Back to Home Page of CD3WD Project or Back to list of CD3WD Publications

CLOSE THIS BOOKTools for Mining: Techniques and Processes for Small Scale Mining (GTZ, 1993, 538 p.)
Technical Chapter 14: Sorting
VIEW THE DOCUMENT14.1 Jig screen, hand-jigging
VIEW THE DOCUMENT14.2 Simple hand jig, moving bed(percussion) jig
VIEW THE DOCUMENT14.3 Hand piston jig
VIEW THE DOCUMENT14.4 Piston jig, ''harzer'' jig
VIEW THE DOCUMENT14.5 Pulsator classifier pan american jig
VIEW THE DOCUMENT14.6 Sluices with or without linings/insets, long tom
VIEW THE DOCUMENT14.7 Ground sluice
VIEW THE DOCUMENT14.8 Pinched sluice, fanned sluice
VIEW THE DOCUMENT14.9 Air separator, dry blower
VIEW THE DOCUMENT14.10 Settling basin, buddle
VIEW THE DOCUMENT14.11 Circular buddle
VIEW THE DOCUMENT14.12 Dolly tub
VIEW THE DOCUMENT14.13 Bumping table, concussion table
VIEW THE DOCUMENT14.14 Racking table, tilting frame
VIEW THE DOCUMENT14.15 Sweeping table, belt table
VIEW THE DOCUMENT14.16 Vibrating table
VIEW THE DOCUMENT14.17 Humphrey's spiral, spiral separator
VIEW THE DOCUMENT14.18 Spiral concentrator

Tools for Mining: Techniques and Processes for Small Scale Mining (GTZ, 1993, 538 p.)

Technical Chapter 14: Sorting

14.1 Jig screen, hand-jigging

Metal Mining, Gem Mining
Beneficiation, Sorting

germ.:

Handsetzen im engen Sieb, Setzsieb

span.:

concentracion gravimetrica manual en cribas pequenas, criba pequena pare concentracion

TECHNICAL DATA:

Dimensions:

15 × 30 × 20 cm HWD

Weight:

approx. 0.5 -1 kg

Extent of Mechanization:

not mechanized

Form of Driving Energy:

manual

Mode of Operation:

intermittent

Throughput/Capacity:

0.5 - 1.5 kg/M × min

Operating Materials:


Type:

water

Quantity:

small

ECONOMIC DATA:

Investment Costs:

< 10 DM

Operating Costs:

low, only labor costs

CONDITIONS OF APPLICATION:

Operating Expenditures:

low |————|————| high

Maintenance Expenditures:

low |————|————| high

Personnel Requirements:

low

Grain Size of Feed:

(50) 200 ym · 2 mm

Special Feed Requirements:

high density difference between valuable mineral and host material

Recovery:

relatively high, since process can be precisely regulated

Replaces other Equipment:

sluice

Regional Distribution:

Bolivia

Operating Experience:

very good |————|————| bad

Difficulties:

very low efficiency

Environmental Impact:

low |————|————| very high

Suitability for Local Production:

very good |————|————| bad

Under What Conditions:

screen material has to be available

Lifespan:

very long |————|————| very short

Bibliography, Source: Priester, Agricola, Lohneyss

OPERATING PRINCIPLE:

Manual Jigging operation achieved through up-and-down movements of the screen in water. Separation occurs through the oscillating movements of the Jigged material: concentrate on the bottom, then the middlings, and on top, the waste material. The valuable mineral is concentrated through repeated jigging of the feed material with simultaneous removal of the waste with a spatula

AREAS OF APPLICATION:

Refining/secondary cleaning of fine and medium-grained products.

REMARKS:

Very work-intensive technique with very low efficiency.

SUITABILITY FOR SMALL-SCALE MINING:

This manual Jigging technique using Jig screens is only suitable for special application such as prospecting and exploration, or for processing small quantities of feed requiring a very precise separation cut-off, due to the high level of strenuous physical work involved and the low specific output.


Fig.: Work-chronogram of manual jigging operation with jig screen. Source: Priester.

14.2 Simple hand jig, moving bed(percussion) jig

Metal Mining, Coal Mining
Beneficiation, Sorting

germ.:

Einfache Handsetzmaschine, Stauchsetzmaschine

span.:

maritate

TECHNICAL DATA:

Height of Jig:

5 cm to max. 10 cm, jig dilluing depth 2" for coarser feed, < 1" for finer feed, frequency 80 min-1 (coarse feed) up to 120 min-1 (fine feed material)

Dimensions:

approx. 2 × 1 × 3 m HWD

Weight:

approx. 100 kg

Extent of Mechanization:

non mechanized

Form of Driving Energy:

manual

Alternative Forms:

pedal-drive, hydromechanical

Mode of Operation:

intermittent

Throughput/Capacity:

5 - 10 kg/M × min

Operating Materials:


Type:

water

Quantity:

small

ECONOMIC DATA:

Investment Costs:

approx. 250 DM, lower when self-constructed

Operating Costs:

very low, practically only labor costs

Related Costs:

none

CONDITIONS OF APPLICATION:

Operating Expenditures:

low |————|————| high

Maintenance Expenditures:

low |————|————| high

Personnel Requirements:

low

Location Requirements:

none

Grain Size of Feed:

500 ym - 10 mm (30 mm)

Special Feed Requirements:

high density difference between valuable mineral and host material

Output:

concentrate approx. 30 %, middlings approx. 50 %; secondary separation leads to higher total recovery

Replaces other Equipment:

mechanized types of jigs

Regional Distribution:

Bolivia

Operating Experience:

very good |————|————| bad


when employed for production of pre-concentrates or coarse-grain separation

Environmental Impact:

low |————|————| very high

Suitability for Local Production:

very good |————|————| bad

Under What Conditions:

wood manufacturer, good screen quality is a prerequisite

Lifespan:

very long |————|————| short

Bibliography, Source: Priester, Taggert, Stewart, Treptow, Schennen, Bernewitz, Liwehr, German Museum, Cancrinus, Callon, Stifft, Rittinger

OPERATING PRINCIPLE:

In manual moving-bed (percussion) jigs, the feed material undergoes pulsating movements in water which produces a vertical differentiation according to density; the heaviest material lies on the bottom, the medium-weight material in between, and the light material on top. Concentration of the valuable mineral is achieved through repeated feeding of the jigged material and removal of the light material.

AREAS OF APPLICATION:

for

- production of pre-concentrates


- sorting of coarse grains

SPECIAL AREAS OF APPLICATION:

For wet classification, whereby the undersized-pre-concentrate is removed from the Jig box.

REMARKS:

In the Harz mining region of Germany, mechanized moving-bed (percussion) Jigs were employed up until the 19th century.

Jigs suspended from spring-mounted wooden beams anchored at one end; with guides.

Percussion Jigs are characterized, contrary to all other types of jigs, by their extreme low consumption of processing-water, which is an Important advantage. A shortage of water at beneficiation-plant locations in Latin American small-mining operations often restricts the possibilities to employ wet mechanical settling processes or wet classification in moving-bed (percussion) jigs.

Additionally, moving-bed Jigs can handle larger throughput quantities than piston Jigs.

A further advantage is the minimal loss of valuable minerals through the fines, since they are removed from the Jig box.

For all types of jigs, it is absolutely necessary that the screens are of the highest quality. Even surface-tempered screen material remains abrasion and corrosion resistant only for a short period before rusting, which leads to clogging especially of the fine-meshed screens. Especially during processing of sulfide ores, or through the use of mine water in beneficiation, the screens are subject to such strong corrosion from acidic water that screens of inferior quality can become useless after Just one application.

SUITABILITY FOR SMALL-SCALE MINING:

Due to its simple operating principle and suitability for local production, the hand Jig is knowngood traditional ore-beneficiation tool which has become widely distributed throughout the small-scale mining industry. The manual extraction of the product provides a high degree of separation precision, which, however, is offset by the disadvantages ofintermittent operation and low throughput. Use of the hand jig is suitable where water availabilily is limited.


Fig.: Work-chronogram of a simple hand jig, or "maritate" to produce pre-concentrate from feed material of low valuable-mineral content. Source: Priester.


Fig.: Sketch of a simple hand jig (see above). Source: Priester.


Fig.: Plan view of double-chambered hand jig. Source: Priester.


Fig.: Cross-sectional view of double-chambered hand. Source: Priester.


Fig.: Hand jing attached to a spring-mouned wooden beam. Source: Cancrinus.


Fig.: Hand jig from the Harz mining region (Germany) design. Source: Treptow.


Fig.: Simple hand jig. Source: Schennen


Fig.: Hand jig. Source: Stewart

14.3 Hand piston jig

Metal Mining, Coal Mining
Beneficiation, Sorting

engl.:

manual diaphragm jig, pedal diaphragm jig

germ.:

Kolbenhandsetzmaschine, Membran-Handsetzmaschine, Membran Pedalsetzmaschine

span.:

maritate de embolo, maritate con diafragma, maritate a pedal con diafragma

Manufacturer:

manual diaphragm jig: Taller Metal Mecanico, Campo Nuevo, both Bolivia

TECHNICAL DATA:

Dimensions:

hand piston jig: approx. 1.5 × 1 × 2 m HWD; manual diaphragm jig: approx. 1.5 × 1 × 1 m HWD

Weight:

hand piston jig: approx. 100 - 150 kg; manual diaphragm Jig: 50 - 100 kg

Extent of Mechanization:

not mechanized

Form of Driving Energy:

hand piston jig: manual; manual diaphragm jig: manual or pedal-drive

Mode of Operation:

hand piston jig: semi-continuous; manual diaphragm jig: intermittent

Throughput/Capacity:

hand piston jig: 0.5 - 1 t/Mh

Operating Materials:


Type:

water

Quantity:

hand piston jig: approx. 100 I/min; manual diaphragm jig: small quantities

ECONOMIC DATA:

Investment Costs:

hand piston jig: approx. 350 DM, lower if self- made; manual diaphragm jig: 300 - 550 DM

Operating Costs:

low, practically only labor costs

Related Costs:

none

CONDITIONS OF APPLICATION:


hand piston Jig

Operating Expenditures:

low |————————| high


manual diaphragm jig

Maintenance Expenditures:

low |————|————|high

Personnel Requirements:

low

Location Requirements:

hand piston jig: flowing water necessary; manual diaphragm jig: none

Grain Size of Feed:

hand piston jig: 1 mm - 30 mm; manual diaphragm jig: (50) 200 µm - 2 mm

Special Feed Requirements:

high density difference between valuable mineral and host material

Output:

hand piston jig: approx.concentrate 30 %


middlings 50 %


waste: 20 °/0

Replaces other Equipment:

hand piston jig: mechanized jigs; manual diaphragm jig: jig screen, washing sluice

Regional Distribution:

hand piston jig: Bolivia and worldwide; manual diaphragm jig: in Potosi, Bolivia as proto-type


hand piston jig

Operating Experience:

very good |————|————| bad


however often replaced by simple hand jigs;


manual diaphragm jig: information not yet available


hand piston jig

Environmental Impact:

low |————————| very high


manual diaphragm jig


manual piston jig: environmentally detrimental due to sludge/silt load; can be solved through use of a thickener or clarifying basin


hand piston jig

Suitability for Local Production:

very good |———|————| bad


manual diaphragm Jig

Under What Conditions:

hand piston jig: wood manufacturer; manual diaphragm jig: wood and metal-manufacturing shops


hand piston jig

Lifespan:

very long |————————| very short


manual diaphragm jig

Bibliography, Source: Priester, Treptow, Callon, de Hennezel, Rittinger, Hunter, Stewart

OPERATING PRINCIPLE:

Hand piston jig:

Manually-operated pulsating Jig with double jig box. Operating principle is analogous to that of a hand Jig, with the addition of a lateral component generated by the longitudinal flow of the slurry through the jig. Thus the purely up-and-down motion with various vibrational amplitudes is overlaid by a longitudinal motion, which creates density-dependent particle flow-paths of varying vibrational amplitudes and wavelengths. This results in a faster transport of lighter (lower specific weight) particles and slower transport of heavier particles (higher specific weight). Consequently, in the semi-continuous operation, the heavier concentrate grains remain in Screen 1 due to their lower vibrational amplitude, while the middlings and tailings land in Screen 2, with the tailings subsequently being carried out of the jig with the slurry flow.

