Back to Home Page of CD3WD Project or Back to list of CD3WD Publications

CLOSE THIS BOOKAmaranth to Zai Holes, Ideas for Growing Food under Difficult Conditions (ECHO, 1996, 397 p.)
1: Basics of agricultural development
VIEW THE DOCUMENT(introduction...)
Background in agricultural development
VIEW THE DOCUMENT(introduction...)
VIEW THE DOCUMENTNature of small-scale tropical agriculture
VIEW THE DOCUMENTSome common problems
VIEW THE DOCUMENTSteps toward improving small-scale agriculture
VIEW THE DOCUMENTSummary
VIEW THE DOCUMENTBook reviews
Selecting suitable tropical crops
VIEW THE DOCUMENT(introduction...)
Technical note: selecting the right crop for your location in the tropics or in the subtropics
VIEW THE DOCUMENT(introduction...)
VIEW THE DOCUMENTIntroduction
VIEW THE DOCUMENTPrincipal factors determining crop potential
VIEW THE DOCUMENTPrediction of suitable crops
VIEW THE DOCUMENTTable I. Ecological or life zones of the tropics, sub tropics, and warm temperate zones
VIEW THE DOCUMENTTable II. Annual crops (or perennial crops grown as annuals) - climatic needs crop : rainfall - temperature - other considerations
VIEW THE DOCUMENTTable III. Important perennial and tree crops climatic needs
VIEW THE DOCUMENTTable IV. Suggested crops for specific climatic zones
VIEW THE DOCUMENTDiscussion
VIEW THE DOCUMENTAppendix I. Maximum ecological amplitudes for some tropical crops
VIEW THE DOCUMENTTechnical note: Comparison charts of tropical crops
VIEW THE DOCUMENTWhat seed would you take to an uninhabited tropical island?
VIEW THE DOCUMENTHow can I garden in the hot humid tropics?
VIEW THE DOCUMENTResource centers for agricultural development

Amaranth to Zai Holes, Ideas for Growing Food under Difficult Conditions (ECHO, 1996, 397 p.)

1: Basics of agricultural development

There are certain basic and important questions we receive which are so encompassing that we cannot answer them in a personal letter. One such question is, "I have just begun work in this country. My degree is not in agriculture, but I want to help local farmers. They know much more than I do about farming in this area, but there must be some ways to make improvements. Where do I begin?" This chapter gives a framework of theories and ideas on getting started in agricultural development, guidelines for selecting crops and innovations, some resources to assist you in the field, and a model for experimental work in your community.

Background in agricultural development

TECHNICAL NOTE: A GUIDE FOR BEGINNERS IN SMALL-SCALE TROPICAL AGRICULTURE by Dr. Franklin W. Martin, a researcher and consultant on small farming systems in the tropics.

You want to help people in the tropics. Beautiful! The tropics are waiting for you. No matter what your abilities, you can offer your service to others in the tropics. Your concern for the physical and spiritual well- being of people can be translated into fruitful work. Your first asset is your goodwill, your willingness to serve.

As you begin to get acquainted with the tropics, you will find that common problems include the production and use of food. Among the poor, those that most need your help, obtaining one's daily bread is a constant concern. This is not only a question of eating. It is first a matter of production, second of distribution and storage, and third of preparation of meals and balancing of the diet. It is highly probable that when you arrive in the tropics you will not have all the knowledge you need of food production and use in order to help tropical people with their priority needs. It does not matter what experience and training you may have had in your temperate homeland; you cannot be fully prepared in advance. This is normal, and do not let it discourage you. Frequently, however, to accomplish your purposes you will need to help others with their needs to produce and use food better.

The tropics are different from the temperate zones. While in theory it might be possible to produce food crops all year round, in reality a wide range of biological and social factors determine what crops are produced and during which seasons. The soils are formed by different processes than those of the temperate zone. They tend to be acidic and heavy, with low natural fertility; but there are numerous exceptions. Day length is short during part of the year, but never as short as in the temperate zone during the winter. Day lengths are longer 6 months later, but never as long as in the temperate zone during the summer. Many tropical plants are very sensitive to length of day, and flower in response to small differences.

Time and length of the rainy season vary, making some climates very dry while others have regular rains almost all year. The most common weather pattern in the tropics is the monsoon, characterized by drought during short days and rain during long days. Tropical crops are often distinctive from the crops of the temperate zone, but even when they are the same, the varieties are almost always different. The methods of producing them are highly varied, but usually include small-scale techniques. Even the layout of the garden is different, often an irregular and undisciplined mixing of trees and vines with mostly perennial vegetables. Add to these differences those due to local custom, food preferences, and personal preferences and you will quickly understand that the tropics are not like home.

This is a problem only if you make it so. If you try to teach in the tropics the patterns and customs that you are familiar with, you will almost always fail. Therefore, your task will be first to learn the techniques that local people are already using. In so doing your respect, understanding, knowledge and abilities will grow, and you will pave the way towards improvement of the local techniques. It can help you become a small-scale food production expert.

Nature of small-scale tropical agriculture

The scale of agriculture in the tropics ranges from the small household farm to very large farms. Tropical agriculture is usually labor-intensive, seldom machinery-intensive. Large farms, sometimes called plantations, are often concerned with production of crops that can be exported. Large and medium-sized farms are always concerned with sales and making a profit.

On the other hand, small-scale agriculture has a double purpose: subsistence (feeding the family) and marketing (cash or barter). Food which is produced on the subsistence farm is itself a savings in that income need not be expended. However, subsistence is more than just a way of life. It is often the only alternative that a family has. The food produced on the small farm is often not just a financial matter, but also a matter of life or death. This is the reason that some small farmers seem to follow traditions rigidly and resist change. The price of a mistake may be too high.

The crops grown on the small tropical farm are usually basic subsistence crops: grains, legumes, roots and tubers. These crops often are the best crops to grow to sell, for they are the crops used in great amounts by others. Often very little attention is paid to fruits and vegetables. Fruits are often neglected because they are so abundantly produced, at least during their season, that they are available to most and surpluses are difficult to sell. Their value in the diet, chiefly in terms of vitamins but sometimes carbohydrates and oils, is seldom appreciated. Vegetables, as known in the temperate zone, are produced even less than fruits, but there are many exceptions to this rule. European vegetables are often unadapted, but can be produced in the highlands, during the cool season, or when varieties adapted to heat or other specific conditions are available.

There are many tropical vegetables that are seldom if ever seen in the temperate zone. Newcomers to the tropics do not recognize them and may wrongly assume that the local people do not grow vegetables. Many of these are the young and tender leaves of shrubs and trees. Some are wild but protected, and others are conscientiously planted. Any one of them is likely to be many times more nutritious than civilized lettuce. Some tropical vegetables have many edible parts including young leaves, shoot tips, flowers, tender pods, immature seeds, dried seeds, and roots or tubers. People often know these other uses of local vegetables, while they may be unaware of many uses of introduced plants.

When starting out, experimentation with very obscure tropical plants is not advisable. The properties of most plants that have a great deal of potential for the small farm are known and described somewhere (though often in hard-to-find publications). The first place to start is always by learning from local people. Then you may also look for plants which may be unknown in your location, but are important in other parts of the world. You can learn about many of these plants through ECHO Development Notes, and seeds for many of them are available from ECHO's seedbank. But remember, learning from local people is always the best way to start.

Small-scale tropical agriculture is also characterized by small amounts of available resources, especially purchased inputs. While labor tends to be abundant, it might be committed to other tasks. Purchased fertilizer or pesticides might be out of the reach of the small farmer. Some small farmers may lack even the most elementary hand tools. Techniques you introduce should ideally be capable of reaching the people with few resources, and yet afford opportunity to those who can take advantage of more advanced technology.

It is appropriate here to discuss what some consider a resource: credit. Indeed, there are many places where agriculture is deemed impossible without credit. As a general rule, the larger the farm, the more easily credit can be obtained. Yet, credit implies an obligation. Farmers, small or large, assume an obligation every time they accept credit. The obligation is hard and absolute, while the ability to pay is soft and full of risks. Small farmers are usually better off when they do not resort to borrowing. Without borrowing the farming risk is the same, or less, and the profit is the same or greater. You must decide whether credit is a resource or liability.

Tropical agriculture on a small scale is an adaptation. In many respects it is the result of an evolutionary process, the growth and change of small farmers in response to the physical and social environments they face. Change is a never-ending process. Agriculture may need to change rapidly sometimes, or not at all at other times. The techniques of small-scale agriculture should not be considered primitive, but as adaptations to reality. They should not be considered sacred and unchangeable either, because change is inevitable. Change represents opportunity: for innovation, for experimentation, for winning cooperation, and for bettering life physically and spiritually.

Finally, small-scale tropical agriculture represents an integration. In the sense used here, integration is the use of one resource to stimulate the production of an "unrelated" output. As simple examples, integration might be the use of crop residues to increase animal production, and the use of manures to increase crop production. Integration is a way of maximizing outputs (food for the family, farm products for sale, etc.) and minimizing inputs (purchase, labor). Integration on small tropical farms is often lacking even when possible. Integrating is one of the easiest ways to contribute to the welfare of the farm family, and may cost no more than some thought and discussion or demonstration.

Some ideas for integrating activities include:

1. Use of moveable cages where animals might feed on and destroy weeds, scratch the soil, and deposit manure in garden areas. This can be done with moveable cages on tethers.

2. Restraining chickens from household gardens.

3. Use of crop residues as litter in animal cages, and subsequent use as compost.

4. Weed control with mulches that are later incorporated into the soil as compost.

5. Off-season green manuring with appropriate species.

6. Disposal of human waste in deep pits, later planted to trees.

7. Use of crop residues as fuel, as building material (roofing, etc.), and as clothes.

8. Use of animal furs or skins as clothes and shoes.

9. Location of small animal cages and outbuildings under fruit trees.

10.Use of ashes as fertilizer and in soap making.

