering. It is defined by the ratio H/B = tgi where H is the height of the bank, B its base and i the angle of the bank to the horizontal.


Fig. E.14.

Knowledge of the angle of repose is essential in ensuring the stability of earthworks and in estimating the area they will occupy and the volume of earth to be moved.

The angle of repose in a slope will depend basically on the type of soil and its consistency. The angle is higher for dry soils than for wet or submerged soils, and higher on natural banks than on filled banks.

Generally accepted values for angles of repose are given in tabular form in fig. E.15.

Fig. E.15: Angle of repose for banks

Type of soil

Banks cut in natural ground

Banks cut in dumped soil
Filled banks


Dry land

Waterlogged land

Dry land

Waterlogged land

Hard rock

5/1

5/1

1/1

1/1

Soft or fractured rock

3/2

3/2

1/1

1/1

Rock debris, scree, pebbles

1/1

4/5

1/1

4/5

Subsoil mixed with stones and topsoil

1/1

1/2

2/3

1/2

Clayey soil, clay, marl

4/5

1/3

2/3

1/3

Gravel, non-clayey coarse sand

2/3

1/2

2/3

1/3

Non-clayey fine sand

1/2

1/3

1/2

1/3

5.1.3. Bulking - consolidation

Soil, when extracted, increases in volume. This is called bulking. There are three types:

- the coefficient of initial bulking F which is measured when the soil has just been extracted:

- the coefficient of persistent bulking F’ which is measured after consolidation:

- the coefficient of consolidation which is the decrease in the apparent volume of soil which has consolidated completely in relation to the initial volume of newly extracted soil:


Fig. E.16.

Fig. E.17: Values of coefficients of bulking and consolidation

Type of soil

Coefficient of bulking

Coefficient of soil consolidation


Initial
F

Persistant
F


T

Topsoil, sand

10-15%

1-1.5%

8-12%

Gravel

15-20%

1.5-2%

12-15%

Heavy soil mixed with sand

20-25%

2-4%

15-17%

Clayey soil

25-30%

4-6%

17-19%

Clay

30-35%

6-7%

19-21%

Marl

35-40%

7-8%

21-23%

Very compact clay and marl

40-65%

8-15%

23-30%

Scree

30-40%

8-15%

17-18%

Hard core (ine)

40-65%

25-40%

10-15%

Knowledge of coefficients of bulking and consolidation is important in carrying out earthworks.

To produce a fill with a final volume V’, it is necessary to place a provisional bulked volume (before consolidation) of and excavate an in situ volume of .

5.2. Tools

The tools used for manual earth moving are either hand tools or portable mechanical tools.

5.2.1. Trenching tools

The main manual tools are:

- The pickaxe. This is made of steel and has a point at one end and a blade at the other; the wooden shaft is about 1 m in length. The point blunts rapidly when used in hard soil; it can be repaired by welding on a new spike. A smith and his mate can repair 30-40 pickaxes per day. It is necessary to expect that about 20 per cent of the stock of pickaxes will be in for repair.

- The pick. This is a pickaxe with a point at each end for use in soft rock.

- The wedge. This is made of steel and struck with a 2 kg sledgehammer to break fissured rock.

- The crowbar. A steel lever 1.20 m in length used to break fissured rock. Portable mechanical tools include:

- Pneumatic spades which are used in heavy soil of compact clay or marl. They have an output of 5-10 times higher than the hand pickaxe.

- Pneumatic picks which are used to break soft or fissured rock. They have an output 5-10 times higher than the pick, wedge and crowbar which they replace.

They can be handled by one man alone and receive their compressed air supply from a small mobile motor compressor.

5.2.2. Tools for loading earth

For loading excavated earth, use is made of:

- the shovel which can be used for excavating very loose earth. It is made of a steel blade weighing 1.0-1.5 kg fixed to a wooden shaft 1.20 m in length. A shovel load usually weighs 2.5-3 kg; lumps weighing more than 5 kg are loaded by hand;

- the fork which has teeth 3-4 cm apart and is used to grade stoney materials by size.

5.2.3. Tools for soil haulage

Depending on the country, local resources and haulage distances, the following means are employed:

- wicker baskets;
- hoppers carried on the back;
- 2-man bamboo stretchers;
- 40-60-litre wheelbarrows.

For larger capacities and haulage distances (greater than 100 m), animal-drawn equipment is used, such as:


- pack saddle with a capacity of:

100-150 kg for an ox,



70-120 kg for a mule,



60-100 kg for a donkey,



120-150 kg for a camel;

- single-axle cart with a capacity of: 400 kg for an ox, donkey or horse, and 1,000-1,200 kg for a pair of oxen;

- sledge with a capacity of 400 kg for 2 m2 and 2,000 kg for 7 m2;

- shaft, piece of wood to each side of which the animals are harnessed.

Where animal haulage is not available, it may be necessary to use light mechanical haulage equipment: motor barrows, dumpers, etc.