Manual diaphragm jig:

Manual pulsating jig or pulsating jig with pedal drive. An oscillating motion is induced in the process water flow by means of a car-tire pulsator. The jig feed moves up and down and is sorted via vertical density differentiation.

AREAS OF APPLICATION:

Hand piston jig:

The sorting process is interruped to allow removal of the products. Employed for pre-concentration of coarser material.

Manual diaphragm jig:

Used to perform simplified jigging of fine and medium-sized grain fractions as an improvement over manual screen Jigging.

REMARKS:

Hand piston jig:

Wet classification: relatively low recovery of finer grain fractions due to the high velocity of slurry flow which also carries valuable-mineral particles out with the discharge. To achieve high recovery values, a wet classification in pulsating Jigs should be avoided. Alternatively, the fines should be caught in sedimentation basins and reprocessed (secondary separation).

A small bucket elevator (conveyor) - manual or mechanized - can be used to extract the product from the settling basin.

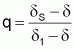
The density distribution of the feed must be regarded as the most important parameter in controlling the jigging process. The higher the density difference between the valuable mineral and host rock or waste material, the more successful the material can be separated in a jig. Schubert ( 1978) offers the following formula for estimating the sortability of the feed:

dS= specific density of the heavy mineral, or density of the ore or valuable mineral in beneficiation

d1= specific density of the light mineral, or density of the gangue (waste material or host rock) in beneficiation

d= density of the medium, usually water, density = 1

For determining the suitability of jigging in water, the value of q indicates the following:

q over 2.5:

separation by jigging is possible up to a lower grain- size limit of 100 ym

q over 1.75:

separation by jigging is possible up to a lower grain-size limit of 200 ym

q over 1.5:

separation up to 1.5 mm is possible, but difficult

q over 1.25:

separation by jigging is not possible

Manual diaphragm jig:

Proto-types exist, but results of operation are not yet known.

Difficulties can arise during operation concerning the homogeneity of the water flow over the jig bed; inhomogeneities must be minimized through the use of metal chutes to prevent disruption of the processing. Further need for research and development efforts.

Additional problems: sealing between the tire and the housing as well as between the tire and the reflecting plate. The use of counter-weights can minimize the leverage forces.

SUITABILITY FOR SMALL-SCALE MINING:

Hand piston jig:

As a purely manually-operated machine, the hand piston jig is suitable only under special circumstances. Since large quantities of water are needed to operate the hand jig, it should be investigated whether a hydromechanization as a "Harzer" Jig would be possible. Advantages of the hand Jig are its simple design and suitability for local construction.


Fig.: Work-chronogram of jigging in a piston jig. Source: Priester.


Fig.: Front view, side view and plan view of pulsating hand jig with car-tire pulsator. Source: Priester.


Fig.: Plan view and cross-section of a hand piston jig. Source: Priester.

14.4 Piston jig, ''harzer'' jig

Metal Mining, Coal Mining
Beneficiation, Sorting

germ.:

Kolbensetzmaschine, Harzer Setzmaschine

span.:

jig de embolo, jig tipo Harz, maritate tipo Harz, jigger

Manufacturer:

Millan. Met. Lacha, Eq. Ind. Astecnia, Buena Fortuna, COMESA, FAHENA, FIMA, Famia, MAGENSA

TECHNICAL DATA:

Dimensions:

approx. 2 × 2 × 2 m

Weight:

starting at 200 kg

Extent of Mechanization:

semi-mechanized

Power Required:

starting at 3 - 5 kW

Form of Driving Energy:

mostly electric or with internal combustion engine via transmission


(mechanical)

Alternative Forms:

hydromechanical

Mode of Operation:

semi-continuous

Throughput/Capacity:

> 1 t/h

Operating Materials:


Type:

water

Quantity:

> 100 1/min

ECONOMIC DATA:

Investment Costs:

starting at 500 DM without drive-system

Operating Costs:

depends on type of mechanization and primary energy source

Related Costs:

handling of sludge

CONDITIONS OF APPLICATION:

Operating Expenditures:

low |————|————| high

Maintenance Expenditures:

low |————————| high

Personnel Requirements:

low

Location Requirements:

flowing water required

Grain Size of Feed:

1 - 30 mm

Special Feed Requirements:

high density difference between valuable mineral and host material

Output:

approx. 30 % as concentrate


50 % as middlings


20 % as waste

Replaces other Equipment:

all other types of jigs

Regional Distribution:

Bolivia, Peru, historically worldwide

Operating Experience:

very good |————|————| bad

Environmental Impact:

low |————————| very high


environmental pollution through sludge/silt loading; solved by using thickeners or sedimentation basins

Suitability for Local Production:

very good |————|————| bad

Under What Conditions:

wood manufacturer; high quality screens necessary

Lifespan:

very long |————|————| very short

Bibliography, Source: Fischer, Liwehr, Treptow, Callon, Kirschner

OPERATING PRINCIPLE:

Mechanized pulsating jig which works analogous to a hand piston jig, but is equipped with a mechanized drive-system via an eccentric shaft. Mechanized Jigs operate efficiently only when the extraction of concentrate and middlings occurs so as to ensure a continuous operation.

AREAS OF APPLICATION:

Production of pre-concentrate. Sorting of coarse grain fractions.

SPECIAL AREAS OF APPLICATION:

In addition to hydromechanical-gravimetric sorting also for wet classification.

REMARKS:

In wet classification, relatively low recovery of fines.

Various constructions for discharge of products which also offer continuous operation are of great advantage:

- pipe and bell, installed in the center of the screen bottom, convey the product out of the water- filled jig box. Adjustment of slot width and height of pipe supports allows the proportion of concentrate to be regulated;

- side slits and discharge devices in retained water

- side-mounted sliding plug in conjunction with an inclined jig bottom which functions as a discharge in retained water.

Kirschner gives the following design data for the piston stroke relative to the grain-size of the feed:

Grain Size
(mm)

Frequency
(min-1)

Grain Size
(mm)

Amplitude
(mm)

Grain Size
(mm)

Amplitude
(mm)



20 - 30

75

3 - 5

35

1.5 - 3

140

13 - 20

60

2 - 3

25

3 - 8

130

8 - 13

50

1.5 - 2

15

8 - 30

110 - 120

5 - 8

40



SUITABILITY FOR SMALL-SCALE MINING:

The high throughput quantities achievable in conjunction with a continuous mode of operation, as well as the ability to easily regulate product quality, make "Harzer" Jigs very suitable even for use in larger small-scale mining operations. In combination with a hydromechanical waterwheel drive, they present an ideal classifying method.


Fig.: Sliding drive transmission for the jig piston. Source: Treptow.


Fig.: Adjustable eccentric (cam) of "Harzer" jig. Source: Treptow.


Fig.: Various forms of discharge devices for "Harzer" kigs. Above left: weirs in a jig with inclined jig bed (Source: Fischer), side-slots in retained water (Treptow), pipe and bell (Treptow) and funnel and pipe (Treptow).


Fig.: "Harzer" jig with discharge through a pipe out the side; discarge outlet in detail. Source: Liwehr.


Figure
Fig.: "Harzer" jig with hoisting device for discharge of the heavy component. Source: Liwehr.
Fig.: Detail of coal jig discharge. Source: Treptow.


Fig.: Detail of central discharge throught pipe and bell from "Harzer" jig. Source: Liwehr.


Fig.: Discharge with slotted weir and counter-current water. Source: Liwehr.

14.5 Pulsator classifier pan american jig

Metal Mining, Coal Mining
Beneficiation, Sorting

engl.:

diaphragm jig

germ.:

Pulsatorsetzmaschine, Membransetzmaschine

span.:

jig de diafragma, jig de ague, jig con pulsador

Manufacturer:

Denver, Svalcor

TECHNICAL DATA:

Dimensions:

approx. 1 × 1 × 1 m HWD

Weight:

starting at around 150 kg

Extent of Mechanization:

semi-mechanized

Form of Driving Energy:

water pressure

Alternative Forms:

pneumatic jigs

Throughput/Capacity:

approx. 20 t/h × m² jig bed

Operating Materials:


Type:

water

Quantity:

420 - 6601/min × m2 pg bed

ECONOMIC DATA:

Investment Costs:

minimum 500 to 1000 DM when self-constructed

Operating Costs:

low, mainly labor costs

CONDITIONS OF APPLICATION:

Operating Expenditures:

low |————|————| high

Maintenance Expenditures:

low |————|————| high

Location Requirements:

water and elevation gradient necessary

Grain Size of Feed:

approx. 0.5 - 10 mm

Special Feed Requirements:

high density difference between valuable mineral and host material

Output:

analogous to other coarse-grain jigging processes

Replaces other Equipment:

under certain conditions, the mechanized jig

Operating Experience:

very good |————————| bad


mostly unknown

Environmental Impact:

low |————|————| very high

Suitability for Local Production:

very good |————|————| bad

Under What Conditions:

welding and metal workshops

Lifespan:

very long |————|————| very short

Bibliography, Source: Priester, Schubert

OPERATING PRINCIPLE:

Hydromechanic pulsating jig, whereby the water flow is induced by a diaphragm-spring system. Analogous to "Harzer" Jig. Continuous-drive, semi-continuous operation. Pan-American jigs are operated with a jig bed and the screen throughput of the concentrate.

AREAS OF APPLICATION:

Sorting and pre-concentrating coarse-grained feed material.

REMARKS:

- other forms of discharge devices may be possible

- pulsators can be simply constructed of rubber diaphragms (car tires)

- a buffer of air at the charging side underneath the pulsator elastically suppresses the water movements.