11.Use of trees with edible products as fence posts. Rat control with poisonous seeds of fence trees (Gliricidia sepium).

12.Uses of crop plants for a variety of compatible uses.

13.Location of farming facilities to permit labor saving.

14.Planting crops taking into account the amount of family labor that will be available later.

In most cases farmers have integrated many aspects of their operations. However, on almost all farms there are still opportunities to be discovered. Integration cannot be practiced until all elements of the farmers' systems are understood!

Some common problems

Water. Water is almost always a problem with small-scale agriculture in the tropics. The availability of water will determine what crops can be grown and at what seasons. However, availability of water to the plant is conditioned by many factors, especially the nature and treatment of the soil. Water management is complex, and therefore only generalities can be given in this publication.

Excess water can damage crops by flooding (excluding oxygen from the soil), loosening roots followed by lodging (falling over) of plants, leaching away nutrients, eroding soil, stimulating weed growth, and making work in the fields difficult. The first solution to excess water is to reduce its effects by providing better systems of drainage (ditches, furrows, or planting mounds).

Lack of water is a constant problem. One solution is to use irrigation. If this cannot be done, loss of water is partially controlled by plowing, terracing, use of pits to capture runoff, mulching, incorporating organic material in the soil, etc. Drought requires the use of appropriate crops (millet is more drought resistant than sorghum; sorghum more than corn). Some crops have drought-resistant varieties. Some soils retain water so well that certain crops can be planted and grown to maturity after rain ceases, without addition of more water. You can expect that small farms will need water management systems to maximize production.

Weeds. Weeds are a major problem on every tropical farm, large or small. As living plants they compete with crop plants for space, light, water and nutrients, and thus reduce yield. Furthermore, they usually produce their seeds before cultivated crops do, and thus assure their future. Seeds of many species live for years in the ground, and cultivation to destroy existing weeds brings previously buried seeds to the surface where they can germinate. Weed control is a major subject. A brief guide to weed control has been printed by ECHO and is available by request.

The major goal of weed control is to reduce the competition with cultivated crops. The elimination of weeds from a field is impossible. Often when one pesky species is controlled, another arises to fill its niche. Practical control is achieved through one or a combination of methods, which might include reduction of germination, reducing the growth rate, or killing the weed during its growth.

It is almost always possible to improve weed control on the small farm. Better weed control will almost always improve yields. Yet, you should be aware that weeds can be tolerated in some situations. It may be uneconomical to control them, especially if they are few in number, not very competitive, or only present as the crop is maturing. A good rule for the time of control is as early as possible.

Soil Fertility. Problems with the fertility of the soil almost always occur on the small tropical farm. Only on those farms of exceedingly rich soil where primary or secondary forest has been cut does one occasionally find fertility that cannot be improved. Soil fertility problems vary in terms of nutrients that are lacking. A soil analysis may be helpful, but is often not adequate. It will not measure other equally important factors such as the availability of nutrients that are present (this is determined in part by the form in which they are held), or the texture of the soil. It appears that the field is very complicated, and it is! The best analysis of the soil may be a small-scale trial of its ability to support crops.

Nevertheless, some very important generalities can be made. No matter what the nutrient problem of the soil, improvement can be made by the addition to the soil of organic material (any refuse from dead plants and animals). This material is best if first composted (rotted by fermentation, producing heat). This is feasible in the home garden, but may not be feasible on the farm. Useful results can be obtained when the organic material is mixed into the soil, or even when it is applied as a deep layer on top of the soil. For best results large amounts are needed. It is difficult to apply too much. The most useful organic material is animal manure. Crop refuse often contains abundant carbon, but little nitrogen. Applying some nitrogen in the form of manure or as chemical fertilizer is desirable. Growing of a crop that can later serve as organic material (green manure crop) is often good practice. The best of such crops are legumes, including the vigorous velvet bean and lablab bean.

Where sufficient organic material is not available, mineral fertilizer will almost always improve yields. When no guidelines are available, equal parts of nitrogen, phosphorus, and potassium can be used. The first 100 kg/hectare gives the most dramatic response. Since crop growth may be limited by factors other than fertility, very high rates (e.g. 1000 kg/hectare) are seldom economical on the small farm. Too much mineral fertilizer, especially nitrogen, may even reduce crop yields. It will result in crops that are too soft, have few roots or tubers, or are susceptible to drought.

Appropriate Species and Varieties. Newcomers in a rural area often try to help local people by quickly introducing something that they know to be useful through their previous experience elsewhere. This is such a common error that each would-be reformer or teacher must be on guard for this mistake. Techniques developed elsewhere often do not work out when transferred to another area. New crops are often ill-adapted or not culturally accepted. New varieties of an acceptable crop may fail for numerous reasons. Nevertheless, often the introduction of a better variety of an already commonly used crop will dramatically improve the welfare of the people. It is appropriate to look for innovations. Just remember that all innovations must be carefully tested in the immediate area.

The testing of a new variety can be very complicated or very simple. The simplest approach is to grow the new variety alongside the old, using the same techniques for both, and to harvest, eat, sell, and store both with the farmer, who will rapidly discover which is better. A more advanced approach is to become familiar with what other agencies are testing or developing, and test these materials first.

An even more complicated task is to describe the deficiencies of the existing varieties with the production systems, and to seek the advice of an expert. Often a newcomer will see a problem without understanding it. Low yields, for example, can be caused by a large number of factors. Very high yields are utopian, and may be achievable only when all growing conditions are maximized or all limiting factors are controlled. You may never achieve the maximum, but with improved techniques and better varieties, you should be able to improve yields. What should you do? Proceed cautiously. Find out what has been attempted. Find the rationale behind existing varieties and techniques, and then proceed with caution. Look for new crop varieties first from the agricultural experiment stations and departments of agriculture in the region or country, and from your colleagues in similar situations.

Finally, crop adaptation is often very location- and technique-specific. Changes of area and of technique may change the variety desired. There is no end to the development of new techniques or the testing of new varieties. Don't expect to reach perfection, but strive for improvement.

Pests and Diseases. Every crop plant has its pests and diseases. While the crops, their pests, and diseases may be different in the tropics, the principles of control are about the same. These are mentioned in ECHO's document "Control of Weeds, Insects and Diseases on the Small Farm or Home Garden." Pests and diseases may limit the production of a given crop in a particular region. When resistant varieties are available, their use is usually the most satisfactory and least expensive control. However, resistance cannot be obtained for many crops.

The use of chemical controls has many disadvantages: danger to the user and to others, possible contamination of the farm, killing of beneficial insects, and increased costs. Very often partial control can be achieved by changes in the method of production or cultural practices. Usually farmers know something about these conditions, but may not have developed an integrated approach in which all knowledge available is incorporated into the system of control. There is great opportunity for progress on the small tropical farm through control of diseases and pests. Quite often the disease or pest problem occurs after harvest; thus special knowledge of appropriate harvesting and post-harvesting practices is important.

Interaction of Agriculture and Human Welfare. Agriculture on the small tropical farm is intimately related to the health of the farm families. Both ignorance and custom, as well as lack of food or facilities, may interact with farming plans, food produced and methods of use. A knowledge of good nutrition and good hygiene is desirable if farm families are to be helped. A newcomer who chooses to accept local customs uncritically may literally die. By example and by teaching, families can be taught the basics of nutrition and hygiene.

Nutrition. Farm families often fall far short of eating balanced diets of the four basic food groups (meats and eggs, milk and milk products, breadstuffs, and vegetables and fruits). In the third world, three kinds of malnutrition are evident, often combined: protein, carbohydrate, and vitamin and mineral. Ample information is available in this field and often is printed in the local language and is related to local custom. Publications are usually available from local government agencies.

Attacking only part of the nutritional problem is seldom the solution. An integrated approach is almost always necessary, including growing the right foods, producing animals, and using the foods rightly. Sometimes good nutrition involves introducing foods into the diet that are not customarily used. This is often difficult because people do not change their preferences easily. Sometimes the new food can be incorporated into traditional dishes. Sometimes acceptance begins first with the children.

Some of the crops or foods with great nutritional promise are high-lysine corn (also called hard endosperm opaque-2 corn) which is useful for its balanced amino acids, leaves of many kinds for vitamins A and C, new legumes for protein (including white in place of colored beans), soybeans for soybean milk, seeds of heavy- seeding squashes and their relatives for protein and edible oil.

On the other hand, rural peoples of the third world often eat more than enough starches, and thus might consume too many calories in relation to oil, protein, vitamins, and minerals. This is often because such foods are readily available. These people may need to adopt new dietary habits for a healthier diet.

Hygiene. The life span of rural people is often shortened due to poor hygiene. Dehydration of babies due to diarrhea is a major problem in the third world. Some of the basic problems in hygiene are the following: Pigs and chickens distribute their excrement throughout the yard, and thus parasites and intestinal infections are common. Personal hygiene (use of toilet or latrine, bathing, washing before eating) may be difficult, impossible, or neglected. Proper precautions may not be used for preparation, storage, or consumption of food. Water for drinking and bathing may be contaminated. Disease-bearing pests may be present.

In advanced countries, the normal practices followed for good hygiene are so common that their essential nature is overlooked. It is dangerous to assume that rural conditions are equally valid alternatives. Good hygiene is always desirable and often will make a life-or-death difference.

Family Economy. Farm families, like many others, need money. The lack of money often leads to poor nutrition. A pig on a small farm may be saved to sell when there is great need. The eggs are collected not to eat, but to sell. Crops are grown which have a market, not for their nutritional contributions.