Example of productivity


HAULAGE AND UNLOADING OF HOMOGENEOUS LOOSE MATERIALS (by ox cart)

The upper curve shows the outputs attainable with good organisation and supervision, with payment by piecework. The lower curve shows the outputs attained under poor supervision, with daily rated payment.

Mean cart capacity: 0.315 m3.

5.2.4. Tools for soil compacting

The simplest soil compacting tools are hand tampers manipulated by a single worker and pneumatic tampers also operated by a single worker and supplied with compressed air by a small motor compressor.

5.3. Manpower

Earth moving is ideal for the employment of large numbers of unskilled workers and meets perfectly the objectives of labour-intensive work in which manpower utilisation is a solution to the economic problems of a developing country.

However, there are conditions and limits for the use of manpower in this way, and the factors affecting working conditions and output include:

- climate;

- workers’ health;

- nutritional status;

- local customs which govern periods of work, job distribution, inacceptability of certain types of work (work with feet in water, etc.);

- skill in the use of certain tools;

- the conditions under which the project is being carried out;

- the way in which workers are paid.

The example below clearly illustrates the differences in output that can be expected depending on the level of organisation and supervision.

LOADING, HAULAGE AND UNLOADING HOMOGENEOUS LOOSE SOIL
(using buffalo-drawn bamboo scraper)

The soil is previously loosened by ploughing. The scraper can also be used for grading or spreading loose soil. Average output:

soil tipped in large piles (e.g. by a dump truck):

5 m3/hour

soil tipped in small piles (e.g. by a buffalo cart):

25 m3/hour

scraper maximum haulage capacity:

0.05 m3


Figure

The upper curve shows the outputs that are obtainable with good organisation and supervision, with payment by piecework. The lower curve shows outputs attainable with poor supervision and daily rated payment.

The special factors affecting productivity include:

- age and condition of buffalo;
- proximity of water for buffalo;
- soil type;
- slope of haulage route.

5.4. Labour organisation

A manual earth-moving site comprises: a site supervisor, four men or gang leaders, labourers, water carriers where necessary, a topography team, a tallyman and a watchman for the equipment.

There is usually one gang leader for every 20-25 men depending on the difficulty of the work.

The basic gang comprises:

- either one man with a pickaxe and shovel;
- or two men: one with a pickaxe and the other with a shovel;
- or three men, with two pickaxes and a shovel for very hard ground, or one pickaxe and two shovels in softer ground.

The way in which manpower is used may vary depending on the means employed. Either the earth moving can be done entirely by manpower or by manpower in combination with local resources such as animals or mechanical plant. The type of soil and haulage distances will often decide the solution to be employed. Where the haulage distances are large, it may be better to excavate and load by hand and haul mechanically. Certain work cannot be done by hand, such as subsoiling and ripping; manpower is a back-up here.

Finally, certain earth-moving jobs are suitable for piecework payment; this applies to ditching and banking in particular.

5.5. Earth-moving methods and outputs

5.5.1. Trench digging and spoil removal

In very loose ground, trenches may be dug directly with a shovel; in harder ground, the soil is first loosened and then removed with a shovel; in hard ground, pickaxes, wedges or crowbars may be required.

The work may advance along the axis of the trench using two or three workers: the first loosens the soil with a pickaxe while the second (and third) follow and shovel out the spoil or deepen the trench. This is the procedure usually used for narrow trenches.

For wider trenches, the workers may be arranged in a line and work perpendicular to the trench axis.


Fig. E.18.

Trench digging methods are shown in the diagrams below:


Fig. E.19: Terrace construction

Fig. E.20: Construction of a protection ditch

Deep trenches should be dug as follows:


Construction of a protection ditch with spoil thrown downhill

Output in earthworks varies considerably depending on soil characteristics and trench size.

Soil cohesion, density and adherence are the main factors influencing output; other factors such as soil water content may also play a role.

Cohesion is the measure of soil hardness and directly affects the output of the pickaxe man.

Density affects the shoveller’s output.

Soil adherence to the tools affects the output of both pickaxe and shovel men.

Worker deployment also has a great effect on output. Workers should be sufficiently spread out (about 2 m apart) so that they do not get in each other’s way.

Under optimal conditions, maximal output of workers using hand tools is as follows:

Fig. E.21: Output in manual earthworks

Type of soil

Daily output (m3/md)

Light soil

5.0-7.0

Ordinary soil

3.5-5.0

Heavy soil

2.5-3.5

Very heavy soil

1.0-2.5

In the case of narrow ditches, workers are hindered and output lowered by about 20 per cent if the trench is less than 1.20 m wide or over 2 m deep.

Some common outputs and the breakdown between digging and spoil removal are shown in fig. E.22.

Fig. E.22: Common values for output in trench digging

Soil type

Cubic metres excavated and thrown 1 m in an 8-hour day

Breakdown of 8-hour day



Excavation
(hours)

Spoil removal pitching or loading (hours)

Topsoil (loam, sand, etc.)