SUITABILITY FOR SMALL-SCALE MINING:

Given sufficient water and vertical elevation gradient, and when the construction permits continual operation, this type of jig appears to be suitable for the sorting of coarse and medium-grained feed in small-scale mining operations.


Fig.: Pulsating jig (Pan-American jig): a) jig, b) pulsator; 1) jig box, 2) funnel, 3) pulsator, 4) water supply line, 5) spring, 6) diaphragm, 7) flutwater valve, 8) brake sieve 9) concentrate dis-charge. Source: Schubert.

14.6 Sluices with or without linings/insets, long tom

Metal Mining, Alluvial Gold Mining
Beneficiation, Sorting

germ.:

Rinnenwasche mit und ohne Einsatze

span.:

canaleta para la concentracion , canal eta, chap a lavadora, canalon prefabricado, mesas rayadas, canoe

Manufacturer:

Keene

TECHNICAL DATA:

Dimensions:

inclination of sluice depends on mode of operation and grain-size of feed: 2° - 8° for semi-continuous pre-concentration of heavy mineral feed; 14.8° in Bolivia for reprocessing of narrowly classified concentrates in intermittent operation. Depending on the individual situation, sluices ranging from 2 × 0.5 × 0.5 m (Bolivia) to > 100 × 2 × 2 m (Thailand) are in use.

Weight:

depends on type of construction, either as masonry built into the ground, or as wooden construction

Extent of Mechanization:

not mechanized

Form of Driving Energy:

only processing water

Alternative Forms:

possibly mechanical vibrators/shakers

Mode of Operation:

intermittent/semi-continuous

Throughput/Capacity:

between 10 - 100 kg/in in a discontinuous operation; around 20 - 50 t/h in a semi-continuous operation

Operating Materials:


Type:

water

water


in intermittent operation

in semi-continuous operation

Quantity:

up to 351/min

6-10: 1 ratio of fluid volume: solids volume

ECONOMIC DATA:

Investment Costs:

up to 10 DM/m

Operating Costs:

labor costs only; with turf lining higher costs due to frequent replacement

CONDITIONS OF APPLICATION:

Operating Expenditures:

low |————|————| high

Maintenance Expenditures:

low |————|————| high

Personnel Requirements:

experience is necessary

Location Requirements:

flowing water necessary, minimum elevation gradient Dh of 0.5 m

Grain Size of Feed:

(100) 500 - 2000 ym (3 mm)

Special Feed Requirements:

high density difference between valuable mineral and host material

Output: .

approx. 60 % as concentrate, 40 % as waste in re-concentration of tin concentrates. Recovery is increased by re-sorting. Gold-sluices yield around 90 % in optical operation; the major problem is the loss of fines and of the flat, flour-like (float) gold particles, which can reduce the recovery to less than 50 % of the valuable mineral in some instances.

Replaces other Equipment:

fine-grain jigs, jig screens, flotation cells

Regional Distribution:

Bolivia; in gold mining worldwide

Operating Experience:

very good |————|————| bad

Environmental Impact:

low |————|———()—| very high


when accompanied by flotation in the sluice, high contamination of receiving stream through acids, diesel oil and reagents

Suitability for Local Production:

very good |————|————| bad

Under What Conditions:

depending on construction, simple wood working, tin-smithing (sheet metal) or masonry work

Lifespan:

very long |————|————| very short


when using sluices with turf lining, these have to be replaced every 2 - 6 weeks, depending on throughput quantities.

Bibliography, Source: Pirester, Stout, Treptow, Schanbel, Kirschner, Ambio, manufacturer infromation, Silva.

OPERATING PRINCIPLE:

Sluices of different longitudinal profiles (e.g. straight, bent, inclined to varying degrees, concave, etc.) with water flowing through in which, at the location of separation, the flow conditions are so regulated as to allow further conveyance of the light material but sedimentation of the heavier valuable-mineral particles.

AREAS OF APPLICATION:

For sorting of medium-sized grain fraction; for secondary processing of concentrates.

SPECIAL AREAS OF APPLICATION:

Flotation in sluice washers to eliminate sulfide impurities (e.g. pyrite, arsenopyrite, etc.) from oxidic concentrates (e.g. tin ore (cassiterite) or wolframite) .

Reagents: sulfuric acid, diesel oil, xanthate.

Feed: coarser than in hydromechanic-gravimetric sorting.

In gold mining, amalgamation is also frequently performed in sluices, whereby mercury is placed in the riffle channels. This technique leads to high Hg-losses (5 - 30 % of the Hg used per round) as a result of the mercury being broken down into small perls that are then flushed out with the slurry. In Brazilian mining, pieces of soap are packed into the riffle channels along with the mercury in an attempt to minimize the Hg losses. In any event, the practice of conducting amalgamation in sluices is extremely detrimental to the environment.

REMARKS:

Turf lining improves the separation precision in sluices (Bolivian name for this type is "Champalvadora") by increasing adhesive forces at the bottom. The following plant varieties are used in Bolivia for vegetative linings:


- Plantago tubulosa Decne
- Distichia muscoides

Both are proliferous ground-covering plants indigenous to the Andean moor ecosystem (bofedales).

Besides vegetative linings, other riffles and inserts are also being used to enhance the sorting characteristics of sluices by altering the bottom-surface and flow conditions. Known methods include:

- wooden cross-riffles
- stone packing
- rubber matting (car footmats)
- sisal (hemp) mats
- fine and coarse textiles (e.g. corduroy)
- Venetian window-blind arrangement of split bamboo rods
- structural metal/iron grid
- expanded metal mesh (biscocho, malla rombica)
- nets/mesh made from knotted ropes (e.g. hemp or grass), coarse screen mesh, or a combination of these.

Such sluices already characterize the transition to blanket sluices (corduroy tables) especially since such sluices mostly operate semi-continuously.

The higher the proportion of heavy minerals in the feed, the larger the sluice must be. In tin-ore mining in Thailand, sluices (palong) with lengths up to 120 m are in use, whereby the length also serves to homogenize the slurry flow.

The higher the proportion of heavy minerals in the feed, the larger the volume of the sedimentation chambers behind the riffles needs to be in order to permit a sufficiently long operating period without interruption for removal of concentrate.

The finer the grain-size of the valuable minerals in the feed, the smaller the sluice inclination must be to prevent the slurry velocity from becoming too high. In mining of alluvial deposits in Southeast Asia, sluice inclinations of 3°- 6 can be observed (slurry speed: 0.7 to 3.0 m/s).

The latest state of technology for sluice sorting is the use of artificially-induced vibrations in sluice-bed proximity, generated through electric or pneumatic vibrators. The high-frequency motions contribute toward improving the separation precision and allow reduction of the sluice length. To minimize the required energy consumption, only the sluice bottom, mounted with flexible rubber seals, is vibrated.

In gold beneficiation, the successful sorting in sluice washers with riffles or stone packing requires an exact setting of the sluice inclination. If the sluice is installed too flat (a common error), the riffle channels or spaces between the packed stones become filled up with sediment, preventing flow turbulence behind the riffles, and consequently sedimentation of gold, from occurring. On the other hand, if the sluices are set too steep, gold is flushed out of the sedimentation chambers, leading to increased losses and decreased recovery.

Also of importance is the avoidance of fluctuations in the feed quantity. Whenever only pure water flows through the sluice following separation, already-sedimented gold is partially carried back out.

Long wooden riffle sluices (about 4 m) are found frequently in gold mining, succeeding delivery chutes and washing sluices in the processing sequence. These so-called "long toms" are in use worldwide. Their average inclination is about 8%; throughput quantities total around 3.5 m gold-containing feed per day.

An interesting new development is a small tandem sluice in which the slurry feed flows over a screen (3/16") and separates into an underflow of the -450 ym grain-fraction and an overflow of the coarser grains. These two divided slurry streams then run over two riffled sluices, stacked on top of each other; the throughput (flow volume) of the fine slurry can be regulated by adjusting the slurry-feed level of the upper sluice, accomplished by restricting the cross-section of the discharge.

Another form of sluice washer was invented for processing magnetic and slightly-magnetic valuable minerals. This is a combined sluicing/magnetic separation process where magnets are placed underneath the sluice bottom near the riffle channels.

One method applied in gold ore mining involves the flow of slurry feed through a sluice with a concave depression for extracting fine gold. Mercury Iying in this cavity is stimulated by ultrasound, leading not only to a more precise density differentiation, but also to a strong activation of the Hg surface and resulting heating. The micro-sized Hg begins to evaporate and selectively precipitates onto the gold surface, a process which enhances amalgamation. Cooling is achieved by the water flowing through the sluice. The proper adjustment of the sluice incline is complicated; it should prevent mercury from being carried out while at the same time assuring optimal surface contact for amalgamation.

Riffles for sluices used in gold mining are between 1 and 3 cm in height and installed at distances of 1 - 10 cm from the riffle grid inserted in the sluice.

Gold recovery from sluices increases if riffle grids are cleaned sufficiently often. During longer periods of operation there is a tendency for riffles to become filled or clogged with heavy minerals, causing a loss in recovery of the fine-grained material.

Studies in Brazil showed that Hg losses from amalgamation processes in sluices comprise around 40 - 50 % of the total Hg emissions in that country.

SUITABILITY FOR SMALL-SCALE MINING:

Sluices with a discontinuous charging of feed, and therefore low throughput despite very precise separation in some cases, are only suitable for processing small ore quantities, such as in secondary cleaning of concentrates. Sluices for semi-continuous operation are exceptionally well suited for producing pre-concentrates.


Fig.: Various forms of wood and metal or iron riffles and their installation in the source. Source: Silva.


Fig.: Construction designs of sluice washers for intermittent operation; tin and tungsten mining in Bolivia. Source: Priester.


Figures

Fig.: Sluice for semi-continuous operation. Source: Bernewitz.
Fig.: Various types of wooden of stone riffles. Source: Stout.

14.7 Ground sluice

Metal Mining, Alluvial Gold Mining
Beneficiation, Sorting

germ.:

Erdrinne

span.:

canaletas naturales, suceo in Potosi, canalon natural

TECHNICAL DATA:

Dimensions:

approx. 1.5 × 1.5 × 200 - 300 m, up to 100 m elevation drop

Weight:

built into the ground

Extent of Mechanization:

not mechanized

Form of Driving Energy:

water and slurry flow

Mode of Operation:

intermittent

Throughput/Capacity:

approx. 10 t/min (ground sluices in Potosi)

Operating Materials:


Type:

water

Quantity:

large quantities

ECONOMIC DATA:

Investment Costs:

high construction costs

Operating Costs:

possibly high water costs

CONDITIONS OF APPLICATION:

Operating Expenditures:

low |————|————| high

Maintenance Expenditures:

low |————|————| high

Personnel Requirements:

low

Location Requirements:

large elevation difference (vertical drop) and water necessary

Grain Size of Feed:

unclassified waste-dump material

Special Feed Requirements:

high density difference between valuable mineral and host material

Recovery:

very low, estimated value: < 10 % in Potosi, < 50 % in Colombia

Regional Distribution:

Potosi,Bolivia; alluvial-gold mining in Colombia

Operating Experience:

very good |————|————| bad


locally good

Environmental Impact:

low |————————| very


high relatively high quantities of waste sludge, very large space requirements

Suitability for Local Production:

very good |————|————| bad

Under What Conditions:

masonry work only

Lifespan:

very long |————|————| very short

Bibliography, Source: Priester

OPERATING PRINCIPLE:

Sluice washing with fluctuating ground and elevation characteristics in which unclassified feed flows torrentially downward as sludge. The material which settles out onto the ground serves as a pre-concentrate for further processing.

