Back to Home Page of CD3WD Project or Back to list of CD3WD Publications

CLOSE THIS BOOKManual Reaming - Course: Technique for manual working of materials. Trainees' handbook of lessons (Institut für Berufliche Entwicklung, 18 p.)
VIEW THE DOCUMENT(introduction...)
VIEW THE DOCUMENT1. Purpose of reaming
VIEW THE DOCUMENT2. Tools for reaming
VIEW THE DOCUMENT3. Construction of hand reamers
VIEW THE DOCUMENT4. Operation of reamers
VIEW THE DOCUMENT5. Technological process of reaming
VIEW THE DOCUMENT6. Checking of straight reamers
VIEW THE DOCUMENT7. Indication of fits on the straight reamer
VIEW THE DOCUMENT8. Special recommendations for making conical bore holes true to size

5. Technological process of reaming

With making a cylindrical bore true to size as well as with the preparation of plain pin connections, the following steps are required:

5.1. Clamping

The workpieces, as far as possible, should be clamped in such way, that they can be drilled, counterbored/countersunk and reamed in succession without the clamping being loosened in between.

5.2. Scribing/prick-punching

This operation has to be carried out as described under “Drilling and counterboring/countersinking”; it can also be done before clamping.

5.3. Drilling

Since the reamer must remove material from the inside of the bore, the bore roust be made smaller than the nominal diameter of the bore true to size indicates. This difference is called “undersize

Empirical values for undersizes of bore holes in steel are:

N in mm

U in mm

up to 5

0.1 - 0.2

5 - 20

0.2 - 0.3

21 - 32

0.3

33 - 50

0.5

N = nominal diameter
U = undersize

With tough materials and light metal, the undersizes are larger than with steel.

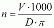
The diameter (D) of the drill is calculated by the following formula:

D = N - U

D = diameter of the drill

The calculation of the rotational speed (n) of the drill is explained in the lesson “Drilling and counterboring/counter-sinking”

General formula:

V = cutting speed (approx. 22 m/min)
p = 3.14

5.4. Countersinking

The bore must be spot-faced by a 90° countersink on either side. In doing so, the diameter of the countersinking (Ds) is to be calculated with the help of the following formula:

Ds = N + 0.2 m

Ds = diameter of the countersinking

The rotational speed for countersinking bores up to a diameter of 10 mm can be approx. 350 r.p.m. with larger bore holes it must be lower.

n » 350 r.p.m

5.5. Reaming

With through bores, always hand reamers can be used; for bores with pockets, the reamer must be spiralfluted (blind holes must be reamed by machine reamers only.) Tap wrenches are used as auxiliary means


Figure 11 - Reaming operation - clockwise rotation

Lubricating and cooling agents are to be seen from the following table:

Steel:

cutting oil

Aluminium alloys:

spirit

Chromium-nickel alloys:

colza oil, petroleum

5.6. Cleaning the bore

After reaming, the chips and remaining oil have to be removed from the bore with the help of compressed air or brush.

5.7. Checking/pinning

Standardized bore holes which are made true to size are checked with the respective plug limit gauge, nonstandardized bore holes true to size may be checked with the help of an internal micrometer.

Pin connections are checked as to functioning after the pins are set in.


Figure 12 - Testing by plug limit gauge

TO PREVIOUS SECTION OF BOOK TO NEXT SECTION OF BOOK