3.0

5.0

3.0

Marly or clay soil, moderately compact

2.0

5.3

2.7

Hard, compact soil

1.5

5.7

2.3

Chalky soil

1.5

5.6

2.4

Waterlogged soil

1.0

5.8

2.2

Moderately hard laterite

1.0

6.7

1.3

Very hard laterite

0.8

7.0

1.0

Soft rock worked with pick or wedge

0.6

7.0

1.0

5.5.2. Loading and reworking spoil

A worker can throw a shovelful of earth 3-4 m horizontally or 1.5-1.6 m vertically.

A throw of a distance d and a height h is given by the equation:

d + 2h = 4 metres.

When earth has to be thrown further than that of which a shoveller is capable, a relay may be established. When the earth is to be thrown horizontally, shovellers are placed in a line at intervals of 3-4 m. When the earth is to be thrown upwards, the shovellers are placed on successive steps at distances given by the equation d + 2h = 4 m.

The output of a shoveller will vary depending on the density of the soil, the method used and the skill of the worker. It also varies depending on the loading height; it falls rapidly when this exceeds shoulder height.

Under optimal working conditions, the following maximum outputs can be expected:

Fig. E.23: Maximum shovelling output in loading or picking up soil

Type of operation

Hourly output in m3 of bulked soil


Light soil

Ordinary soil

Heavy soil

Very heavy soil

Simple shovel throw

1.5-1.0

1.0-0.8

0.8-0.6

0.6-0.4

Loading a wheelbarrow

2.5-2.0

2.0-1.5

1.5-1.0

1.0-0.8

Loading a truck

2.0-1.5

1.5-1.0

1.0-0.8

0.6-0.4

Loading a cart

1.5-1.0

1.0-0.8

0.8-0.6

0.6-0.4

Loading a lorry

1.0-0.8

0.8-0.6

0.6-0.4

0.4-0.3

5.5.3. Spoil haulage

The main means of haulage are shown in section 4.2.

The simplest means are usually used for haulage distances of less than 100 m. The wheelbarrow is the most common and has a capacity of 40-60 litres. A wheelbarrow pusher can complete a return journey of 30 m in each direction whilst a shoveller is filling a 50-litre barrow.

Animals or mechanical equipment are used for haulage of more than 100 m. Animal haulage requires flat ground or the haulage should be downhill with the empty return being uphill.

The theoretical output for transport equipment is given by the formula:

Rt = ½ Cu × V

in which:

Cu is the payload capacity


V is the haulage speed in km/h.

Fig. E.24 gives examples of theoretical outputs.

Fig. E.24: Theoretical output of various types of haulage equipment

Equipment

Cu (t)

V (km/h)

R1 = ½ Cu × V

Remarks


(a) Small haulage equipment


Wheelbarrow, 50 l

0.075

3

0.12


Cart - 1 horse, 750 l

1.125

3

1.7


Cart - 2 horses, 1 500 l

2.250

3

3.4


Motor barrow, 300 l

0.450

5

1.12

3 wheels, 3 hp

Small dumper, 350 l

0.525

5

1.3

4 wheels, 4 hp

Small dumper, 600 l

0.900

6

2.7

4 wheels, 8 hp

Wheelbarrow haulage: Output and gang composition for natural gradients of 0-5 per cent (good haulage track).

Fig. E.25.

Haulage distance (m)

Volume of material
(m3)

No. of workers


In situ

Bulked

Loading

Haulage

Spreading

Compaction

0-20

13.5

17.0

2.0

1.0

1.0

1.0

20-40

10.5

13.5

1.5

1.0

1.0

1.0

40-60

8.5

10.5

1.0

1.0

1.0

1.0

60-80

6.5

8.0

1.0

1.0

0.5

0.5

80-100

5.5

7.0

0.5

1.0

0.5

0.5

A buffalo-drawn steel scraper gives good results for loading, haulage and unloading of homogeneous loose soil for haulage distances of up to 100 m.

The diagram below shows mean outputs for the scraper which has a mean capacity of 0.075 m3 on flat ground.


Figure

5.5.4. Unloading, spreading and compacting

After unloading, manual spreading can be carried out at a rate of 2-4 m3/h/man. The work varies however depending on whether the spoil is normal or compacted. Normal spoil is usually encountered in the type of soil conservation work described here, with the exception of fill for dams.

Ordinary spoil should be cleaned of mud, running soil, peat, sods, stumps and vegetable debris. It should be tipped over the total height of the dump, without being compacted.

Compacted soil should be prepared in the same way, then evened out in horizontal layers 15-25 cm thick over the total height of the platform. Since compacting is often inadequate on the edges of banks, the structure may be 20-40 m oversized on each side. Each layer should be dampened and then carefully compacted with hand tampers or drawn rollers to the specifications laid down. Before each new layer is spread, the base should be scarified, then dampened. The gradient of the bank slope should be checked using a jig fitted with a spirit level.