AREAS OF APPLICATION:

For production of pre-concentrate from unclassified waste-dump material at Cerro Rico de Potosi, Bolivia.

For production of pre-concentrate in alluvial gold mining In Colombia.

REMARKS:

Due to the low degree of liberation of the sluiced material, it can only be expected that this process yields to a very low recovery of valuable minerals. In addition, processing activities in ground sluices burden the receiving stream with high sludge loading. Only a few topographical conditions allow the construction of ground sluices, since the sluice feed-input point must lie within close proximity to the raw-material deposit. Any necessity to transport the raw-material renders this already inefficient process uneconomical.

In gold mining In Colombian Barbacoas, similar ground sluices (canalones naturales) are likewise being used for the production of pre-concentrates. Gold-containing sediment, rinsed with low-pressure water, flows as a muddy slurry through the ground sluice, which is subdivided by stone riffle-like barriers. The pre-concentrate which collects in front of these stone barriers is repeatedly loosened and cleaned with the help of almocafres (scraping hooks) and cachos (wooden scrapers for removing the stones).

SUITABILITY FOR SMALL-SCALE MINING:

Applicable only under the special conditions present in Potosi, Bolivia; not transferable to other beneficiation plants or local conditions.

14.8 Pinched sluice, fanned sluice

Metal Mining, Alluvial Gold Mining
Benefication, Sorting

germ.:

Facherrinne

span.:

canaleta en forma de abanico, canaleta abanica

Manufacturer:

Taller Metal Mecanico

TECHNICAL DATA:

Dimensions:

0.5 × 0.5 × 1.5 m HWD

Weight:

approx. 25 kg

Extent of Mechanization:

not mechanized

Form of Driving Energy:

only processing water

Mode of Operation:

continuous

Technical Efficiency:

concentrates to a factor of 2 or 3 per charge (processing cycle)

Operating Materials:


Type:

water

Quantity:

< 50 I/min; 30 - 45 % by weight

ECONOMIC DATA:

Investment Costs:

approx. 150 DM

Operating Costs:

low

CONDITIONS OF APPLICATION:

Operating Expenditures:

low |————|————| high

Maintenance Expenditures:

low |————|————| high

Personnel Requirements:

low

Location Requirements:

water and Dh (elevation gradient) required

Grain Size of Feed:

100 µm - 1 mm

Special Feed Requirements:

Proportion of clay fraction in the feed should be < 5 %; valuable mineral grains between 50 ym and 0.5 mm; high density difference between valuable mineral and host material required

Recovery:

depends on degree of concentration

Replaces other Equipment:

other sluice washers, fine-grain Jigs, settling basins or buddies

Regional Distribution:

only as proto-type in Potosi, Bolivia

Environmental Impact:

low |————|————| very high

Suitability for Local Production:

very good |————|————| bad

Under What Conditions:

wood manufacturer

Lifespan:

very long |————|————| very short


depends on abrasive hardness of feed

Bibliography, Source: Priester, Helfricht, R. Leutz (heavy mineral sand) in: Erzmetall 42, Nr. 9, peg. 383 ff, Silva

OPERATING PRINCIPLE:

Sluices with converging cross-section in which a wide, shallow slurry stream is transformed into a deep, narrow stream. In this process, the heavy material separates out towards the bottom. A dividing blade at the outflow diverts the material flow into light-particle slurry (upwards) and heavy-particle slurry (downwards).

AREAS OF APPLICATION:

For pre-concentration of medium, fine and finest grain fractions.

SPECIAL AREAS OF APPLICATION:

For homogenizing and pre-concentrating of slurry prior to sedimentation in settling basins. The use of pinched or fanned sluices can eliminate peaks in flow during classification.

REMARKS:

The small relative difference in velocity between the slurry-material and the processing water allows precise separation even of the fine-grained fractions.

The pinched sluice can be very finely adjusted by varying the inclination, slurry feed and dividing-blade (experience necessary, possibly accompanied by quality-control measures via panning during processing). Rubber or plastic wear-resistant coatings increase the sluice lifespan. Pinched or fanned sluices are in use even in the technologically modern large-scale mining facilities (Cannon, Carpo-Schneider, Reichert Konus).

Concentration with pinched sluices or cone separators is only possible up to levels of 70% heavy-mineral content, since beyond this amount they no longer operate selectively.

The "tray tester" is a system of vertically-stacked pinched sluices, connected in series, in which tailings and concentrate are multiply re-sorted.

In addition to the simple gravity-based pinched sluices described above, these gravimetric-sorting sluices can also be used In combination with other separating processes. One example is the flotation fan-separator which vertically differentiates the material into float and non-float components through the use of reagent additives (to enhance flotation selectivity) and by injecting air through a fine metal mesh in the upper portion of the sluice where the slurry-feed flow is still flat; at the end of the sluice, these two flow components are separated by a dividing blade. Another example is found in the beneficiation of magnetic iron ores, where a magnetic pinched sluice is employed which is equipped with magnets installed underneath the sluice bottom to intensify the separation of heavy and magnetic ore particles into the underflow.

SUITABILITY FOR SMALL-SCALE MINING:

Pinched or fanned sluices are well suited for various processes in small-scale mining (production of pre-concentrate, homogenizing of settling-basin feed, etc.). Continuous, drive-less operation and a simple construction which can easily be produced locally are essential characteristics of pinched sluices.


Fig.: Special types of pinched sluices: left, flotation pinched separator; right, magnetic pinched sluice. Source: Helfricht.


Fig.: Side view, top view, and front view of pinched sluice. Source: Priester.


Fig.: Operating principle of a cone separator. Source: Robinson.


Fig.: Flow-path of material (slurry) in a cone separator. Source: Silva.

14.9 Air separator, dry blower

Metal Mining, Alluvial Gold Mining
Benefication, Sorting

engl.:

dry washer, pneumatic sluice, pneumatic table

germ.:

Aerorinnen

span.:

canaleta neumatica

Manufacturer:

Keene, Oliver Manufacturing Comp., Berry Neu

TECHNICAL DATA:

Dimensions:

2 × 1 × 1.5 m HWD

Extent of Mechanization:

not mechanized

Form of Driving Energy:

manual drive or pedal drive, drive 250 min-1 approx. 10 cm amplitude

Alternative Forms:

mechanized with internal combustion engine

Mode of Operation:

semi-continuous

CONDITIONS OF APPLICATION:

Operating Expenditures:

low |————————| high

Maintenance Expenditures:

low |————————| high

Location Requirements: .

none, employable even in arid regions

Grain Size of Feed:

< 5 mm; in pneumatic tables between approx. 1 and 50 mm

Special Feed Requirements:

feed must be completely dry; high density difference between valuable mineral and host material necessaryOutput: recovery in fine grain-size range is relatively low

Regional Distribution:

Australia, USA

Environmental Impact:

low |————|————| very high


low pollution from airborne-dust

Suitability for


Local Production:

very good |————|————| bad

Under What Conditions:

wood manufacturer

Lifespan:

very long |————|————| very short

Bibliography, Source: de Bernewitz, Hunter, Stout, Silva

OPERATING PRINCIPLE:

Feed is classified by screening into several fractions. The screens are inclined, and air is blown through them from underneath by means of bellows. This blown air picks up the screened oversize material lying on the screens cloth bottom and suspends it in a turbulent air layer where it is differentiated according to density. The material flow is induced by the screens inclination, whereby the heavy fraction is caught by riffles and the lighter material is discharged over the riffles.

AREAS OF APPLICATION:

Pre-concentration of liberated (comminuted) mine ore in arid regions.

REMARKS:

By mounting the screens onto a flexible steel construction, a shaking movement can be incorporated into the system.

Besides dry blowers, dry vibrating sluices are also used in arid regions. Since a fluidized bed (turbulent air layer) is not generated in these sluices, the separation precision and recovery of valuable minerals are correspondingly lower.

Pneumatic tables:

Pneumatic tables are used for benefication of dry feed (e.g. gold sands in arid regions or coal) in high throughput quantities. Pneumatic tables consist of a screen bottom permeated by a forced-air current which suspends the feed material in a stable turbulent air-layer (fluidized bed). The inclination of the screen as well as applied impact-forces cause the suspended feed material to separate into a light-material zone and heavy-material zone. The comparably high energy consumption as well as the high proportion of airborne dust generated which characterize this process call for the use of a closed-circuit air-flow system, or an intermediary cycloning or dust removal in a dust-collecting chamber with dust collector. The fact that pneumatic gravimetric-separated concentrates do not require subsequent drying is advantageous; the low separation precision is disadvantageous.

Air separation:

Another important pneumatic sorting technique is air classification. The material falls through an air current, whereby the lighter particles are deflected over a greater distance due to their larger surface: weight ratio than are the heavier particles. The flow components can be separated by the use of dividing blades. Air classification can be employed for separating narrowly. classified (narrow-band), totally dry, fine feed; however, the extremely large quantities of dust generated during processing pose enormous environmental problems. The use of cyclones, wet air-washing, or completely covered plants where the processing air flows in closed circuits can reduce dust pollution, but raise processing costs accordingly.

Pneumatic dry washer:

Pneumatic benefication, for example for use in arid regions, can be performed by means of pneumatic pinched sluices where air is blown through a cloth bottom creating a fluidized bed which suspends the feed material and classifies it analogous to the pinched hydro-sluice principle. High density difference and narrowly-classified feed granulation are prerequisites for successful sorting. Pneumatic pinched sluices are employed for pre-concentrating.

SUITABILITY FOR SMALL-SCALE MINING:

Well suited for application in arid regions, especially for the processing of low-grade precious-metal ores (such as the recovery of gold from laterites); simple apparatus which can be locally manufactured.


Fig.: Sorting in air current; left, air classifer for grain; right, mineral sorting in air classifer. Source: Fischer.


Fig.: (right) Pneumatic sluice. Source: Silva.


Fig.: (below) Pneumatic table. Source: Ackthun.


Fig.: Manual pneumatic sluice. Source: Stewart.


Fig.: Dry vibrating sluice. Source: Bernewitz.