A good farming system integrates crop production (food, feed, fuel), animal production, and making money, with preserving and improving health. (Growing vegetables for a cash crop can sometimes increase on-farm vegetable consumption because there are so many nutritious but not marketable culls.)

Steps toward improving small-scale agriculture

As with many good things in life, improvement of small-scale agriculture is not easy. Since every region (and indeed every farm) is distinctive, there are no automatic solutions to the improvement of agriculture. Nevertheless, from the experience of many persons, a few principles can be instilled as follows:

Literature. Agriculture requires information. Follow this document with other publications that teach principles. Be sure to obtain a subscription to ECHO Development Notes (free for those who work overseas with small farmers) and your own copy of this book, plus back issues after EDN 51. Enrich your library with publications of the country or region in which you will serve. Be cautious with information developed for other regions or countries with different soils, climates, and social-economic conditions. Do not believe that miracle solutions can be found or that any publication will solve your problems. Information is like a set of tools to be used judiciously.

Diagnosis. The first step in improving rural agriculture is to ask the right questions so as to arrive at a diagnosis. These may include the following, and others: What land is available, and what are its limitations? What crops are grown, during what seasons, with what techniques, and with what results? How are the crops harvested, stored, transported, and used? What crop residues remain, and what is done with them? What animals are produced on the farm, using what techniques? What is done with the animals and their by-products? What do people eat? How is food prepared and stored? What parts of the diet are inadequate? How does this change with time of year? How does animal production interact with human welfare? What do people buy, trade or share? Where do they get the money? What markets exist for new products? What purchased inputs are available (tools, mineral fertilizers, fungicides, etc.)? What is the health of the people? What are the social and economic factors influencing distribution and marketing? What is the infant mortality rate and the life expectancy? Does the diet appear balanced? From what diseases do people suffer? As answers are compiled, you will form an impression of the fundamental problems in the community. In addition to general problems faced by everyone, there will be idiosyncratic problems belonging to specific families or persons. Some decisions will need to be made about the most important problems to be attacked as well as their root causes. The fundamental problems may not be agricultural.

Selection of Alternatives. From this point, the discussion will concern only agriculture, the theme of this article. While other problems are too numerous and complex to be discussed here, they merit equal or perhaps greater concern.

From the diagnosis of the agricultural situation, plan several alternatives. The closer the alternatives are to current practices, the more likely they will succeed. Select rational alternatives, based on knowledge and previous experience if possible. They may have experimental aspects (in the sense that one can never be sure of the results). By organizing alternatives that address real problems as the people perceive them, chances for success are enhanced. Some of the alternatives may be...

A new crop, a new variety
An improved system of soil preparation
A different season of planting
A changed physical arrangement of the plants
A better way of fertilizing
A better nursery (if the crops are transplanted)
A new way to control weeds or pests
Improved harvest or storage
Better ways of food preparation
New uses of crop residues

Similarly, additional alternatives may be sought for the animal component of the farm.

Testing Alternatives. Try selected alternatives first in plantings completely managed by the innovator. These plantings could be in schools, churches, backyard gardens or rented fields. Test alternatives alongside plantings which use the farmers' technology. As soon as possible, involve farmers in testing alternatives alongside their own plantings. The same principles are applicable if the alternatives include storage or cooking techniques or any other aspect of production and use of food. Trials should be made for comparisons before new technology is introduced to farmers or cooks. If the alternatives require new markets or marketing techniques, these should also be worked out before the alternatives are presented to farmers.

In normal practice, a foreign innovator is closely watched. It is a serious error to introduce a technology that is not a significant improvement. (However, you should expect some disappointing results along with successes on your personal trial plots!) On the other hand, successful aspects of a technology (successful alternatives) will be watched and tried by others.

Verification in Farmers' Situations. Even when new alternatives have been demonstrated to be successful they must be verified in the hands of the farmers. Farmers will put them into use in their own way and will find strengths and weaknesses not obvious to the innovators. These verification trials allow farmers to adapt and adopt innovations useful for them. A grassroots approach is the most useful in the spreading of innovations; but as acceptance becomes generalized, new doors may be opened for more formal training in agriculture, food processing, nutrition, and hygiene.

Relating to Local People. While learning about a new culture it is not necessary and may, in fact, be undesirable to practice wholehearted local rural ways. You may wish to dress, eat, and balance the diet, practice hygiene, and comfort yourself in your own way. But, private and personal practices which are so important to you may not be appropriate for the people around you. The virtues of tolerance, understanding, and appreciation ought to be your guidelines at every step of the way. You will undoubtedly find that those you work with are loveable and will love you.

Summary

The Best Ways To Help A Small Farm: Become acquainted with what people do, diagnose first, select alternatives, try them out in small experiments-first under your control and then progressively with farmers. Promote that which proves to be better. Never give up, because improvement is always possible.

THE CHALLENGE OF AGRICULTURAL MISSIONS: Notes from ECHO's staff. Doing agricultural missions is not an easy task. Many mission agencies with projects in evangelism, health, education, water, sanitation etc. hesitate to add agricultural projects to their program. Why? Because it is often much less clear what they should do to have a major impact in agriculture than it is in these other areas. It has been said that if you can provide clean drinking water and build latrines you take care of up to 80% of a village's health problems. Likewise, medicines already exist to treat most of the diseases in the developing world. But, if a community is "sick" due to the poverty of farmers, it is much less clear what should be done.

Requirements for a satisfactory agricultural project include the following: It must involve only minimal risk to local farmers who are already living on the edge. It must be something they are not already doing. The plants or innovations should be suited for local conditions, culturally appropriate, and address a felt need among the people. It should not exceed realistic labor and time investments for the users. It should make such a major difference that farmers will readily adapt the innovation on their own. And, it must have a ready market (or be liked as food locally) if it involves sale of a product.

It is almost impossible to meet all of these criteria and some projects have failed miserably. But, there have been successes and well-prepared agricultural missionaries are still needed. Below are a few ideas to keep in mind for designing a successful agricultural project. The list is not all-inclusive, but these are points that come up over and over again.

Be committed to the people and the work. Effective change takes time. Get to know the people and understand their needs. Live with them, learn their language and culture. Earn the right to help them. Cultivate your powers of observation; keep your eyes open. Go as a learner, see why people do things the way they do (most things are done for a reason, even if it seems foolish to you at first). Practice humility and listening. Admit when you are wrong, and expect good ideas to come from local counterparts. Be flexible, as you may become involved in more than you expected. You may find yourself involved in agriculture, regardless of your background in food production or skills and responsibilities in other areas.

Nationals, the people from the communities, must own the project. If they are not involved in every aspect from start to finish, your work will not effect lasting improvements. Use local resources and technologies which are appropriate. Do not do for the farmers what they can do for themselves. As far as possible, they should provide the labor and materials needed. Teach folks to teach others and do not make yourself indispensable. You will not be there forever. All this helps people keep their dignity, avoid dependency, and assure sustainability. Whenever possible work with the government and leadership, not against it.

Identify a few important technologies and test them. There are a lot of technologies which have already been proven in a particular setting. These are well worth a trial in similar circumstances, but nearly everything will require some adaptations to the local situation. A good approach might be to start by promoting a good idea from one area of the country or world in a new area, and work with it until it is recognized as an improvement. Be patient. We visited missionary Bob Ekblad in Honduras who rented the worst piece of land on a very visible hillside along a well-travelled road. People thought he was crazy to try to farm such poor, steep land, but after watching the contour ditches and other soil improvement processes work effectively, they adapted and adopted these practices and soon enjoyed reduced soil erosion and much-improved yields. Even some abandoned fields were brought back into production.

Sometimes you may be called upon to develop a new technology from scratch. If so, be prepared and committed to adapting and promoting the idea over the long term. Joshua Tsujimoto, who developed a raised bed mini-greenhouse system for out-of-season vegetable production in Bangladesh, tells how farmers laughed at him and suggested that they would benefit more if he were sent home and his missionary support divided among the people. But after many years of trials and errors, he developed a very workable system for people to produce vegetables in the rainy season when no one else can, thus greatly increasing their incomes. Persevere.

Expect frustration. We once read that a farmer in the Philippines was able to multiply his cash income 15 times by planting disease-resistant tomatoes. But he declined to plant them again because of social pressures from his less successful family and neighbors. Resist the temptation to become cynical or overly critical when reactions to your efforts are not as you had hoped. We have also heard over and over of plants which succeed brilliantly in one area or season but fail miserably in another. Anticipate such problems.

Start small and be an experimenter. Identify naturally innovative farmers in your area and work with them. Do not be overeager to convince many farmers to implement ideas you have not tried personally or locally; in doing so, you may inadvertently do more damage than good and lose respect in the community. Keep things simple. Truly good ideas will often spread themselves without elaborate promotion.

ECHO's role is to help you find technical ideas to try. You must evaluate which innovations hold potential for your area, and weigh the risks and benefits of introducing these ideas in your community. This book will not teach you the process of community development; it is meant as a resource for people seeking ideas with potential to improve the life of small farming families. But this process of development is essential, and we encourage you to consider the social, cultural, and spiritual aspects of your work alongside the technical part. A few books which deal with the development process are highlighted below.

Book reviews

TWO EARS OF CORN AND OTHER WORLD NEIGHBORS MATERIALS. We have had countless occasions to recommend Two Ears of Corn: A Guide to People-Centered Agricultural Improvement (250 pp.) by Roland Bunch since it was published in 1982. Those of you with minimal experience and reading in the area of community development could find it revolutionary. The rest will find it helpful, as well as a good introduction for those coming to work with you. If you have not read a book such as this I would put it in the must read category. The needs around you are too great to ignore them just because you are not an "expert." But there is great wisdom in learning what you can before moving ahead. We arranged for a copy to be sent to John Douglas in Zambia after he asked our comments on some interesting agricultural projects that he was beginning. He wrote back, "I don't think I have ever read anything that had such a practical grasp of both village problems and solutions. I can already see that the book will make a difference in the way we carry out our program."