Output for manual compacting is 1.2-1.5 m3/h using hand tampers and 10-15 times higher using a drawn roller.

5.5.5. Bank grading

The definitive gradient is given to the bank by cuts made with a pickaxe about every 10 m.

The slope is trimmed working from top to bottom.

Workers are placed along a horizontal line at intervals of about 1.5 m. The gradient is checked by stretching a line between two cuts.

5.6. Examples of earthworks

5.6.1. Construction of a canal or ditch

The various operations involved are as follows:

(a) mark and stake out the canal;

(b) on the existing soil, stake the width of the ditch;

(c) run a line between the stakes and, using a pickaxe, mark the boundaries of the trench;

(d) excavate a trench with vertical sides to the finished depth of the ditch;

(e) dig a trench 30 cm wide with the planned shape of the ditch, every 5 m;

(f) stretch a line between these and mark out the edges of the ditch with a pickaxe;

(g) roughly dig out the banks;

(h) give final shape to the banks;

(i) check levels with a spirit level;

(j) check the cross-section with a jig.


Fig. E.26: Ditch digging technique

5.6.2. Construction of earth dams

The various operations involved are as follows:

- set up site, mark out dam, additional reconnaissance;
- construction of a coffer dam for temporarily diverting the water course;
- strip vegetation and trees from basin;
- prepare borrow zone;
- remove topsoil from foundation area;
- fill foundations to natural ground level;
- install take-off and emptying pipe;
- bring in filtration materials;
- install foot drains;
- fill;
- civil engineering work for take-off and feedback;
- civil engineering work for flood escape;
- cover banks;
- install hydraulic equipment;
- finishing work.

E.6. IMPLEMENTATION OF REAFFORESTATION WORK

Reafforestation techniques have been described in Chapter B. Given below are the principle working methods and outputs.

6.1. Nursery work

This comprises:

- nursery construction;
- seedbed construction;
- sowing in seedbeds, plant beds or pots;
- pricking out into plant beds or pots;
- watering;
- plant transport.

The tools used are: hoes, pickaxes, spades, shovels, rakes, spirit levels, lines, stakes, watering cans, secateurs, polyethylene sachets, etc.

Nursery work requires large amounts of manpower. Work times depend mainly on the type of plants being grown and the type of care being given. A basis can be taken 0.3-0.6 hours per plant which, for various plant spacings, gives the following work times:

Plant spacing (m)

No. of plants/ha

Work times



Minimum days/ha

Maximum days/ha

3.0 × 3.0

1 100

47

94

2.5 x 2.5

1 600

68

136

2.0 x 2.5

2 000

86

172

2.0 x 2.0

2 500

107

214

1.5 x 2.0

3 300

141

282

1.5 x 1.5

4 400

188

376

6.2. Planting

Preparatory work includes marking out, staking out, clearing and soil preparation.

The tools used for planting are the same as those used in trenching, i.e. shovels, pickaxes, hoes, lines.

The basic gang comprises two workers: the first digs the planting hole, the second transports the young plants in pots, sacks or baskets, places them in the holes and completes the planting operation. In certain cases, a single worker may do the whole operation himself.

The workers advance in a more or less straight or diagonal line; the gang leader being slightly ahead of the rest. Other workers ensure a constant supply of materials.

Planting holes should be sufficiently wide and deep to take the whole root system without crushing the roots against each other. Roots should not be bent in towards the centre of the hole, and should be fully covered with earth. To ensure the plant is covered to the right depth, hold it at the earth mark whilst the hole is filled with soil. Soil should be placed around the plant with care and trodden down when the hole is half full and then trodden down once again when the hole is completely full.

A foreman should follow up the line of planters to check a proportion of the plants to ensure that they are vertical and do not come out of the ground when pulled from the tip.

Under the best working conditions, when using hand tools, gangs can plant 100-500 trees in an 8-hour working day. This level of output will vary depending on the difficulties of the site (topography, density of vegetation cover, type of soil, soil preparation, etc.).

6.3. Construction of forest tracks

This comprises basically earth-moving work.

According to the FED productivity norms in Rwanda, forest track construction requires 7.6 hours of work per cubic metre of earth moved.

6.4. Plantation maintenance

Plantation maintenance requirements are considerable during the first two years (replacement of plants that do not take, weeding) and then decrease regularly thereafter.

Maximum output for weeding is 200-300 m2 per man-day.

Clearing around young plants requires a man-day for 200 plants.

In Mohanda (Burundi), maintenance requirements for a plantation of 3,000 callitris plants/ha have been estimated at 0.3 h/plant, i.e. 128 7-hour working days per hectare per year.

6.5. Examples of a plantation: planting along contour lines


Fig. E.27: Planting along contour lines

With an interval d between plants, a line of stakes is inserted perpendicular to the slope and spaced at d from each other.

A first row of trees is planted along the contour line using a spirit level d in length.