14.10 Settling basin, buddle

Metal Mining, Coal Mining
Beneficiation, Sorting

engl.:

conical table

germ.:

Schlammgrube, Sandrundherd, Kegelherd, runder Liegendherd, liegender Rundherd

span.:

buddle redondo, rumbulo, rumbo, phurmuchina, plataforma conica, plataforma, redonda de concentracion

TECHNICAL DATA:

Dimensions:

approx. 2 m 0, 1 m H, 6.3° angle of opening

Weight:

mostly built into the ground; above-ground parts approx. 20 kg

Extent of Mechanization:

not mechanized

Form of Driving Energy:

only processing water

Mode of Operation:

semi-continuous

Throughput/Capacity:

up to approx. 1000 kg/h

Operating Materials:


Type:

water

Quantity:

up to 751/min

ECONOMIC DATA:

Investment Costs:

approx. 300 - 350 DM, less expensive if self made

Operating Costs:

insignificant, labor costs only

CONDITIONS OF APPLICATION:

Operating Expenditures:

low |————|————| high

Maintenance Expenditures:

low |————|————| high

Personnel Requirements:

low

Location Requirements:

water and min. Dh of approx. 1 m necessary

Grain Size of Feed:

50 ym - 2.000 ym

Special Feed Requirements:

high density difference between valuable mineral and host material

Recovery:

Averages about 50 % as concentrate, 25 % as middlings, 25 % as waste material, whereby the material is frequently recycled (reprocessed) in order to increase concentrate contents.

Replaces other Equipment:

tables, sluices

Regional Distribution:

Peru, Bolivia

Operating Experience:

very good |————|————| bad


in association with flotation in settling basin

Environmental Impact:

low |————|————| very high

Suitability for Local Production:

very good |————|————| bad

Under What Conditions:

maasonry construction, wood manufacturer

Lifespan:

very long |————|————| very short


extremely long

Bibliography, Source: Priester, Alfeld, Gaetzschmann, B+H.Z 1865, Linkenbach, Callon

OPERATING PRINCIPLE:

The slurry-feed is placed into the center of a flat sedimentation cone (conical table, buddle). The geometrical form of the sedimentation chamber causes a decrease in slurry velocity as it flows outward toward the table perimeter, which results in a sedimentation of the slurry material: fine heavy-material (with small surface-area exposed to the flow forces) settles in the middle, then coarser heavy-material, further out the fine light-material and at the periphery coarse light-material. The silty fines remain suspended and are carried off. Homogeneous conditions for sedimentation are achieved by damming or retaining the slurry in order to regulate the feed level. The products are extracted manually, with shovels, in concentric rings following completion of the separation process and after the material has dried.

AREAS OF APPLICATION:

Sorting of fine feed. Sorting of waste from sorting tables.

SPECIAL AREAS OF APPLICATION:

Flotation to separate sulfide impurities from oxidic concentrates using sulfuric acid, diesel oil and xanthate. Air-water interfaces occur in the centrally-located slurry feed input.

REMARKS:

- for homogenizing and slowing the slurry flow, bundled grass stalks (chorros) are place at the slurry input point,

- to simplify the damming of the slurry flow in the sedimentation chamber, weirs made from metal sheets or wood can be employed.

- throughput can be increased by simply dividing the slurry feed and processing the separate flows simultaneously in parallel-arranged buddies,

- invented about 1840 in England by Hughes/Ball (Zeitschrift fur das Berg-, Hutten- und Salinenwesen 1865, 22), 1842 by Taylor (Gurlt),

- the round buddle (Linkenbach table) is similar to the type of conical table used in Bolivia; it varies regarding feed Input and homogenization, which are performed by means of a rotating mechanism from which cloths or brooms are hung. This reduces the extent of turbulence at the feed-input point.

To assess the quality of the product, the traditional mill worker uses a shovel as a panning dish to analyze the contents of the heavy minerals at the perimeter of each respective sedimentation ring. In this way the diameter of the respective concentric rings of concentrate, middlings and waste material can be established for product extraction.

The inclination of the cone angle significantly influences the concentrate content and the recovery. Optimal values can be achieved when the inclination of the conical table (buddle) equals that of the growing sediment cone. This varies depending on grain size, distribution of minerals and throughput of slurry. The finer the feed or the smaller the density difference between valuable and non-valuable minerals, the flatter the inclination of the sediment cone becomes towards the perimeter.

In Bolivian tin and tungsten-ore vein deposits the optimal cone angles are around 6.3°.

Regarding the processing procedure, the process flow sheets vary according to whether classification occurs before or after separation processing; i.e. whether an already-classified feed of narrow grain-size range is fed into the separation equipment (Harzer method), or whether a feed of broad-ranged granulation is processed, in which case classification is subsequently performed to remove the host or waste material (screened overs) from the concentrate (Anglo-Saxon method).

SUITABILITY FOR SMALL-SCALE MINING:

In general, the settling basin or buddle is very suitable for wet mechanical fine-grain sorting in small scale mining. It is also quite suitable for secondary separation of sorting-table tailings. The settling basin is characterized by its simple, low-cost construction which does not involve any moving parts.


Fig.: Conical table or buddle. Source: Callon.


Fig.: Top view and cross-section of a Bolivian setting basin. Source: Priester.


Fig.: Work-chronogram of sorting process in Bolivian setting basin. Source: Priester.


Fig.: Mechanized buddle. Source: Linkenbach.

14.11 Circular buddle

Metal Mining
Beneficiation , Sorting

germ.:

Hundt'scher Trichterherd, mechanisierte Schlammgrube

span.:

buddle conico de Hundt, buddle conico, buddle circular

TECHNICAL DATA:

Dimensions:

star-form with four or six channels/cloths, approx. 4 m in diameter, 2 m in height, 3.2° inclination, volumetric capacity approx. 7 - 14 m³

Weight:

mainly built into ground, above-ground components approx. 300 kg

Extent of Mechanization:

semi-mechanized

Power:

approx. 0.5 - 1 PS, 11 min-1

Form of Driving Energy:

mechanical via transmission from electric motor

Alternative Forms:

hydromechanic

Mode of Operation:

semi-continuous

Throughput/Capacity:

300 - 1000 kg/in at relatively low concentration factors

Operating Materials:


Type:

water

Quantity:

up to 100 I/min.

ECONOMIC DATA:

Investment Costs:

minimum of 1000 DM without drive unit if self-constructed

Operating Costs:

energy costs, labor costs, very low wear

CONDITIONS OF APPLICATION:

Operating Expenditures:

low |————|————| high

Maintenance Expenditures:

low |————|————| high

Personnel Requirements:

low

Location Requirements:

running water and min Dh of approx. 1.5 m necessary

Grain Size of Feed:

10 ym - 200 ym

Special Feed Requirements:

high density difference between valuable mineral and host material

Recovery:

probably lower than in settling basin due to small grain sizes

Replaces other Equipment:

settling basin, buddle

Regional Distribution:

currently only rarely found in Bolivia

Operating Experience:

very good |————|————| ad

Environmental Impact:

low |————|————| very high


large space requirement

Suitability for Local Production:

very good |————|————| bad

Under What Conditions:

metal and wood workshops, masonry construction

Lifespan:

very long |————|————| very short

Bibliography, Source: Priester, Gurlt, Liwehr, Hundt, Pieler, Koecke, Rittinger

OPERATING PRINCIPLE:

Buddle with peripheral input of slurry feed by means of a star-shaped, slowly-rotating hub with radial channels. The slurry flows down the outer wall into the funnel-shaped sedimentation chamber. The very low slurry velocity allows sedimentation and sorting of the finest-grained feeds. In mechanized buddies the heavy material sediments at the outer perimeter, with light material and water discharging at the center.

AREAS OF APPLICATION:

Sorting of finest feed. Secondary separation of tailings from sorting tables.

REMARKS:

Long work-cycles are possible due to the large volumetric capacity. Parallel-connected mechanized buddies increase the plant throughput Extremely well suited for gravimetric-hydrodynamic beneficiation of the finest fractions, which especially In tin and tungsten ore processing contain high proportions of the valuable mineral.
Invented by Hundt in 1858 in Siegerland (Germany) and tested in Ramsbek. Results indicated higher throughput quantities than with non-mechanized buddies (settling basins) as well as significantly higher valuable-mineral content In the concentrate, but only slightly higher total recovery. Apart from a few minor details (slurry feed input, non-linear separation-chamber profile), the mechanized buddies in Bolivia have exhibited the same design for 130 years!!

According to Hundt, only one person is required to operate 3 to 4 circular buddies.
Advantages compared to non-mechanized buddies are:

+ low water requirements
+ low motive power required
+ low cost for masonry construction

Driven by 2-meter high water-wheel with a very low quantity of propelling water (Pieler).
The selectivity of buddies sinks in direct proportion to the solid feed content of the slurry, which makes circular buddies more suitable for pre-concentrating purposes than for final sorting. To achieve concentrate with high valuable-mineral contents, the feed has to be reprocessed as much as six times.

SUITABILITY FOR SMALL-SCALE MINING:

Mechanized buddies represent the only known wet-milling, fine-grain sorting processincluded in traditional small-scale mining beneficiation techniques. A drive system is necessary for mechanization.


Fig.: Mechanized buddle. Source: Liwehr.


Fig.: Buddle from Bolivian tin mining. Source: Priester.

14.12 Dolly tub

Metal Mining
Beneficiation, Sorting

engl.:

tossing tub, kieve, agitator

germ.:

Raffinationstonne nach dem Schanzverfahren, Schlammfaß, Engl. Ruhrfaß, Ruhrwerk, Stauchkasten

span.:

tine de refinacion, tine de levante, tine de refinacion segun el proceso de Schanz, tine de deslame, cajon de asentamiento

TECHNICAL DATA:

Dimensions:

metal barrel or tub, 50 - 150 lifers in volume

Weight:

approx. 10 - 30 kg

Extent of Mechanization:

not mechanized

Form of Driving Energy:

manual

Alternative Forms:

possibly hydromechanic ?

Throughput/Capacity:

1 - 6 kg/min

Operating Materials:


Type:

water

Quantity:

< 51/min

ECONOMIC DATA:

Investment Costs:

nominal Operating Costs: labor costs only

CONDITIONS OF APPLICATION:

Operating Expenditures:

low |————|————| high

Maintenance Expenditures:

low |————|————| high

Personnel Requirements:

low

Location Requirements:

none

Grain Size of Feed:

20 - 2,000 µm

Special Feed Requirements:

density difference between valuable mineral and host material

Output:

an average of 60 % as concentrate, tailings are reprocessed

Replaces other Equipment:

sluices, buddies

Regional Distribution:

Bolivia, formerly widespread throughout Central Europe, initally as sorting apparatus, later used only for drainage purposes

Operating Experience:

very good |————|————| bad

Environmental Impact:

low |————|————| very high

Suitability for Local Production:

very good |————|————| bad

Lifespan:

very long |————|————| very short

Bibliography, Source: Priester, Schennen, Treptow, Villefosse, Althaus, Zirkel

OPERATING PRINCIPLE:

Feed is mixed with water (at a ratio of 1: 1 by weight) and homogenized by agitating. Through impact pounding on the barrel the sediment becomes thixotrope and begins to flow. A sink-float process then begins in the high-density slurry, with lighter material floating upward and heavier material sinking downward. After several minutes, the water is decanted. The consolidated sediment is vertically differentiated according to density' end is selectivly removed by means of a spatula.