The book is divided into 5 sections: (1) General orientation (2) Getting started (3) Choosing and using technology (4) Administration and (5) Expansion and Consolidation. Here are some selected chapter headings: The program goals; the program area; planning; start slowly, start small; limit the technology; choosing an appropriate technology; small-scale experimentation; teaching the technology; employees; supporting services; evaluation and phase-out; multiplying our efforts; building institutions; integrated programs. I especially appreciated the chapter on small-scale experimentation because this is at the heart of much that ECHO does. The author shows that it is possible to find new and better methods or resources with your own experiments and by involving the farmers in experimentation.

You can order the book in English, French, or Spanish for $7.95 each plus $7.50 airmail postage from World Neighbors, 4127 NW 122 St., Oklahoma City, OK 73120-8869, USA; phone 800/242-6387 or 405/752-9700; fax 405/752-9393. Orders for 10 or more receive a 20% discount. Other organizations have also translated it into Indonesian, Vietnamese, and Portuguese; while these languages cannot be ordered from World Neighbors, they can give you the addresses to contact.

World Neighbors also has an excellent catalogue of filmstrips, videos, and printed materials designed to be easily understood by village audiences. The materials are practical and relevant for communities, and can be used for training extension workers. Many of the filmstrips are available in English, French, Spanish, Portuguese, and Hindi. Topics include specific areas in community development, health and nutrition, family planning, small animal raising, and agriculture, trees, and soil conservation. A few filmstrip titles from the latter category are "Planting cultivated pastures," "Fodder trees," "In-row tillage," "New dryland farming technology," "How to take soil samples," "Using the A-frame," "Quinua: protein for the highlands," "Growing mushrooms in tropical climates," and "The use of velvet bean to improve cropping land." A few projectors and accessories are available through them as well. Order the catalog from the above address.

PEOPLE IN RURAL DEVELOPMENT (228 pp.) by Peter Batchelor, veteran agricultural missionary in Africa, is an excellent, thoughtful book on Christ-centered agricultural development. Chapter titles include: People First, Getting Started, The Church and the Rural Poor, Good Stewards, Classroom and Fields, On the Job Training, Health the Key, An Appropriate Response, Whole Families, Workers, Ownership, Working Together, and God and Development. Contact the Paternoster Press/STL, P.O. Box 300, Kingstown Broadway, Carlisle, Cumbria CA3 0QS, UK; fax 0228 51 49 49.

PARTNERS WITH THE POOR (158 pp.) by Jerry Aaker is subtitled "An emerging approach to Relief and Development." The author writes a personal journey through 25 years of international service with church agencies, tracing different trends in assistance, education, relief, and transformation. It is a fine resource for those who wish to examine different theories and issues in development. Order from Friendship Press, P.O. Box 37844, Cincinnati, OH 45222-0844, USA ($12.95).

SOYBEANS AND THE KINGDOM OF GOD: AN APPROACH TO HOLISTIC MISSION (159 pp.) by Sharon Soper recounts her work with developing and promoting soybean flour while serving as a nurse in Bolivia. She discusses how holistic theology of God's kingdom, culture change, and value differences related to the technology of introducing soybeans into the diet. Available from Evangelical Mennonite Mission Conference, Box 52059, Niakwa P.O., Winnipeg, MB, CANADA R2M 5P9; fax (204) 256-7384; Cnd$13 in Canada, US$11 in USA, and US$13 International, postage included.

"COMMUNITY DEVELOPMENT AND CHRISTIAN DISCIPLESHIP: The Wedding of the Great Commandment and the Great Commission" by Gary Hipp offers a brief introduction to an effective relationship of Christian faith and works in a development situation. Contact Mission: Moving Mountains, P.O. Box 1168, Burnsville, MN 55337-1168, USA.

Selecting suitable tropical crops

THE MOST-ASKED QUESTION. What question do we receive the most frequently from ECHO's network? Easily it is some variation of, "What crops can people consider for the region where I work?" This is usually followed by some description of climate, soils, etc. Often some especially difficult condition is outlined-too much or too little rain, farms that are too small, steep, rocky, hot, infertile, swampy, or remote.

This is also one of the most frustrating questions to try to answer. We asked Dr. Frank Martin to put together something that would help you answer the question for yourself. He found it the most difficult assignment we have given him. "It should be possible to characterize soil and climate so that areas that are similar, even though widely scattered, could use the same technology. In practice this has proven very difficult." He knows of two large projects which tried to accomplish this, but neither turned up anything that appears to be useful. "The old- fashioned technique of a variety trial is still the best method to determine the value of a particular crop for your region."

The article that follows contains three levels of complexity. In one table, the most complex, he pulls together 140 crops, including both annuals and perennials, and vegetable, field and fruit crops. It will be useful as a rough screen to chose or eliminate crops you might consider. Other tables list several plants based only on rainfall amount and distribution and on temperature. No attempt was made to prepare an exhaustive list. For each of these climates, he has chosen several useful and probably familiar plants that would be well worth a try.

Technical note: selecting the right crop for your location in the tropics or in the subtropics

by Dr. Franklin W. Martin

Introduction

"What crops can I grow?" Consultants in tropical agriculture often receive letters from Peace Corps volunteers, teachers, missionaries, students, and those who have followed their careers to the tropics, with the question, "What crops can I grow?" Leaders and literate farmers often look for new alternatives to basic crops that do not bring in the income desired and write, "What other crops can I grow?" Conscientious persons from the developing world, and even from academic institutions in the United States ask the same question. Choosing the right crop or crops for a particular place is a common problem, and the information necessary for answering the question is not widely available or easily found. Knowledge of agriculture tends to accumulate in regional pockets that represent ecological zones. While the majority of those that write may understand their own area quite well, they are much less familiar with the broader situation or the whole of the tropics and subtropics.

Improvement of Local Agriculture. Quantity and quality of agricultural produce, and usually the diversity as well, can always be improved. However, it is a mistake to assume in any situation that improvements are easy. Agricultural systems represent biological, socio- economic, and technical evolutionary adaptations to particular ecological systems. Agricultural systems are followed because they work under the local circumstances, or at least they work better than easily visualized alternatives.

It is sometimes relatively simple to improve the technology of third world agriculture, yet investigators are often puzzled why the technology is not readily adopted by farmers. Usually the answer is in the socio-economic aspects of the system, which are frequently overlooked. In highly technical systems, yields and quality might already be high. Improving such agriculture is like shooting at a moving target, hard to achieve a hit.

Traditional approaches to answering the question. The most obvious and useful technique to answering the question, "What crops can be grown?" is to observe and talk with local farmers. They are wealthy in appropriate technology with deep and sometimes almost poetic understanding of their particular crops and production systems. Following farmers' techniques, especially those of farmer-leaders or farmer-innovators, one is practically assured of a crop. Yet, farmers have their roots in tradition. Even excellent farmers may be unaware of what farmers do in an adjacent valley or region. They may not know of improved varieties or technological advances. They will seldom be aware of the world situation, or at times even the local market, and how it affects their crops. Thus, the expertise of farmers is valuable but limited.

A second source of information is that of agricultural statistics. While few countries have as extensive a system as that found in the United States, all countries maintain some records of production, and these clearly show what crops are grown, and usually what acreage and what yield. If a crop is already grown in substantial quantity in a region, then you can be sure it is a crop that not only can be grown, but that can also make money-and that it can be improved.

A third technique is to talk to the local agricultural agent, or, if possible, the nearest agricultural extension office or experiment station. The structure of the system developed to help local agriculture varies, but these people have some knowledge of the crops of the region. They will know which crops the government emphasizes (usually the money makers) and often the improved varieties and technology. Do not underrate them and their potential answers to your queries. While the above traditional sources of information may not be adequate, it would be foolish to start any serious long-term endeavor without consulting these sources.

A fourth technique is to observe the wild plants on the land as an indication of what crops can be successfully produced. This technique has not been developed to the extent that it would be a useful tool, and has as a disadvantage the requirement of special knowledge of the flora. Furthermore, in some regions the original native flora has been destroyed.

An integrated approach. This kind of approach tries to use local, national, and internationally available information to answer the question. The ecological situation is emphasized here. If one can learn to distinguish ecological zones and learns the ecological requirements and preferences of crops of the world, then one can match crops with zones with a high degree of confidence that a given crop can be grown in a given locality. But, even so, always remember that there are other questions to be asked.

Principal factors determining crop potential

The principal factors that determine crop potential are both internal (genetic) and external (environment). Not only do species of plants vary with respect to their genetic potentials and responses to environment, but even within a given species different varieties or different individuals are distinct in adaptation.

Availability of water. Water occurs everywhere, including in the driest desert. Nevertheless, not all water is available for plant growth. For example, water in the air is not available to most plants. Since almost all crop plants grow in the soil, water availability for practical purposes is the water available to plants in the soil. When excess water falls on the soil, a part may run off even before it can enter, and part of that which enters will be held in the soil by physical and chemical forces. In dry climates runoff can be reduced by contour planting, by furrows oriented crosswise to rain-carrying winds, by plowing, and other treatments on the soil surface. Plants can also be planted at the bottom of furrows or in pits to increase their chance to obtain water. The remainder of the water will move deeper into the soil attracted by gravity until it comes to rest on an impenetrable basin or joins an underground stream or aquifer.