Subsequent rows are planted in a similar manner; however, when the distance between the trees is less than 0.8 d, a new row is started.

When the distance between rows is 1.6 d or more, an additional row should be inserted until the space between the rows falls to 0.8 d.


Planting in an arid zone. Arrangement designed to concentrate surface run-off

6.6. Productivity norms

Manpower requirements in man-days/ha with a density of 2,500 plants/ha, covering nursery work, planting and maintenance: ranging from 272 to 478 man-days in Burundi.

Some typical outputs (Rwanda):


- filling sachets: 0.03 man-days per plant;

- pricking out sachets: 0.01-0.02 man-days per plant;

- planting: 100 plants per 7-hour day;

- hole digging and planting: 300 plants per man-day;


- holing:

number of holes per man-day



in rocky soil: 24-30



in stony soil: 30-45



in deep soil: 40-50



- plant care: 200 per man-day, i.e. 300-400 m2;

- creating a windbreak by direct sowing: 24 man-days for 100 m comprising staking out, tilling, sowing, mulching, separation, three thinning outs, separation or natural regeneration followed by thinning out;

- creating a windbreak by planting: 22 man-days for 100 m for plants in three rows and a spacing of 2 m.

E.7. IMPLEMENTATION OF DRAINAGE WORKS

7.1. Installation of a drainage network

The collectors are marked out in the same way as the ditches.

The drains which are grouped in parallel lines can be marked out as follows:

- mark out the first drain in relation to fixed reference points;

- mark out a line perpendicular to the first drain, and this is staked out at distances equal to the drain spacing;

- mark out a second perpendicular line which is staked out in the same way as the first;

- trace a line between the points staked out on the perpendiculars, marking on this line the specified drain length;

- stake out the whole drain network with stakes every 30 m or so.


Fig. E.28: Installation of a drain network

7.2. Tracing out total trench width

Drainage trenches intended for laying of underdrains vary in width between 0.30 and 0.70 m at ground level and 0.06 and 0.20 m at the base.

The trench is marked out on the ground by a line of pickets.

A line between the pickets marks the trench axis; along this a groove is marked with a pickaxe.

The line is subsequently moved sideways to the external limit of the trench and a second groove is marked along this line.

The line itself is a 30-m length of string attached at each end to a wooden stake.

7.3. Calculating trench depth

The mean depth and the minimal drain gradient are known.

The level is obtained using a dumpy level.

A 20-cm wooden stake is hammered into soil level approximately every 50 m if there is no rapid change in gradient.

A surveyor’s staff is placed alongside each stake.

The elevation of each stake is noted from a single surveying point.

The depth of the trench is then calculated whilst maintaining a relatively uniform slope, and the relevant depth is written on each marker.

7.4. Trench digging

The tools used may vary slightly depending on the country. In general, the following are used for manual trenching:

- an ordinary garden spade for removing the sod and the topsoil layer;

- a fork and pickaxe for excavating the top layer of stony soil;

- a draining spade which has a blade 40-50 cm in length and 10-15 cm in width, arranged in direct prolongation of the shaft. The long edges of the blade are curved slightly inwards;

- a scraper which is used to finish the trench bottom and produce the correct slope. It is made from a piece of curved metal 30-35 cm in length, shaped and sharpened at the end. The shaft is 2-3 m in length and is at 40-50° to the blade. Blade diameter should be matched to the diameter of the drainage pipe.

It is necessary to start digging the drain at the lowest point, working uphill so that any excess water will drain away as the work advances.

Fig. E.29: Digging a drainage trench


Longitudinal cross-section


Plan view


Transverse cross-section

The first digger cuts up the sod and removes the topsoil. This topsoil is placed on the right of the trench about 30 cm from the trench edge leaving a pathway for the pipe layer. This topsoil is the first to be used when the trench is backfilled.

The trench is then dug with a draining spade to a depth of approximately 50 cm. The spoil is thrown onto the left bank of the trench.

The second digger works approximately 3 m behind the first digger. He deepens the trench but to a smaller width and throws his spoil onto the left bank of the trench. He digs the trench an additional 50 cm approximately. If necessary, the trench is further deepened by a third digger who works in the same way as the second.

The trench obtained in this way will be slightly shallower than that specified for the drain.

7.5. Trimming the trench bottom

For this operation one uses the scraper and wooden or steel staffs on which are mounted adjustable rectangular crosspieces (“boning rods”).

The object here is to dig the trench to the depth marked on the markers and to connect these points by a uniform gradient.

Using the scraper, the trench bottom is smoothed and compacted to receive the drainage pipe.

The trimming process is shown diagrammatically below:


Fig. E.30: Trimming a trench bottom

At point A marked by a stake, where the depth Pa of the trench is known, one places a fixed boning rod adjusted to height ha above the ground. The height of the boning rod above the bottom of the trench is equal to Pa + ha = H.

At point B where the depth Pb of the trench is also known, one places a marker at a height hb above the ground so that hb + Pb = H.