AREAS OF APPLICATION:

Secondary cleaning of concentrates from sluices and settling basins or buddies.

REMARKS:

As a result of the very minimal motion of the water, the finest grains can also be selectively separated with a high degree of precision. Even materials exhibiting a low density difference between valuable and waste material can successfully be processed with this technique.
Results can be improved if a suitable bottom material, such as rubber matting, is used (less wave adsorption as when directly on the ground).

In mechanized form, the dolly tub by Villefosse (from England) is known. The impact forces were induced by means of a camshaft, initially driven hydromechanically, later via steam engines.
Shock-absorbing devices appropriate for vibrating presses can be made from car springs (need for research and development).

Establishing the boundary between middlings amd tailings and between concentrate and middlings is determined by product control with a batea (panning principle).

SUITABILITY FOR SMALL-SCALE MINING:

The "Schanz-method" dolly tub is suitable for use in non-mechanized mines as a secondary-cleaning or dewatering apparatus for processing valuable concentrates (e.g. tin, wolframite, or silver concentrates). Investment costs are extremely low and the separation precision very high even for fine grained material.


Fig.: Work-chronogram of sorting steps in tossing tub with "Schanz" method. Source: Priester.


Fig.: Tossing tub. Source: Schennen.


Fig.: Tossing tub. Source: Treptow.

14.13 Bumping table, concussion table

Metal Mining
Beneficiation, Sorting

engl.:

concussion table, percussion frame

germ.:

Stoßherd

span.:

mesa de concentracion a golpes, mesa de sacudimientos, mesa de concentracion, mesa de golpe

TECHNICAL DATA:

Dimensions:

3 m in length, 1.2 m in width

Form of Driving Energy:

hydromechanical drive most appropriate due to the relatively low rated speed of the shaking table

Alternative Forms:

electromechanical drive, mechanical drive via internal combustion engine, manual drive, pedal drive

Throughput/Capacity:

approx. 250 kg/Mh (including charging of feed and drawing of products)

Technical Efficiency:

higher than in vanners (belt table); very fine heavy materials, for example < 20 µm gold-ore grains, are also recovered in the concentrate.

Operating Materials:


Type:

water

Quantity:

approx. 50 - 80 % by weight

ECONOMIC DATA:

Investment Costs:

bumping tables can be produced locally at very low cost. For example, in a Colombian pilot-plant, a bumping table with 0,65 × 1,5 m table-size could be constructed for 250 DM without camshaft or drive-unit.

Operating Costs:

energy costs, labor costs

Related Costs:

possibly thickener

CONDITIONS OF APPLICATION:

Operating Expenditures:

low |————|————| high


lower in comparison to vanners (belt tables)

Maintenance Expenditures:

low |————|————| high

Personnel Requirements:

one man can operate three bumping tables; table adjustment requires experience.

Grain Size of Feed:

between around < 10 µm and 1,000 µm - 2,000 µm

Output:

According to test results by Althaus, the concentrate-contents, recovery and throughput quantities are higher than with vanners: 3 bumping tables: 3300 kg ore, 48 h, 552 kg Pb-concentrate with 53.0 % Pb (296 kg Pb) 1 M/3 h 3 vanners: 3300 kg ore, 60 h, 643 kg Pb-concentrate with 45.5 % Pb (292 kg Pb) 2 M/3 h

Replaces other Equipment:

shaking tables, buddies, some sluices

Regional Distribution:

earlier widely known

Operating Experience:

very |————|————| good bad

Environmental Impact:

low |————|————| very high

Suitability for Local Production:

very good |————|————| bad

Under What Conditions:

good wood manufacturer

Lifespan:

very long |————|————| very short

Bibliography, Source: Gurlt, Schennen, Treptow, Wagenbreth, Fisher, Villefosse, Althaus

OPERATING PRINCIPLE:

A bumping table (percussion frame) is a flat rectangular sedimentation basin. At the feed-input side, the slurry is homogeneously distributed onto the table with the help of a knubbed wooden board. The slurry then flows over the longitudinally-inclined table. Heavy material settles out in proximity of the feed input-point whereas lighter material remains suspended and is carried out with the float. To increase the precision of separation, the material is loosened by pounding on the table surface in the longitudinal direction. In so doing, the suspended table is deflected by a camshaft and swings back under its own weight against a buffer. The impact forces are transmitted with varying intensity to the feed material on the table. Consequently,the horizontally density-differentiated material comprises separate counter-current flow components: the heavy material Iying directly on the table surface receives the strongest impulse and is set into upward motion against the slurry flow. The overlying lighter material receives a dampened impulse, which combined with its closer proximity to the overlying water current, causes it to be moved in a downstream direction with the flow. From time to time, the entire material on the table should be swept upstream toward the feed-input end to avoid possible undesired loss of valuable mineral.

After a sufficiently long sorting duration, the input of slurry feed is interrupted so that the concentrate can be extracted by shovels, spatulas or brooms and stockpiled for reprocessing.

AREAS OF APPLICATION:

Bumping tables are used for sorting of medium and fine-grained feed containing heavy minerals such as galena, wolframite, tin ore, gold, etc.

REMARKS:

Bumping tables were developed from enlarged bateas (panning dishes) and originate from Bohemia, having expanded to Hungary by 1770; also known in Germany by 1772 through the mining engineer Schmidt in Freiberg silver mining.

Bumping tables were employed until the beginning of this century in Central Europe, primarily in the German mining regions of the Harz Mountains and Saxony.

A very significant design detail of the bumping table is the installation of a wooden board at the feed input point in an attempt to achieve a homogeneous distribution of slurry over the entire width of the table. Typical historic designs for these boards are shown on the following page.

The great advantage of bumping tables are their easy regulation of the processing conditions through the very quickly adjustable table inclination, through the frequency and intensity of impacts, and the quantity of feed slurry.

Of importance for high separation precision is to maintain a homogeneity in the slurry-feed quantity and particularly in the density, since fluctuations in these parameters cause variations in transport conditions of the discharge flow.

Bumping tables are differentiated according to those with solid buffers and those with elastic buffers. The bumping tables equipped with solid buffers operate with comparably greater separation precision when density differences In the feed (valuable mineral vs. host material) are sufficiently high; however, they consume more energy with lower throughput quantities.

SUITABILITY FOR SMALL-SCALE MINING:

Bumping tables are very suitable for filling the technical gap between buddies and shaking tables. The simple and stable construction combined with simple (but inefficient) drive systems permits local manufacture of the apparatus at low investment costs compatable with small-scale mining budgets.


Fig.: Bumping table (Freiberger Langstoßherd or "long bumping table"). Source: Treptow.



Fig.: Various designs of boards for homogenizing and distributing the feed. Source: Schennen (left); Liwerhr (right).


Fig.: Bumping (concussion) table. A: table; B: roller to adjust table inclination; C: rod that is moved by spiral disc D; E and E': buffer, E on table and E' on frame, G: sluice (washing trough), K: ore concentrate, shoved to right side when table rebounds and when E and E' strike; T: barren material flushed our by water into G. Source: Wagenbreth.


Fig.: Bumping (concussion) table. Source: Schennen.

14.14 Racking table, tilting frame

Metal Mining
Beneficiation, Sorting

germ.:

Kippherd

span.:

mesa de concentracion inclinable

TECHNICAL DATA:

Dimensions:

similar to vanner (belt table), approx. 2 - 6 m in length, 1 - 2 m in width

Extent of Mechanization:

not mechanized

Form of Driving Energy:

only processing water or slurry

Mode of Operation:

semi-continuous

Throughput/Capacity:

low, can be increased with multiple-deck table

Operating Materials:


Type:

water for flushing

ECONOMIC DATA:

Investment Costs:

approx. 1500 DM if self-made

Operating Costs:

labor costs only

CONDITIONS OF APPLICATION:

Operating Expenditures:

low |————|————| high

Maintenance Expenditures

low |————|————| high

Personnel Requirements:

operating experience required

Location Requirements:

large quantities of water must be available

Grain Size of Feed:

0.1 - 2 mm

Special Feed Requirements:

high density difference between valuable mineral and host material

Recovery:

comparable to that of vanners (belt tables); throughput is higher due to ease of extracting products

Replaces other Equipment:

vanner (belt table), mechanized buddle

Regional Distribution:

historic technique

Operating Experience:

very good |————|————| bad

Environmental Impact:

low |————|————| very high

Suitability for Local Production:

very good |————|————| bad

Under What Conditions:

wood manufacturer

Lifespan:

very long |————|————| very short

Bibliography, Source: Zirkel

OPERATING PRINCIPLE:

Racking tables or tilting frames function similar to vanners (belt tables): the feed material settles out onto a slightly-inclined (longitudinally) sedimentation surface, with grains of higher specific density sedimenting closer to the feed-input point and grains of lower specific density settling out further downstream, the distance being proportional to the density. When the table-surface capacity is reached, the charging cycle is interrupted and the table tipped along its longitudinal axis. Supplementary water rinses the surface free of material, whereby the grains are separated by dividing plates into various catching compartments. Upon completion of the rinsing step, the table is tipped back into the original horizontal position and the process continues with renewed input of feed.

AREAS OF APPLICATION:

Tables of this type were widely used in tin mining in Cornwall (England) in the last century.

REMARKS:

Zirkel describes a design in which the table is connected to a water channel by a chain, so that the tipping action automatically releases the supplementary water used to flush the products from the table.

Modern racking tables with multiple-deck (vertically stacked) and possibly a swinging system (Bartles-Mozley table) are employed for sorting the very finest heavy-mineral feeds (5 - 100 ym).

SUITABILITY FOR SMALL-SCALE MINING:

Racking tables (tilting frames) in the form of multiple-deck tables are appropriate for small-scale mining for extraction of valuable minerals from the finest grain fractions.


Fig.: Operating principle of a simple racking table. Source: Priester, according to Zirkel.

14.15 Sweeping table, belt table

Metal Mining, Gold Mining
Beneficiation, Sorting

engl.:

vanner, blanket (corduroy) table, Brunton table, animal pelts

germ.:

Kehrherd, Planenherd, Bruntonherd, Tierfelle

span.:

mesa de concentracion de limpieza manual, bayetas, pangs, tableros, mesas rayadas, mesa de concentracion con pano, mesa de concentracion brunton, pieles de animal

TECHNICAL DATA:

Dimensions:

7 m in length, 1.2 m in width, Brunton table 3 × 1 m

Extent of Mechanization:

not mechanized/semi-mechanized/fully-mechanized

Form of Driving Energy:

only slurry flow, Brunton table by electric or mechanical drive, with or without vibrator

Mode of Operation:

intermittent/semi-continuous

Throughput/Capacity:

according to Althaus: approx. 100 kg/Mh Including feed input, product extraction, etc.; 3 m corduroy table: approx. 100 t/24 h

Operating Materials:


Type:

water

ECONOMIC DATA:

Investment Costs:

approx. 200 DM when self-made

Operating Costs:

labor costs only (excluding powered Brunton table)

CONDITIONS OF APPLICATION:

Operating Expenditures:

low |————————| high

Maintenance Expenditures:

low |————|————| high

Personnel Requirements:

experience in adjusting tables is necessary

Location Requirements:

water and sufficient elevation difference required

Grain Size of Feed:

approx. 0.05 - 2 mm

Special Feed Requirements:

high density difference between valuable mineral and host rock

Output:

the recovery from rigid tables is significantly less than that achieved with vibrating or shaking tables. The geometry of the sedimentation chamber creates practically constant settling conditions in the longitudinal direction. As a result, the separation precision of this sorting apparatus is highly limited; comparison can be made with the bumping (concussion) table (research results from H. Althaus).