Water is lost from the soil not only by percolation downward but also by evaporation on the surface. The rate of evaporation depends on the water-holding capacity of the soil, and also on environmental conditions, chiefly temperature, relative humidity, and wind. In general, sandy soils hold the least available moisture, clay soils and soils of high organic matter hold the most. The water-holding capacity of the soil can be increased, for practical purposes, chiefly by the addition of organic material to the soil. Plants can remove water from the excess flowing through the soil, from basins or aquifers, and from the water that is physically and chemically held in the soil, up to a limit. From a practical standpoint, water availability to a plant is determined also by its ability to retrieve water, with a large and efficient root system. Competing plants (other crops or weeds) also reduce the water available to a particular plant.

Seeds may need water almost continuously in order to germinate, and seedlings may need extra water to grow. The growing plant needs large quantities of water, but may be very adept at getting water because of its root system. The plant that is maturing seeds, fruits or tubers often needs less water. A plant that matures in a short period may avoid drought by its ability to mature when water is available.

Life zones (as defined by Holdridge, see Table I) depend in part on the amount of water received annually. The yearly average rainfall, much more than the extremes, dictates the kinds of woody perennial plants that can be grown without irrigation in a particular zone. The suitability of an annual crop plant for growth in a particular region, however, depends not only on life zone, but also on the water availability through irrigation and through water conservation methods. Distribution of rainfall must also be taken into account in interpreting the life zones. If rainfall occurs over a relatively short period, followed by a dry season, some annual crops might not be able to mature.

Temperature. Temperature affects plant growth directly and indirectly. As temperature increases, chemical activity increases and thus over a certain range, higher temperatures increase growth. However, protoplasm cannot survive excessively hot temperatures. At the other extreme, many plants cannot survive temperatures below freezing. Special organs may be more susceptible to heat (reproductive organs, flowers) or to cold (succulent organs). Some organs, particularly some seeds, may resist both heat and cold. Furthermore, loss of water from plants and soil is increased by high temperatures (as well as by low humidity and wind).

Plants are adapted to particular climates in part by their ability to grow and reproduce at certain temperatures. Among vegetable crops one can distinguish cool season crops (cabbage, lettuce) from hot season crops (corn, squash). Some crops grow best where days are hot and nights are cool (tomato). Life zones as defined by Holdridge depend not only on annual rainfall but also on mean annual temperature.

Altitude and Latitude. Altitude influences temperature and in this way affects plant growth. As altitude increases, temperature decreases. Latitude influences temperature by influencing the amount of light intercepted by a unit area. It also influences daylength. Daylength influences plant growth through hormonal mechanisms which are part of a plants adaptability. For example, short-day plants require or flower best in short days. Long- day plants often flower best only during long days. Some plants are day-neutral and their flowering is not influenced by day length.

Thus, life zones are influenced chiefly by annual rainfall and mean annual temperature. Some of the world's life zones as defined by Holdridge are given in the table. In any region of the earth a person should be able to determine the life zone by weather records. It may now be impossible to do so from the vegetation. Agricultural zones, however, are determined also by availability of irrigation water.

Soil acidity. The acidity of the soil, defined in terms of pH, is a third important factor determining crop potential. While almost all crops grow well in soils with slightly acid pH (6.5), nevertheless crops differ in their tolerance of acidic (low pH) and alkaline (high pH) conditions. The acidity of the soil can be increased with the use of acid forming fertilizers (such as sulphates) and organic materials, or decreased with the addition of lime. These are common agricultural practices. Usually soils of the humid tropics are acid and those of the dry tropics alkaline, but there are exceptions.

Prediction of suitable crops

Use of Table I and the Appendix.

As a first step in determining whether a particular new crop (old crops are obviously suitable) may be suitable for your region, determine the life zone for the region from annual rainfall and temperature. Determine the normal pH of the soil of the region. Consult Table I and the Appendix.

A second step. Classify your environment in a less formal manner than that of Holdridge. First, classify the environment during the period of maximum rains as follows: cool (C), intermediate (IT), or hot (H). Then consult Table II for annual crops and Table III for perennial crops.

Note in Table II that irrigation changes everything. If temperatures are favorable, all vegetables can be grown in a dry climate where water is added. This is probably true of fruits as well. Note also the other considerations in the case of some of the other crops.

Finally, you can use Table IV if your region falls into one of the following categories: hot humid tropics; tropical monsoon; dry tropics; beach climate; wet, cool highlands; and dry, cool lowlands. Consult the portion of the table which corresponds to your climate and find the grains, legumes, vegetables and other crops most likely to be a success.

Table I. Ecological or life zones of the tropics, sub tropics, and warm temperate zones


Table I. Ecological or life zones of the tropics, sub tropics, and warm temperate zones.

T = Tropical
d = dry forest
S = Subtropical
m = moist forest
W = Warm temperate
r = rain forest
C = Cool temperate
t = thorn steppe (if tropical) or woodland (if warm temperate)
B = Boreal
v = very dry forest
w = wet forest
x = desert scrub (if tropical or subtropical) or bush (if temperate)

NOTE: In the Appendix you will see life zone symbols of more than two letters. For example, okra grows in life zones Wdm and Txm. The capital letters refer to tropical, subtropical or warm temperate climates. The small letters are for types of vegetation as determined by the life zones. Using the chart you can see that okra will grow in warm temperate dry forests, warm temperate moist forests, tropical dessert scrub and tropical moist forest climates.

Table II. Annual crops (or perennial crops grown as annuals) - climatic needs crop : rainfall - temperature - other considerations


Table II: . Annual crops: climatic needs

CLIMATIC NEEDS

crop:

rainfall

temperature

other considerations

Amaranth

S

H

DM

Arrowroot

L

H

Bean (common)

S

IT

DM

Cantaloupe

L

C-IT

NG

Carrot

IR

C

Cassava

S-IR

H

Chayote

L

IT

NT

Chickpea

S

C

Corn

IR

IT-H

DM

Cowpea

S

H

DM

Cucumber

IR

IT

Eggplant

IR-L

H

Lablab bean

S-L

IT-H

SD

Mungbean

S

IT

SD

Okra

IR

H

LD

Onion

IR

C-IT

Peanut

S-IR

H

DM P

earl millet

S

H

DM

Pepper

IR

IT-H

Pigeon pea

S

H

DM-SD

Potato

S-IR

C-IT

Pumpkin

IR-L

H

Rice

IR

IT-H

Scarlet runner bean

IR

C

Sorghum

S-IR

H

DM

Soybean

S-IR

H

SD S

weet corn

IR-L

IT

Sweet potato

L

H

Tomato

S

IT

DM

Watermelon

IR

H

Winged bean

L

H

SD

Yam

L

H

MC

Yardlong bean

IR

H

NT

Key: Rainy season: S = short; IR = intermediate; L = long Temperature: C = cool; IT = intermediate; H = hot Other considerations: SD = most varieties bloom or produce during short days; MC = suitable for monsoon climate, with rains during long days; DM = dry weather required during maturation; NG = not usually grown in the tropics; NT = needs trellis; LD = produces best in long days.

Table III. Important perennial and tree crops climatic needs


Table III: Important perennial and tree crops climatic needs

crop

rainfall

temperature

other considerations

Avocado

S-IR

IT-H


Banana

L

H


Black pepper

L

H

NT

Breadfruit

IR-L

H


Cacao

IR-L

H

NS

Cashew

S

H

DF

Cherimoya

IR

C


Coconut

IR-L

H


Coffee

IR-L

IT

NS

Fig

S

IT


Guava

IR

H


Macademia nut

IR

IT


Mamey sapote

IR-L

H


Mango

IR

H

DF

Mangosteen

L

H


Moringa

S

H


Oil palm

IR-L

H


Papaya

S-IR

H

NT

Peach palm (pejibaye)

IR-L

IT


Passion fruit

IR

IT-H


Pineapple

IR

IT-H


Plantain

L

H


Soursop

S-L

H


Sugar cane

L

H


White sapote

IR

C-IT


Key: Rainy season: S = short; IR = intermediate; L = long Temperature: C = cool; IT = intermediate; H = hot Other considerations: NT= needs trellis; NS = needs shade; DF = needs dry weather during flowering

Table IV. Suggested crops for specific climatic zones

GRAINS, LEGUMES, VEGETABLES, FRUITS, AND OTHER


Suggested crops for HOT HUMID TROPICS (Long Rainy Season, No Cool Weather)


Suggested crops for TROPICAL MONSOON (Strongly Alternating Wet And Dry Seasons)


Suggested crops for DRY TROPICS (A Long, Hot Dry Season With A Short Or Irregular Rainy Season)


Suggested crops for BEACH CLIMATE (Dryish, Intermittent Rains)


Suggested crops for HIGHLAND CLIMATE, Wet And Cool


Suggested crops for HIGHLAND CLIMATE, Dry And Cool

Discussion

In principle, it should be possible to characterize soil and climate so that areas that are similar, even though widely scattered, could use the same technology. In practice this has proved very difficult. As the number of factors increases sufficiently to carefully characterize sites, those that are similar become smaller and smaller in number. Researchers often refer to "site-specific technology." This simply means that any particular technology is specifically suited only to the site for which it was designed. This is true whether the technology is cultural techniques or pest control methods.

Two very large projects were specifically designed to overcome the problems of site-specific technology. In one of these the technology was to be developed at specific sites and demonstrated to be useful at similar sites. This project was unable to fulfill its objectives. In a second project years of experimentation at distant locations finally came through with a mathematical model to predict the yield of a crop at one location based on its performance at other locations. All test locations had to be thoroughly characterized. This has been done with only one crop, corn (maize). The technique is too cumbersome to be of practical value, and the old-fashioned technique of a varietal trial is still the best method of determining the value of a particular crop or technology.

There are no final answers to the questions, "What crop should I grow?" and "How should the crop be grown?" Superficially, agriculture is simply crops, climate, and land. But in reality each is extremely complex, requiring knowledge, experience, and judgment. On the other hand, the crop production potentialities are revealed by trial and error. There is no substitute for hard work and a sharp eye.