At point C, one places a marker of a length such that it will form a sight line between A, C and B.

To trim the trench depth, the worker uses the scraper on which a mark has been drawn at height H.

The correct trench depth is reached when a sight line is established between the mark on the scraper shaft and the crosspieces A and C.

On flat ground, checking the gradient is more difficult and it is preferable to have the work done by a topography survey team comprising an operator and two assistants.

7.6. Drain laying and backfilling the trench

The tools used for laying earthenware or concrete pipes are:

- a long-handled tile hook to pick up the pipe and lay it in the trench bottom;
- a steel pick hammer for cutting or holing the pipes when being laid.

The drainpipes are brought to the site on a trailer or on stretchers. They are placed in piles of 30-35 pipes every 10 m or so and at a distance of 3-4 m from the trench.

The pipes are laid starting at the highest point. The pipe layer picks them up with the tile hook and places them on the trench bottom, striking them sharply several times on the edge with the iron hook to seat them together properly.

When it is necessary to turn the pipes round a curve, this is done by cutting the pipes at an angle with the pick hammer.

When placing together drainpipes of different diameters, the joints are covered with earthenware crocks.

Long drains (6 m) are put together outside the ditch and then laid in whole sections on the trench bottom.

Long concertina-type PVC drains are not designed for manual laying and are laid directly on the trench bottom by drainage machines. In certain countries, these machines have almost entirely replaced manual labour. They do not come within the framework of this report on labour-intensive public works. It should merely be noted that there are two types:

- machines which dig the trench;
- machines which dig the trench and also lay the drainage pipes.

The trench is backfilled first by covering the drainpipe with topsoil which was laid separately alongside the trench. Subsequently, backfilling is carried out by shovel using the remainder of the spoil and then lightly compacting.

Fig. E.31: Main drainage tools


Drainage spade


Scraper


Tile hook


Pick hammer


Small drainage spade

7.7. Manpower and output in manual drainage work

A drainage site usually comprises:

- a skilled site supervisor and 4-8 workers whose jobs are divided up as follows:

- earthworks: 2-4 workers depending on the trench depth;
- pipe transport: 1 worker;
- pipe unloading: 1 worker;
- pipe laying: 1 worker;
- backfilling the trench: 1 or 2 workers.

Under very good conditions (loose earth), a good drainage worker can advance 6-8 m of ordinary 0.8 m depth trench per hour.

Under these conditions, a gang comprising a site supervisor and four diggers can lay 250 m of drain per day. Output of only half this may nevertheless be considered normal.

E.8. CONSTRUCTION OF MASONRY WORK

8.1. Different types of masonry work

The term masonry work covers all types of structures made from stone-Masonry work is used in soil conservation projects for the construction of gully or ravine erosion protection work when the necessary materials are found in adequate quantity close to the site.

One may distinguish between three types of masonry work:

- dry-stone masonry work in which stones are fitted together without binder;

- normal masonry work in which the gaps between the stones are filled with cement or lime mortar;

- gabion masonry work in which the stones are held together in a metal mesh cage.

8.2. Dry-stone masonry work

When they are subject to the action of water, dry-stone facings should be made of blocks of a sufficient weight to resist the action of the current.

Stone size may be calculated on the basis of current speed using, for example, IZBASH’s formula:

in which:

Vmax is the maximum current speed at high water

D is the rock diameter

g is the acceleration of gravity (9-81 m/s2)

density of the material under water. P

In principle, the thickness of the dry-stone facing should be at least 30 cm When stones are placed on erodable material, it is necessary to place between the stones and the bank a filter made up of a gravel bed of 10-20 cm in thickness.

Mean output for stone breaking by hammer may be estimated as follows:

Mean dimension after
breaking

Approx. mean output per
man-day of 8 hours

135 mm

1,40 m3

50 mm

0,80 m3

45 mm

0,75 m3

40 mm

0,70 m3

30 mm

0,55 m3

11 mm

0,10 m3

The method of constructing dry-stone facings is as follows:

- shape and compact the bank;

- place the stones by laying them perpendicular to the bank surface so that their greatest length is in the thickness of the facing;

- insertion of larger stones, called headers, which are anchored at a depth of approximately 20 cm into the bank, at a distance of one every m2.

Stones should be fitted together with the minimum of voids; if necessary, these voids can be filled with stone fragments.


Fig. E.32: Construction of a dry-stone facing

The table below shows the number of man-hours required per m2 of dry-stone facing constructed manually at thicknesses of 15 and 20 cm.

Material

Man-hours per m2


15 cm thick

20 cm thick

Brick

0.55

0.60

Sandstone/limestone

0.60

0.65

Granite

0.65

0.75

These figures presuppose that the stones, in the required sizes, have been supplied from a quarry in the immediate vicinity of the site.

8.3. Normal masonry work

The stone used for this type of work may be natural stone of 20-40 cm in the largest plane or cut stone of various dimensions. Stone cutting is specialised work and cut stones are used only rarely.