Replaces other Equipment:

sluices, tables, amalgamation tables

Regional Distribution:

corduroy (blanket) tables widely distributed in gold mining in Ecuador and Colombia; historically distributed worldwide

Operating Experience:

very good |————|————| bad

Environmental Impact:

low |————|————| very high

Suitability for Local Production:

very good |————|————| bad

Under What Conditions:

simple carpentry or masonry construction

Lifespan:

very long |————|————| very short

Bibliography, Source: Schubert, Treptow, Reitemeier, Villefosse, Althaus, Ullmann, Crennell, Plinius en Moesta, Agricola, Priester, v. Bernewitz, Libro de Inventos 1890, Medina/Peru

OPERATING PRINCIPLE:

A separating table, slightly inclined along the longitudinal axis, serves as a sedimentation surface for valuable-mineral grains of high specific density and for those grains in the feed which exhibit mineral-waste intergrowths. Table inclination and slurry volume are the parameters influencing the cut-off density of the separation process. After completion of sedimentation, charging of feed is interrupted and the concentrate near the feed-input point is swept together and removed. Middlings settle out further downstream from the feed intake.

For sorting of the very finest fractions, the table surface is covered with coarse cloth towels which enhance the sedimentation of heavy material. The towels are washed following sedimentation and spread out again so that the entire table surface is covered. Corduroy was the commonly-used material for lining the corduroy or blanket table. Later, riffled rubber linings (thickness 10 mm, riffle depth 3 mm, riffle interval 6 mm) were widely used.

Mechanized processing plants employ endless rotating belts in the so-called Bruton tables, in which the sorting surface is inclined 11 and the belts move at around 0.4 m/min in the opposite direction to slurry flow. Above the slurry feed, the concentrate is continually rinsed. Continuous-operating belt tables have also been constructed as slow-rotating drums (e.g. 3.6 m length, 0.9 m 0, 3.75° inclination) with riffled rubber linings.

Cow hides are used for the winning of cassiterite (tin ore), analogous to the "Golden Fleece" of the Kolchier for winning gold, they are employed during beneficiation of very fine sludge or silt to recover the valuable minerals. The heavy ,-trains are trapped between the hairs of the hide and are recovered during subsequent washing of the hide. After several applications, the hide is then burned and the ashes further processed to extract any remaining valuable-mineral fines.

Sludge trough, German square buddle (in Bolivia: buddle quadrado)

Sluice-type buddle with square or trapezoidal cross-section measuring approx. 2 × 1 × 1 m and a preceeding sedimentation chamber. Coarse concentrate settles out in the first sedimentation chamber, and sedimentation and classified sorting of fine. grained feed (100 - 2000 ym) occur In the second sedimentation chamber, analogous to settling basins (round buddies). Due to the geometry of the grains in the slurry feed, there is only a nominal change in the slurry velocity, resulting in poor separation precision.

AREAS OF APPLICATION:

For sorting of fine and finest grains from heavy-mineral slurries, e.g. tin, tungsten or gold mining. For extraction of heavy minerals from the finest mud or silt.

REMARKS:

Already at the time of the early Egyptians belt tables were employed for sorting silver, gold and copper ores.

The "buddle quadrado" that is applied in Bolivia represents a simple construction of a belt table.

Belt tables should be constructed in such a way that a simple mechanism allows the adjustment of table Inclination, for example by a one-sided suspension. This allows the inclination to be adjusted according to feed parameters or the desired separation cut-off size. Inclination angles range between about 1: 10 (approx. 6°) and 1: 120 (approx. 0.5°). The finer the grain-size of the feed or the lower the separation density, the smaller the sedimentation inclination angle needs to be.

In place of animal hides, industrially-produced textiles such as corduroy or similar material are suitable. This technique was widely distributed in North American gold mining for a while. Animal hide or corduroy sluices or tables are independent of the pH-value of mine water, contrary to amalgamation tables.

Cow hides were used for winning gold from alluvial deposits in Brazil up until the beginning of this century.

Reports of artisan gold mining in Peru mention the extraction of pre-concentrate from "empedrados", which are simple artificial gold traps built by packing stones together in the river bed during periods of low water level. These "chacras de oro" are then collected following the rainy season, and this pre-concentrate then further concentrated with the help of sheepskins spread on sorting tables. In this way, as much as 4 9 of gold could be won from each m² of "empedrados" or stone barrier.

SUITABILITY FOR SMALL-SCALE MINING:

Fixed, rigid tables are suitable especially for processing low-grade ores with high-density valuable minerals (e.g. in the beneficiation of tin-ore, tungsten or gold). For the processing of high-grade ore feed or pre-concentrates, the discontinuous operation which is characteristic of this techniques offers only limited throughput.


Fig.: Sluice-type buddle, simple belt table. left: from Treptow; right: from Priester.


Fig.: Belt table (left) and corduroy table (right). Source: Agricola.


Figures

Fig.: Concentrating table. Source: Treptow
Fig.: Endless-belt table, Bruton table. Source: Schennen


Fig.: Concentrating table. Source: Callon.


Fig.: Sweeping table. Source: Agricola.

14.16 Vibrating table

Metal Mining, Gold Mining
Beneficiation, Sorting

engl.:

shaking table, wifley table

germ.:

Schwingherd, Wilfleyherd, Schuttelherd

span.:

mesa de concentracion vibradora, mesa concentradora, mesa de concentracion de Wilfley

Manufacturers:

Millan, Denver, Keene, Mineral Deposits, Wedag, Wilfley Mining, Mozley,Svalcor, Talleres J.G, Eq. Ind. Astecnia, Buena Fortuna, COMESA, FAHENA, FIMA, Magensa, SOTEEL

TECHNICAL DATA:

Optimal technological characteristics and operating parameters of vibrating tables for the processing of tin, tungsten and similar ores (by Isaev):

Characteristics

Sand table

Fine sand table

Slime table


(1 - 3 mm)

(0.2 - 1 mm)

(<0.2mm)


(shaking or bumping table)

(bumping table)

(bumping table)

Ratio of length to width of table

approx. 2.5

approx. 1.8

< 1.5

Lift in mm

16 to 26

12 to 18

6 to 12

Number of strokes in min-1

200 to 270

270 to 320

320 to 420

Lateral inclination of table surface in degrees

4 to 10

2 to 4

1 to 2.5

Longitudinal inclination of table surface in mm

20 to 30 (incline)

10 to 20 (incline)

1 to 10 (decline)

Fluid-solid ratio (vol) of feed

3.5:1 to 5:1

3.5:1 to 4:1

3.5:1 to 4:1

Cross-flow water quantity (fluid-solid volumetric ratio)

1:1 to 1.5:1

1.5:1

2:1

Height of riffles at drive-side in mm

26 to 18

18 to 12

12 to 8

Interval between riffles in mm

30 to 45

25 to 40

30 to 45

Throughput in t/h

4 to 2

2 to 0.9

0.8 to 0.2

Dimensions:

approx. 4.3 × 1.9 × 1 m LWH, also smaller as bench-scale, laboratory scale, or special tables

Weight:

approx. 500 - 1000 kg for large concentration tables

Extent of Mecanization:

fully mechanized Driving Energy Required: 0.2 - 2 Kw

Form of Driving Energy:

electrical

Alternative Forms:

turbine, internal combustion engine

Mode of Operation:

continuous

Operating Materials:


Type:

water

Quantity:

80 - 85 % by volume

ECONOMIC DATA:

Investment Costs:

9600 US$ (Denver cif La Paz), 2000 US$ (Millan, somewhat smaller)

Operating Costs:

labor costs, energy costs

Related Costs:

milling necessary, hydraulic classification

CONDITIONS OF APPLICATION:

Operating Expenditures:

low |————|————| high

Maintenance Expenditures:

low |————|————| high

Personnel Requirements:

trained personnel

Location Requirements:

water and elevation difference Dh

Srain Size of Feed:

150 µm - 1.5 mm

Special Feed Requirements:

High density difference between valuable mineral and host material is necessary; preliminary hydro-classification of the feed, for example with a cyclone, counter-current classifier, pyramidal cone classifier, etc. is recommended.

Recovery:

only high if tailings are re-sorted by finest-grain sorting equipment such as buddies or mechanized buddies

Replaces other Equipment:

sluices, buddies, spiral separators

Regional Distribution:

worldwide, the most widely distributed sorting system for hydromechanic-gravimetric processing of medium and fine grainded feed; manual tables are rare

Operating Experience:

very good |————|————| bad

Environmental Impact:

low |————|————| very high

Suitability for Local Production:

very good |————————| bad

Under What Conditions:

good carpentry or metal workshops, welding shop, knowledge of vulcanizing, etc. possibly including the use of components made of plastic, rubber, fiberglass, etc.

Lifespan:

very long |————|————| very short

Bibliography, Source: Taggert, Schubert, Manufacturer information, Hunter, Stewart,

OPERATING PRINCIPLE:

Vibrating tables consist of a rectangular or parallelogram-shaped separating surface that is slightly inclined both laterally and in the direction of vibrational movement. The table surface is equipped with riffles which decrease in size with increasing distance in the direction of movement (away from feed input, which occurs at the highest point on the table surface). Supplementary water is applied across the table in a lateral direction along the entire length. Explained simply, the heavy material is less subject to cross-flow forces than the lighter material, so that the feed is differentiated into strips according to density with the heavy material discharging as concentrate over the end, middlings near the lower corner and tailings over the long side.

AREAS OF APPLICATION:

Medium and fine-grain sorting of heavy-mineral feed in solid-rock and alluvial mining of:

- gold
- tin
- tungsten
- antimony
- lead-silver
- zircon

and for separation of industrial-minerals (sand and gravel) pre-concentrates in monacite (cryptolite) and xenotime products.

REMARKS:

Concentration tables made of fiber glass in which the riffles are preformed as negative impressions and inverted during construction are very suitable for local production.

A miniature table is being offered on the prospecting-equipment market (Keene) which operates on 12 V, weighs a total of about 15 kg, and has a throughput of 250 kg/in maximum, making it suitable for secondary sorting of Au-concentrates (price approx. 600 US$).