Some logical questions follow "What crop can I grow?" The answers may require considerably more study. What are appropriate varieties? Where can seed be obtained, and how can it be maintained? What are the appropriate seasons for planting? How can it best be fertilized? What insects, other pests, and diseases may occur, and how can they be controlled? When and how is the crop to be harvested? How can it be stored, processed and utilized? Will people accept it? Will it be economical in terms of energy, time, and money? Part of ECHO's work is to give you perspectives on these issues to equip you to answer such questions.

Appendix I. Maximum ecological amplitudes for some tropical crops


Table: Maximum ecological amplitudes for some crops (1)

Table: Maximum ecological amplitudes for some crops (2)

Table: Maximum ecological amplitudes for some crops (3)

Technical note: Comparison charts of tropical crops

by Dr. Franklin W. Martin and Michael P. Fennema

Introduction to the charts :

The question of what crops should be grown and how they should be used are never completely answered. Furthermore, there is no document or person that can provide all the answers desired. Agriculture always involves trial and error, experimenting and risking, learning and adjusting. These charts supply you with information to help you in making choices about which crops to try in your location. Crops are compared by categories to permit selection based on knowing how the crop can tolerate the conditions in your area. These comparison charts complement ECHO's catalog of "Seeds Available from ECHO," although the charts include a broader range of crops than offered in the catalog. It serves as another basic source of information on the most important crops of the tropics.


Chart 1 Comparison of Grain Crops

Chart 2 Comparison of Leguminous Vegetables

Chart 3 Comparison of Pulses

Chart 4 Comparison of Fruit Vegetables

Chart 5 Comparison of Vegetable Leaves

Chart 6 Comparison of Roots and Tubers

Chart 7 Comparison of Miscellaneous Vegetables

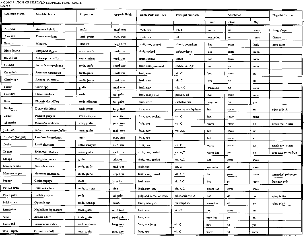
Chart 8 Comparison of Selected Tropical Fruit Crops

Chart 9 Comparison of Nut Crops

Chart 10 Comparison of Industrial, Plantation, or Beverage Crops

Chart 11 Comparison of Ground Covers and Green Manures

All of the plants mentioned in this chart 11 can be used as feed for animals. However, cutting them for feed limits their effectiveness as green manures and cover crops. The distinction between green manures and cover crops is minimal, and often the two words are used interchangeably. The following definitions show the difference in emphasis of the two terms. Green manure crops are those grown for the purpose of incorporation when the plant is fresh and green (thus high in nitrogen), resulting in soil enrichment and a greater water holding capacity. Ground cover crops grow vigorously to outcompete weeds and provide a good soil covering and mulch. These crops are also good for soil improvement and erosion prevention.


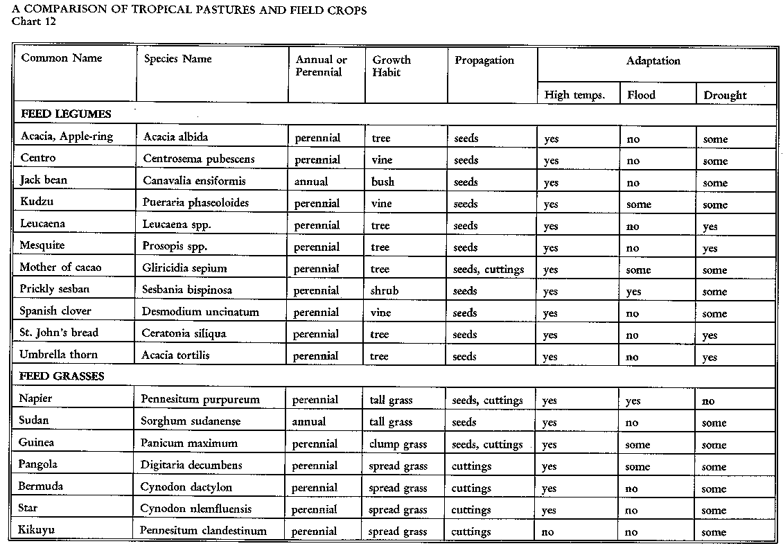
Chart 12 Comparison of Tropical Pastures and Field Crops

Chart 13 Comparison of Special Purpose Trees

What seed would you take to an uninhabited tropical island?

Dr. Frank Martin is the author of several books and articles on tropical subsistence farming and a frequent consultant to ECHO. We received from him the following interesting note:

"If I were to go to an uninhabited island in the hot, humid tropics, taking with me the seeds with which I think I could best provide myself food, I think I would take the following.

Roots and Tubers: (1) sweet potatoes-the variety 'Gem' (orange-fleshed) and some white-fleshed types, (2) yams-Dioscorea alata and D. esculenta, selected varieties, (3) cassava-some true seed to start my own, (4) Queensland arrowroot (Canna edulis), very easy to grow and productive.

Grains: (1) corn, (2) okra, for edible seed and well as green fruit, (3) wax gourd (Benincasa hispida) for edible seed as well as squash-like fruit.

Legumes: (1) Catjang cowpeas (climbing, disease resistant forms), (2) winged bean, (3) Dolichos lablab beans, (4) asparagus beans.

Leafy Vegetables: (1) chaya, (2) sunset hibiscus, (3) Tahitian taro (Xanthosoma brasiliensis), (4) Tropical or Indian lettuce (Lactuca indica).

Fruit Vegetables :(1) tropical pumpkin, (2) okra, (3) small-fruited, indeterminate tomatoes, (4) hot pepper, (5) ensalada pepper, selected for its edible leaves.

Trees :(1) bananas, (2) breadfruit, (3) limes (West Indian, from seed), (4) tamarind, (5) papaya, (6) mangoes (from seed, turpentine type but selected)."

Several of Dr. Martin's publications (co-authored by Ruth Ruberté) are available from ECHO. We are reprinting their book Edible Leaves of the Tropics (see chapter on Tropical Vegetables). Techniques and Plants for the Tropical Subsistence Farm (see below) is an excellent introduction to a wide variety of food plants adapted to hot, humid regions.

How can I garden in the hot humid tropics?

Letters from EDN readers often contain questions similar to this. Even experienced gardeners can get discouraged when they move to the humid tropics from a temperate country and plant the vegetables they know from home. Others of you have not had gardening experience in any climate, but now face the need to learn quickly. The approach of the two books described below is so different that they complement each other very well.

The best way to begin gardening in hot humid regions is to try those plants that God has clearly made for such climates. However, temperate crops are often in demand because of the increased variety that they add to the diet and their value as a cash crop to replace imported vegetables. Techniques and Plants for the Tropical Subsistence Farm is oriented toward plants that are adapted to the tropics. Growing Vegetables in Fiji is more oriented toward growing temperate vegetables, with some discussion of other vegetables.

Dr. Frank Martin and Ruth Ruberté with the USDA's Tropical Agriculture Research Station in Puerto Rico wrote a 56-page book called Techniques and Plants for the Tropical Subsistence Farm. (It is now out of print, but ECHO sells a photocopied version in a binder for $5 plus postage.) It is an excellent introduction to a wide variety of foods that are adapted to hot, humid regions. Its scope is a bit broader than only gardening, as the title implies. The table of contents lists: overall planning; vegetables and cereals (leaves, legumes, roots and tubers, fruit vegetables, cereals); trees (fruit trees, vegetable trees, leguminous trees, trees for wood); forage crops (site selection & preparation, planting, management, grazing, storage, selecting forages, grasses, legumes, misc. forages). Their approach to insect control is less specific with an emphasis on organic methods. (It is quite likely that insect control is less of a problem with the native tropical plants.) Here are some excerpts.

"Phosphorous is an essential, limiting element in tropical soils as often as nitrogen. It is important in stimulating root development and is necessary for fruit and seed development. Although it is common enough in the soil, most of it is insoluble, unavailable for plant use. Manure, compost and cover crops do not add enough phosphorous to the soil" and tend to become insoluble when they are added. He then discusses deficiency symptoms. Commercial fertilizers are one source. "Bonemeal is a useful additive though much of its phosphorous is insoluble. Marine organic materials (seaweeds, fish) are other good sources. There does not seem to be an easy solution to the problem, but a soil with adequate humus and good aeration slowly releases soluble phosphates from the insoluble forms."

"Indian or tropical lettuce (Lactuca indica) from Southeast Asia is considered by some to be the best lettuce for the hot humid tropics. Like all lettuces, it requires a fertile soil. Seeds are small and seedlings require careful attention. [Ed: So many plants come up wild we no longer need to replant, however.] The plants grow rapidly and produce large succulent leaves. These may be harvested individually, or the tops may be snapped off... [to be] replaced rapidly by new growth. Once flowering begins, it cannot be suppressed, but leaves may be harvested until exhausted. Year-round production is easily achieved by planting every 3-4 months. Yields are excellent and the plants can be grown in pots. The lettuce is somewhat bitter in taste, but its flavor and texture are perfect for mixed salads." [Ed: It is also excellent as a cooked green. ECHO has seed.]

Kirk Dahlgren worked as the Rural Development Director for the Peace Corps in Fiji. He wrote a 123-page book for the Peace Corps called Growing Vegetables in Fiji. This book is an excellent general introduction to gardening in the tropics (or elsewhere for that matter). We think so much of the book that we have reprinted it (US$5 plus postage). As mentioned earlier, a special emphasis is placed on growing temperate vegetables. The climate is hot and humid in much of the country, similar to conditions faced by many of you. His writing is clear and choice of subjects excellent. He has an unusual ability to get right to the most important points and to explain them clearly in as few words as possible. The table of contents lists: the Fiji vegetable crop environment; building and maintaining soils; cultural methods of vegetables; the garden crops of Fiji; growing vegetables under plastic; composting and mulching. Some examples follow.