The stones are bound together with cement mortar when the structure is exposed to running water.

The outputs given below presuppose that the materials are brought to the immediate vicinity of the site.

Wall thickness
in cm

Mean thickness of stones


15 cm

30 cm

30

5 mh/m2

4.0 mh/m2

60

7 mh/m2

5.5 mh/m2

90

10 mh/m2

8.0 mh/m2

It can be taken that the time required per square metre is divided equally between the mason and the labourer.

For a mortar-bonded wall, it is also necessary to take into account:

- manual mixing of cement or lime mortar: 8.5 man-hours per m3;
- mortar jointing as the work advances: 1.0 man-hours per m2.

Approximate quantity of mortar required:

Thickness of wall in cm

Mean thickness of stones


15 cm

30 cm

30

0.07 m3

0.05 m3

60

13.00 m3

10.00 m3

90

20.00 m3

15.00 m3

The cement content of a mortar is as follows: 350-400 kg of cement per cubic metre of dry sand. If the sand is very fine and made up of grains of less than 0.5 mm, the quantity of cement should increase by 20-25 per cent.

The amount of mixing water (in litres) should be 25 per cent of the weight of the cement plus 6 per cent of the weight of the sand, i.e. 220 litres of water for mortar containing 350 kg of cement/m3 sand and 238 litres of water for a mortar containing 450 kg cement/m3 sand.

Mortar is checked by modelling it by hand. The ball of mortar should be firm and plastic, not stick to the skin and, when dropped from a height of 20 cm, should not fracture.

Constructing a mortar-bonded wall comprises the following operations:

- construction of concrete footings at the base of the structure (ordinary concrete for small structures, steel reinforced concrete for larger structures);

- laying stones on a thick layer of mortar (bed of mortar);

- settling the bricks against each other by striking them with a hammer and filling the voids with stone fragments without moving the larger stones;

- laying headers 40 cm long at intervals of approximately 1 m2 to ensure a good bond with the bank;

- cleaning the joints by removing mortar runs;

- pointing; in which the joints are cleaned to a depth of 3 cm before the mortar sets, and then finishing them with a fine sand mortar with a cement content of 600 kg cement/m3 sand.

8.4. Gabion masonry work

Characteristics

Gabions are boxes made out of metal mesh filled with carefully aligned stones

A distinction is made between: cage gabions (1 m high) used for the main body work of structures; and footing gabions (0.50 m high) used for the body work of foundations which may be subject to deformation.

Fig. E.33: Common sizes of gabions

Type

Length
(m)

Width
(m)

Height
(m)

Weight (mesh 120-100) in kg

Footing gabions

2

1

0.50

9.8


3

1

0.50

14.0


4

1

0.50

18.2


5

1

0.50

22.4


6

1

0.50

26.6

Cage gabions

2

1

1

14.0


3

1

1

19.6


4

1

1

25.2


5

1

1

30.8


6

1

1

36.4


Weir made from gabions and dry-stone work (Cape Verde)

The gabion walls are made of galvanised steel wire, with a double twist hexagonal mesh. The most common mesh sizes are 100 × 120 mm. When using mesh of this size, the size of the smallest filling stones should be at least 180 mm, and the weight of the stones around 5-10 kg.

To ensure that the gabions do not lose their shape when stacked, adjacent sides are held together by steel wire.

Method of manufacturing a stone-filled gabion (cf. fig. E.34)

(a) the wire mesh is cut to shape and laid out flat;

(b) the walls are folded in to form a box and the edges are tied together;

(c) the gabion is located in its final position;

(d) the edges are bound to the adjacent gabion;

(e) the bottom is anchored to the ground using steel stakes rammed into the soil;

(f) the stone filling is commenced;

(g) fit in the Internal trusses;

(h) continuation of filling whilst adjusting the internal trusses as and when necessary:

(i) closing the cover and tying the upper edges together with those of the adjacent gabion.

The tools required include:

- wire cutters;
- pliers;
- jumper bar or steel stake;
- wooden blocks to wedge the stones;
- a sledgehammer to drive home the jumper bar.


Fig. E.34: Assembly and installation of wire mesh gabions

Gabions can be installed using unskilled labour and they meet perfectly the objectives of labour-intensive projects.

Weir in stone masonry


Front view


Detail

E.9. CARRYING OUT CONCRETE WORK

9.1. Characteristics of concretes

Concrete is obtained by mixing sand and gravel (called aggregates) with cement and water which act as the binder.

There are numerous categories of concrete:

- lean concrete with a cement content of 250 kg cement per cubic metre of aggregate;

- rich concrete with a cement content of 450-600 kg of cement per cubic metre of aggregate;

- normal concrete with a cement content of 350 kg cement per cubic metre of aggregate.

To obtain good quality concrete, it is necessary to use suitable aggregates and to avoid the use of friable materials, reduce voids to the minimum and ensure good adhesion between aggregates.