The table's angle of Inclination has a crucial effect on the separation results. It could often be observed that the table inclination was set incorrectly.

Particularly for beneficiation of gold-containing ores, black rubber-lined tables have proven to be highly advantageous (good visual contrast to gold).

Concentration tables are capable of processing relatively wide-band classified feed (wide grain-size range).

The maximum grain-size of the feed must be smaller than riffle height and smaller than one-third of the interval between riffles.

A disadvantage of this technique, when large throughput quantities or feed containing high proportions of fine-grained material are being handled, is that valuable-mineral fines are carried out with the tailings. In such cases, a subsequent fine-grained separation process must be performed.

Consequently, special gold tables operate with extremely low throughput quantities (for example the Gemini 60 table with 25 kg/m² × h).

Concentrating-table feed should always be hydro-classified prior to sorting to assure adequate separation precision.

The lowest grain-size that can still be sorted with sufficient precision ranges between 20- 100,um, depending on the feed material, whereby the grain shape of the valuable mineral and the density distribution of the minerals play an important role.

The industry has been trying for a long time to develop table sorters that separate in the centrifugal field in order to reduce the sizes of the grains which can be processed (EP 0247 795, EP 0323 447, DE 3309 385). For this purpose, the table surface is rolled to a truncated cone with small opening angle and set into rapid rotation (160 - 240 min-1), creating 10 - 50 kg centrifugal acceleration. Finally the drum is positioned with the opening on top (0° - 5°). The entire unit is subject to a vibrating frequency of 240 - 450 min-1 parallel to the rotational axis and an oscillation amplitude of 1 - 35 cm. The only supplier (Mozley) lists a throughput of approx. 0.2 t/h with a feed grain-size range of 1 to 250 ym.

The very complicated technique for removing the tailings, which involves a rotating raking device and high investment costs of approx. 150.000 DM, render this machine unsuitable for small-scale mining purposes despite the fact that experience from Cornish tin-ore mining, where the multi-gravity separator was employed as a substitution for traditional table separating, shows that comparably high throughput, high recovery and high-grade concentrates can be achieved.

SUITABILITY FOR SMALL-SCALE MINING:

Vibrating tables, employed for mechanized sorting of medium and fine-grained heavy mineral feed, are very suitable for small-scale mining application due to their low energy requirements, high throughput, flexibity and ease of adjustment, and comparably simple operating principle.


Fig.: Wilfley table. Source: Otero.


Fig.: Shaking table. By Schmiedchen.


Fig.: Distribution of the products over the table. Source: Silva.


Fig.: Manual shaking table. Source: Stewart.

14.17 Humphrey's spiral, spiral separator

Metal Mining, Gold Mining
Beneficiation, Sorting

germ.:

Humphreyspirale, Wendelscheider, Spiralscheider

span.:

espiral de Humphrey, espiral de separacion por gravedad, separador helicoidal, espiral

TECHNICAL DATA:

Dimensions:

approx. 1 × 1 × 3 m / 5 to 6 windings / 1 to 3 discharge outlets

Weight:

approx. 200 kg

Extent of Mechanization:

not mechanized

Form of Driving Energy:

velocity of slurry/processing water

Mode of Operation:

continuous

Throughput/Capacity:

0.5 12 t/h depending on dimension of channel (launder) and grain size of feed

Operating Materials:


Type:

processing water, slurry water

ECONOMIC DATA:

Investment Costs:

approx. 8000 DM

Operating Costs:

low

Related Costs:

possibly slurry pumps

CONDITIONS OF APPLICATION:

Operating Expenditures:

low |————|————| high

Maintenance Expenditures:

low |————|————| high

Location Requirements:

minimum Dh (without pump) of 5 m

Grain Size of Feed:

(50 ym) 100 µm - 2 mm

Special Feed Requirements:

density difference between valuable mineral and tailings

Recovery:

solids-content of the slurry: 14 - 20 % by vol.

Replaces other Equipment:

other sluice washers

Regional Distribution:

in small-scale mining in Latin America very rare; widely employed in mining in South East Asia (alluvial tin deposits) and Australia

Operating Experience:

very good |————|————| bad

Environmental Impact:

low |————|————| very high

Suitability for Local Production:

very good |————|————| bad

Under What Conditions:

metal foundry

Lifespan:

very long |————|————| very short


when lined with wear-resistant rubber

Bibliography, Source: Kirchner, DBM

OPERATING PRINCIPLE:

Spiral separators vertically separate the feed slurry in the launder (channel) according to density differences. The heaviest feed particles fall to the bottom of the launder, where frictional forces slow their velocity. As a result, the slower, heavier grains are less subject to the centrifugal forces (generated by the flow of slurry through the spiral-formed channel) than are the lighter, faster grains higher up in the flow. This creates a horizontal density differentiation of the feed grains, with the heavy particles flowing along the inside walls of the channel, and the faster, lighter particles travelling higher up towards the outer rim. The discharge outlets are located on the inside of the channel for removal of the heavier particles (concentrate). Separation precision can be improved by adding additional water during the sorting process.

AREAS OF APPLICATION:

Production of concentrates or pre-concentrates from medium-grained Feed.

REMARKS:

The launders (channel) are made of rubberized cast-iron or cast-steel or, in more modern constructions, also of fiberglass or ceramic. The design involves numerous pipes for supplementary-water intake and discharge outlets, making the spiral separator a fairly complicated construction.

Critical construction parameters are: launder (channel) cross-section and spiral diameter, number of windings, inclination and number of discharge outlets.

Spirals of this kind were first manufactured by Humphreys in 1943.

SUITABILITY FOR SMALL-SCALE MINING:

The complicated pipe-system for input of auxiliary water and removal of concentrate makes the Humphrey's spiral less suitable for small-scale mining, although as a continual, non-powered sorting apparatus with high throughput it achieves good separation results.


Fig.: Distribution of mineral particles in the Humphreys' spiral. Source: Silva


Fig.: Humphrey's spirals left, Source: Kirchner, right, Source: Silva.

14.18 Spiral concentrator

Metal Mining, Gold Mining
Beneficiation, Sorting

engl.:

centrifugal spiral classifier, Reichert cone

germ.:

Wendelscheider, Reichertspirale Mark 6+7, Zentrifugal-Fallherd

span.:

concentrador en espiral, separador helicoidal, espiral de Reichert, mesa centrifuge

Manufacturer:

Mineral Deposits, AKW, Svalcor

TECHNICAL DATA:

Dimensions:

3.5 × 1 × 1 m HWD / Fiber glass PU coated

Weight:

43 kg (single channel) - 105 kg (triple channel)

Extent of Mechanization:

semi-mechanized

Form of Driving Energy:

hydrostatic pressure

Mode of Operation:

continuous

Throughput/Capacity:

up to 2 t/h slurry; up to 0.3 t/h concentrate

Operating Materials


Type:

water

Quantity:

40 - 80 % by weight

ECONOMIC DATA:

Investment Costs:

approx. 6000 DM

Operating Costs:

low

Related Costs:

possibly pumps for transport of slurry

CONDITIONS OF APPLICATION:

Operating Expenditures:

low |————|————| high

Maintenance Expenditures:

low |————|————| high

Personnel Requirements:

low

Location Requirements:

water and vertical elevation difference required

Grain Size of Feed:

0.03 - 2 mm

Special Feed Requirements:

depends on type of spiral, e.g., type LG (low grade) < 10 % heavy minerals

Recovery:

according to the Colorado School of Mines Research Institute, concentrates contain between 75 and 98% gold

Replaces other Equipment:

Humphrey spiral, sluices, buddies, fine grain jig

Regional Distribution:

worldwide for mining of alluvial deposits, chromite, etc.

Operating Experience:

very good |————|————| bad

Environmental Impact:

low |————|————| very high

Suitability for Local Production:

very good |————|————| bad

Under What Conditions:

difficult, fiber glass construction

Lifespan:

very long |————|————| very short


depends upon abrasiveness of the feed

Bibliography, Source: AKW, C.N. Robinson, Cziernioch, Gaetzschmann, EP 0075563, EP 0074366, EP 0123501, EP 149518

OPERATING PRINCIPLE:

In a 6-phase spiral, density-differentiated side-streams develop as the slurry flows: the heaviest material (concentrate) collects in the deepest part (inside rim) of the channel as a result of being slowed by frictional forces due to scraping against the channel bottom, the medium-dense grain fraction collects in the middle, and the lightest particles (tailings) concentrate at the highest, outermost portion of the channel. The latter grains have the highest flow velocity are are therefore mostly affected by centrifugal force (large radius, high speed). The three stream components are split apart by dividing blades.

AREAS OF APPLICATION:

Processing of pre-concentrate from:

alluvial gold-ore deposits
tin sands and primary tin ore veins
titanous sands (ilmenite, rutile)
zirconium sands
pyrite and other sulfides for leaching
gold from gold-quartz veins
scheelite
chromite

REMARKS:

In contrast to the Humphrey's spiral, this type of spiral (Mark 7) has a much simpler design, lacking the complex pipe system for water intake and concentrate discharge. The slurry flow is first divided into concentrate, middlings and tailings at the end of the spiral channel.

Several channels (2 or 3) can be combined to form a composite of nested spirals.

Gaetzschmann describes a precursor of the spiral concentrator: The centrifugal spiral, invented by Hundt in 1863, had a spiral with a 15° - 25° inclined channel which rotated around a vertical axis whereby the products were differentiated according to density and discharged into separate concentric catchment basins for concentrate (inside), middlings (middle) and tailings (outside).

The most modern design for Reichert cones is characterized by the channel shape which is relatively flat at the deepest point (where the concentrate collects) and becomes wider as the spiral continues downward. This results in a displacement of the separation boundary further toward the outer rim, where the increased centripetal forces have a greater effect on the material being sorted. Simultaneously, the depth of the slurry flow in the region of the channel where the concentrate flows is reduced, causing tangential waves to develop which in turn increase the separation precision by carrying lighter grains outward away from the concentrate region.

In the event that, in the deepest portion (Inner wall) of the channel, a large enough increase in slurry density occurs 60 as to disrupt the sorting process, wedge-shaped reflector or dashboards can be mounted onto the outer channel rim which cause the outer slurry flow to be sprayed evenly over the entire width of the channel (EP 123501).

SUITABILITY FOR SMALL-SCALE MINING:

In poorly mechanized operations, the Reichert cone provides a good opportunity for increasing the efficiency of pre-concentrate production from heavy-mineral feed. Despite comparably high investment costs, it remains suitable for small-scale mining application.


Fig.: Centrifugal spiral, a precursor of the spiral separator. Source: Gaetzschmann.


Fig.: Illustrations of spiral separators: above, left: Triple spiral; above, right: Spiral separator with varying channel channel diameter; below: Dividing plates (splitting devices) for withdrawal of products. Source: Patent No. EP 0075563 and No. EP 0074366.

TO PREVIOUS SECTION OF BOOK TO NEXT SECTION OF BOOK