"The culture of many of these new crops required the learning of a totally foreign propagation method-the use of seeds." Traditional Fijian crops are propagated vegetatively, i.e. a piece of the plant other than a seed is used to produce new plants. "The vegetable crops the missionaries brought evolved in temperate zones where plants needed to produce resistant bodies, i.e. seeds, to survive the harsh winters." Crops the Indians brought had a similar need to survive dry months. Because in Fiji the weather is always just right for the plants to grow, it is often advantageous for plants to reproduce through means other than seeds.

Here is an excerpt from the discussion of carrots. "Fiji relies largely on carrot imports to satisfy local demand. Carrots do well in Fiji, however. ...Carrots are small-seeded, slow-germinating, and slow to establish so require a steady supply of moisture and a high measure of weed control. Quick growth produces better carrots. Carrots are high in vitamin A and have good keeping qualities." He then gives recommended varieties and detailed cultural procedures. "Show extra attention to weed control. Weeds in carrots can be controlled by spraying with kerosene at the three-true-leaf stage. The rate is 450 liters/ha (45 ml/square meter). Spray on a sunny day for best control." Diseases, pests and their control [usually chemical rather than organic] are discussed for each vegetable. He lists three common problems: cavities caused by calcium deficiency, galls caused by nematodes, and split root tips caused by excess soil nitrogen.

Resource centers for agricultural development

SUMMARY OF TRAINING OPPORTUNITIES IN AGRICULTURE FOR MISSIONARIES. A number of organizations are responding to the need for training of those going to work in third world agriculture and/or appropriate technology. ECHO has a Technical Note which summarizes the offerings of many of the programs that we know about. Write ECHO for "Where Can I Get Training for Agricultural Missions?"

WHAT HAS BEEN YOUR EXPERIENCE WITH THE INTERNATIONAL RESEARCH CENTERS?

Many of you are aware of the network of international agricultural research centers that have been responsible for much of the green revolution. They are usually known by abbreviations: ILRI in Ethiopia and Kenya, CIAT in Colombia, ICRISAT in India, IRRI in the Philippines, IITA in Nigeria, etc. Each center focuses on just a few areas of agriculture and maintains the international germplasm (seed or other propagative material) for a few "mandate crops." This enables them to avoid duplication of effort and develop an unusual depth of expertise in those areas. (Universities, in contrast, typically cover all areas of agriculture but in less depth.)

How can we extract the most ready-to-use information from the centers? (We appreciate it when those of you who work at these centers call items to our attention or give feedback to items in EDN). These centers work primarily through governmental extension networks, but they seem quite open to helping "small" groups too.

We are interested in how these international centers can help folks in ECHO's network, typically a hands-on person in the field with a private voluntary organization (PVO). If you have approached one of the centers and found them helpful in a particular way, drop ECHO a line with details. I would also like to know if you tried to get information or seeds and were not successful. Many government agencies are increasingly recognizing the valuable role PVOs play in development. Most scientists at these centers are eager to see their discoveries implemented. On the other hand, they are very busy with their primary task of research and cannot write lots of letters. We would like to have a practical guide to what you can and cannot expect from the centers, how you decide where and to whom to write, etc., all based both on their literature and your experience. The small farmer, the international research centers and your work will benefit if we increase the use that you make of this incredible resource. Please write!

Most of these centers also maintain genebanks (seeds or other material) which you may contact as a source for information and perhaps seed of their respective staple crops. (For example, ECHO often refers seed requests for major crops to one of these centers.) The addresses and areas of expertise of each center are as follows:

AVRDC (Asian Vegetable Research and Development Center), Box 42, Shanhua, Tainan 741, Taiwan, ROC; fax (8866) 583-0009; https://www.avrdc.org.tw. Tomato, pepper, onions, eggplant, beans, and other vegetables.

CATIE (Centro Agronómico Tropical de Investigación y Enseñanza), Turrialba 7170, COSTA RICA; https://www.catie.ac.cr/. Research and education on sustainable tropical agricultural systems for the small farmer. Areas include livestock genetics and nutrition, coffee, cacao, agroforestry, and fruit crops.

CIAT (Centro Internacional de Agricultura Tropical), Apartado Postal 6713, Cali, COLOMBIA; fax (57)2-4450-273; https://www.ciat.cgiar.org. Germplasm development in beans, cassava, rice, tropical forages.

CIFOR (Centre for International Forestry Research), PO Box 6596, JKPWB, Jakarta 10065, INDONESIA; fax (62)251-32-6433; https://www.cgiar.org;80/cifor. Conserving and improving productivity of tropical forest ecosystems.

CIMMYT (Centro Internacional de Mejoramiento de Maíz y Trigo), Lisboa 27, Apartado Postal 6-641, 06600 MEXICO D.F.; fax (52)726-7559; https://www.cimmyt.mx. Increasing productivity of resources committed to maize, wheat, and triticale.

Note: Web sites for the centers below have the format https://www.cgiar.org;80/acronym [as CIFOR above]. CIP (Centro Internacional de la Papa), Apartado 1558, Lima 100, PERU; fax (51)14-351570. Potato and sweet potato improvement, Andean roots and tubers. Natural resources conservation in the Andean region.

ICARDA (International Center for Agricultural Research in Dry Areas), P.O. Box 5466, Aleppo, SYRIAN ARAB REPUBLIC; fax (963)21-225105 or 213490. Increasing productivity of farming system involving wheat, barley, legumes, and forages in North Africa and West Asia.

ICLARM (International Centre for Living Aquatic Resources Management), MC PO Box 2631 Makati Central Post Office, 0718 Makati, Metro Manila, PHILIPPINES; fax (63)2-816-3183. Improving production and management of aquatic resources in developing countries.

ICRAF (International Centre for Research in Agroforestry), United Nations Avenue, PO Box 30677, Nairobi, KENYA; fax (254)2-521001. Mitigating tropical deforestation, land depletion, rural poverty through improved agroforestry systems.

ICRISAT (International Crops Research Institute for the Semi-Arid Tropics), Patancheru 502 324, Andhra Pradesh, INDIA; fax (91)40-241239. Contributing to more sustainable agricultural production systems through improved productivity and resources management of sorghum, pearl millet, chickpea, pigeonpea and groundnut.

IIMI (International Irrigation Management Institute), PO Box 2075, Colombo, SRI LANKA; fax (94)1-866854. Strengthening the development, dissemination and adoption of lasting improvements in irrigated agriculture in developing countries. IITA (International Institute of Tropical Agriculture), P.O. Box 5320, Ibadan, NIGERIA; fax 874-1772276 (no country code required). Sustainable and increasing food production in the humid/subhumid tropics in partnership with African national research systems particularly on maize, plantain, soybean, cowpea, yam, rice, and cassava.

ILRI (International Livestock Research Institute), P.O. Box 30709, Nairobi, KENYA; fax (254-2)631499; e-mail ILRI-Kenya@cgnet.com, and P.O. Box 5689, Addis Ababa, ETHIOPIA; fax (251-1)611892; e-mail ILRI-Ethiopia@cgnet.com. Animal health, genetics, feed, and natural resource management.

IPGRI (International Plant Genetic Resources Institute), Via delle Sette Chiese 142, Rome 00145, ITALY; fax (39)6-575-0309. Conserving genepools of current and potential crops and forages. Supports and coordinates genetic resource conservation through regional groups.

IRRI (International Rice Research Institute), P.O. Box 933, Manila, PHILIPPINES; fax (63)2-891-1292. Generating and disseminating rice-related knowledge and technology of short- and long-term environmental, social, and economic benefit.

ISNAR (International Service for National Agricultural Research), P.O. Box 93375, AJ-2509 The Hague, NETHERLANDS; fax (31)70-3819677. Institutional development and strengthening of national agricultural research systems.

WARDA (West Africa Rice Development Association), 01 BP 2551, Bouake 01, IVORY COAST; fax (225)634714. Improving rice varieties and production methods among smallholder farm families in the upland/inland swamp continuum, the Sahel, mangrove swamps, inland swamps, upland conditions, and irrigated conditions.

HOW DO I BEGIN AN EXPERIMENTAL/ DEMONSTRATION WORK? Chris Alexander in Zambia asked about how to develop a testing site at the church. I very much encourage this "experimental" approach. God has filled this creation with far more resources than most of us ever imagine. We only need to learn about them and then find which ones can be a blessing to our communities. You can never be sure that any new plant or technique will work until it has been tested in the community where it is being considered. Just remember not to be embarrassed by "failures." If in your personal garden you do not have some things that are not working out, you are probably "playing it too safe," doing things you know will succeed rather than trying many new things, some of which will fail and some be outstanding. Above all, never think that special university training in research is needed to do your own "adaptive" research. (Adaptive research is trying things that have worked elsewhere to see if and how they can be adapted to your community). Several of you have reported how the small farmers themselves enjoy being involved in the research process. Roland Bunch told me that he believes teaching farmers to be experimenters may be more important in the long run than the particular technologies he introduces.

Much of ECHO Development Notes is written for this very purpose, to suggest new things that you might want to try. So in a real sense, we are continually answering this question. The seeds you request through ECHO are likewise a good place to start. This collection of ideas from EDN should be a starting point. You should soon have enough ideas to keep busy for a few years.

THE SMALL FARM RESOURCE DEVELOPMENT PROJECT: A MODEL FOR BEGINNING OR STRENGTHENING YOUR AGRICULTURAL WORK.