The choice of materials plays an important role in concrete quality.

The aggregates should be correctly graded with components of various dimensions to minimise the size of voids. It is advisable to use well-known quarries where the aggregates are always produced using the same materials and under the same conditions.

The sand should be sharp.

The water should be clear, odourless and contain less than 2 g/l of dissolved salts. Water containing organic matter or sulphates which attack ordinary cement should be avoided.

9.2. Concrete preparation

A simple mix (by volume) for a batch of concrete is as follows:

- a 50 kg sack of cement;
- two 70-l barrow loads of gravel;
- a 70-l barrow load of sand;
- 20-30 l of water depending on the ambient temperature.

Another way of proportioning concrete constituents is to use bottomless crates with a known capacity. A crate 60 cm on each side and 28 cm deep will have a capacity of 0.1 m3.

Concrete should normally be mixed in a concrete mixer. The aggregate is shovelled in first, followed by the cement; the mixture is first turned dry and then water is added. Mixing lasts two minutes and should produce a homogeneous concrete.

Lower category concretes can be mixed by hand in small quantities.

On small sites, the concrete is usually transported to the placement site by wheelbarrow. The time between mixing and placing should not exceed 20 minutes in moderately warm weather.

The concrete should not be dropped from a height during placing since this may cause segregation of aggregates. When it is placed in wooden shuttering, the latter should be clean, watertight and wetted prior to placing. When a large height of concrete is to be placed, it should be poured in successive layers.

The concrete should then be compacted by tamping, rodding or vibration to improve its consolidation. Compacting can be done by hand tampers and this is suitable for shallow layers (20 cm).

Rodding is carried out by thrusting a steel rod into the placed concrete.

Vibration is the most effective procedure; it is carried out using a compressor and a vibrating needle.

Once the concrete has been placed, after-care is required for around two weeks to ensure that the water does not vaporise too rapidly; this is called curing. After-care may be carried out by covering the concrete with a curing agent or with constantly moistened sacking, etc.

Shuttering may be removed after 21 days of drying.

9.3. Shuttering

These are moulds, usually made from wood, in which the steel reinforcement is placed and the concrete is poured. They must be constructed robustly and be suitable for their task.

Usually planks of 2-3 cm thickness are used and the distance of the reinforcement rods between themselves and from the walls of the shuttering should be sufficient to allow the correct placement of the concrete and leave a free space of at least the maximum size of the aggregate.

A distinction is made between the ordinary shuttering which is used for parts of the structure which are underground or not visible, and high-quality shuttering used for exterior walls.

9.4. Steel reinforcement

The main purpose of the steel reinforcement in reinforced steel concrete is to accept the tensile stresses to which the concrete may be subjected. The strength of a reinforced steel concrete structure depends not only on the quality of the concrete but also on the correct layout of the steel reinforcement bars.

Two categories of reinforcement bar are usually used:

- smooth mild steel bars:

limit of elasticity: 2,400 kg/cm2;
maximum permissible working load: 1,600 kg/cm2;
relatively poor adherence;

- high-adherence steel bars:

limit of elasticity: 4,200 kg/cm2;
maximum working load: 2,800 kg/cm2.

Since high-adherence steel bars are scarcely more expensive than plain round bars whilst they are 75 per cent stronger, it is advisable to use the former in the majority of cases.

A reinforcement plan designed for high-adherence steel bars should under no circumstances be carried out with plain round bars.

Steel bar reinforcement is prepared in the following phases:

- the steel rods are cut to the lengths required by the reinforcement plan;
- loose rust is removed by means of a wire brush;
- the rods are bent to shape on a bending bench:

- the individual rods are assembled using annealed steel wire and the assembled components are labelled.

Bending radii (R) of steel rods should not exceed the following values:

mild steel plain round rods R = 3 Æ
high-adherence steel R = 5 Æ
boxes, hoops, hairpins in mild steel R = 2 Æ

9.5. Installing the reinforcement bars

The main concern in installing reinforcement bars is to ensure maintenance of the distances between the steel and the shuttering walls. Steel reinforcement too close to the wall is poorly protected against corrosion. The bars oxidise and this results in blistering which may spall the wall.

To ensure that the distances between the rods and the shuttering walls are maintained during concrete placement, use is made of concrete wedges. Since these wedges are embedded in the concrete, they must be rot resistant.

Steel reinforcement sections awaiting installation

Steel reinforcement which is left on the site awaiting installation is likely to be bent and then unbent, intentionally or otherwise. This is likely to cause fissures in the rods, especially those of high-adherence steel which is relatively brittle. Consequently, it is advisable to have such reinforcements made from mild steel.

Storage of reinforcements

Steel reinforcements should be stored away from moisture.

For prolonged storage, it is necessary to avoid contact with the soil. Ensure that during storage rods of different diameters and different strengths are not mixed up, which may result in subsequent errors on the site.

TO PREVIOUS SECTION OF BOOK TO NEXT SECTION OF BOOK