INTRODUCTION. During the course of each year a number of individuals working in community development spend some days studying and planning at ECHO. In reality their felt need is not so much for a bit more knowledge (study), but for a project plan for how they are going to help local farmers. A number of such visitors have told me that the single most helpful thing I shared with them during their visit was the concept of the Small Farm Resource Development Project.

The central idea is that development organizations wishing to do agricultural projects have little choice but to do some of their own experimentation. Although many might wish it were so, no expert can come into a community and plainly tell what new idea to begin introducing. Such an expert can suggest many things to try, but little or nothing that one can safely talk farmers into adopting tomorrow.

Many rural development organizations who work in medicine, public health, education, water, sanitation, etc. hesitate to add agricultural components, perhaps because it is less clear what they should do to have a major impact in agriculture than in their other areas of emphasis. The bottom line of everything ECHO does comes down to this very point. How can we help you devise a project plan that will make a significant difference in the lives of peasant farmers?

WHAT IS NEEDED? See page 10 for some characteristics of a satisfactory agricultural project. I have often heard development workers say something like, "I have no need for additional technical information. What I need is more insight as to how to get farmers to act on what I already have to offer." Perhaps. But more likely the problem is that the ideas are not nearly good enough. Although there may be few if any ideas which you can be certain will meet all criteria, there is hope. It is just that there is a step between getting the idea and beginning the extension work. Many things have the potential to be as successful in the community as they have been elsewhere in the world. They just need to be screened and fine-tuned under local conditions and on local farms.

(Ready-to-go agriculture projects do exist, especially in the veterinarian field, where much universally applicable knowledge is available. If chickens are dying of Newcastle's disease, for example, a vaccination program could be immediately useful. Exceptions would also be found if the organization were to come across an innovation that has already been proven in the community but the extension work has not yet been done. But be careful. I saw one such project where a local group had proven that pineapples would thrive. Several private and government pineapple projects soon sprang up. Pineapples were so cheap two years later they were hardly worth harvesting. The average development project gives far too little emphasis to marketing study and projections.)

THE SMALL FARM RESOURCE DEVELOPMENT PROJECT. Both your supporters at home and the farmers you serve have high expectations of you. They are going to look for great (and quick) success in whatever you try, and you will lose credibility quickly if you start things that fail-unless everyone knows up front that you are first going to be doing trials.

Much of the pressure is eliminated if you say something like the following: "Everyone knows that a lot of new ideas outsiders bring in are worthless. But there are a lot of things that have brought an improved life to farmers similar to you in other parts of the world. I'm going to be trying several of those things. Most of them probably will not be worth very much. But probably one or a few will be something that will be very useful to you."

"I invite you to watch the progress of things that we will be trying here at the Small Farm Resource Development Center (SFRDC). When we sort out which ones seem to be really interesting, you can help us by doing a small trial on your own farm."

The purpose of the SFRDC is to evaluate in the community ideas that have been proven elsewhere. The most promising ideas are adapted to become the backbone of the agricultural outreach. This adaptive research, as it is called, is done directly by the private or voluntary organization (PVO) and local farmers. The same approach is adaptable to almost any size project, whether you establish a formal SFRDC or not. The "Center" can be as simple as an individual development worker's garden or as complex as an organization's headquarters' farm.

We use two names, one for the project itself and one for the piece of land where initial trials are done. The Small Farm Resource Development Project (SFRDP) coordinates trials on a central site called the "Small Farm Resource Development Center" (SFRDC) as well as on fields of individual farmers. Any new ideas, techniques, crops or new varieties of a local crop are first evaluated at the SFRDC. The most promising will be further tested through on-farm trials in the community, thereby also teaching local farmers to do their own testing of new ideas. Marketing studies may also be done.

THE OUTCOME: The goals of the SFRDP include (1) finding new sources of income, food and employment, (2) improving the profitability and reliability of present farming operations, (3) backing these up with marketing studies and market development activities, (4) improving both economic security and nutritional balance by including a greater diversity of crops, (5) reducing vulnerability to global economic swings by minimizing the need for imported items in operation of the farm, and (6) reversal of the ecological problems caused by erosion and deforestation.

The SFRDP can have two distinct functions. One, the experimental component, is to test and adapt new ideas which have potential to aid the community in development. This is not the kind of research done at universities, but rather adaptive experiments to make sure what has worked elsewhere can be reliably expected to work in this particular community. The other, the demonstration and training component, is to use the center and on-farm trials as a teaching tool. It can be a base from which promising results are taught to your future extension staff and to other interested development groups or farmers in the country. Depending on whether training and teaching is a high priority of your program, this second aspect can be a major or minor component of the center. Charlie Forst, who helped develop a SFRDC for a school in Haiti (the Haitian American Friendship Foundation), described his goal as "developing the farm as a textbook."

WHERE SHOULD TRIALS BE DONE? Trials should be carried out both at a central SFRDC site and by local farmers on their own land. Each has its strengths and limitations.

It will be important to have a central focal point for visibility, both locally and with the diverse private and governmental groups in the country who might wish to learn from the SFRDC. It is also necessary to have a central location where a preliminary screening of new ideas can take place. Experiments that may have less likelihood of success should only be done at the central site initially until such time as they are shown to have definite promise.

Before Tom Post (see below) had an opportunity to establish a SFRDC, some on-farm trials were underway. It seemed like a great idea. The government research station had identified onions as a profitable cash crop that was being imported into the country. They also had selected varieties and developed cultural practices. But unknown to anyone, there was a disease in that particular part of Belize that ruined the onions. If the SFRDC had been in existence, the first trials would have been done there and farmers would not have had such a visible initial discouragement.

The on-farm trials are economically more efficient, are more representative of the diverse micro-climates, soil types, etc., increase visibility in the community, help farmers learn the experimental approach, give them a sense of ownership in the project, and greatly reduce the likelihood of poor choices for subsequent introductions. Once a success is proven in on-farm trials, much of the work of extension is already done. On-farm experiments will always be on a small scale so that the risk to any farmer is minor.

Project Global Village (PGV) in Honduras wondered if subtropical apples might be the basis for a development project at a remote site very high in the mountains. We helped them arrange to bring in 1,000 subtropical apple trees, which were evaluated entirely with on-farm trials. I believe they were distributed to a couple hundred farmers. This fall I was told that they now have over 200,000 trees in the ground (no one knows for sure how many because farmers now graft their own trees).

A REAL-LIFE EXAMPLE. In the mid 1980's ECHO suggested to Tom Post, country director for the Christian Reformed World Relief Committee (CRWRC) in Belize, that they establish a SFRDP in Corozal Town. Tom shared the following observations on the value of the project.

"1. It provides a place to try crops on our own land that will not hurt the farmers if the crops should fail. We had begun our work directly with farmers before we had the SFRDP. Due to initial failures we dropped from 30 interested farmers to 3 the first year. Now negative results are just part of the expected outcomes of any large number of trials at the Center. For example, we failed to make money on an egg project that had originally looked good, but found that farmers could make money on broilers. A combined solar and wood burning grain dryer that we built turned out to have a design flaw and burned down-but it only involved the SFRDC.

"2. Even though we have degrees in tropical agriculture and years of experience, we need self- confidence and confidence in what we are about to promote. The same applies to the local extension staff. The SFRDC allows us to convince ourselves that what we are recommending really works.

"3. Consistently ideas had to be adapted to the regional climate and local management methods.

"4. It serves as a point of contact between our organization and Belizian institutions (other voluntary organizations, governmental ministries and agricultural research agencies). It gives our small group much more visibility and a "location" where we have a large sign by the highway "Small Farm Resource Development Center." Visitors can see and recognize quality work. We also are now seeing other groups picking up on some of our results. One has ordered 4,000 pounds each of velvet bean and jack bean seed.

"5. The SFRDP concept provides a bridge between the two worlds of research and the small farmer. Most agricultural research is still done on experiment stations with inputs that are not available to many small farmers and goals usually oriented toward more mechanized approaches.

"6. It is a valuable investment in the future. Development organizations tend to go for near-term results, using only ideas which are known to have a high probability of success. A result is that we do not consider other options. At the SFRDC we can try things that, for lack of experience, leave us less certain of success but hold a great deal of promise. Use of the moringa tree was in that category; now it is looking more and more like a sure success for our projects.

"7. It provides a valuable hands-on opportunity for North American supporters to be involved in ways that go beyond just giving donations. Donors feel an increasing need to know for themselves the benefit of their help. If work teams do projects in the village, they may be doing things that the local people can do for themselves [and resentment can result]. But projects done at the SFRDC will not disrupt village life and will be a genuine help to our work. North Americans can try out their skills without doing harm by their trial-and-error learning.

"8. The first-hand experience with a range of ideas (alley cropping, leguminous trees, pasture improvement, in- row cultivation, moringa, neem, small-scale irrigation) has been extremely valuable for me personally in my additional responsibility of project consulting in Central America."

From my reading before actually working in development, I had the impression that farmers were so resistant to change that they would certainly not be interested in doing experiments. I have been pleasantly surprised from reports in our network at how eager farmers are to do experiments, if they have confidence that some of them are worthwhile. Tom Post took me to visit some participating farmers in Belize. Each farmer had a particular experiment he was doing. One eagerly showed us some others he had come up with on his own.

SOME SPECIAL BENEFITS. Expensive infrastructures are avoided. No commitment need be made to multi-year funding. The SFRDP can be continued as long as its results are a clear benefit (or until so many good, proven ideas are available that the extension staff has all it can use) and can be discontinued at any time with minimal waste of money.

Although we had been discussing with Project Global Village the possibility of starting a SFRDP, the apple project ended up having so much potential that all efforts went into its development. Always keep in mind that the SFRDP is there to benefit farmers, not to do research. If you invest little in infrastructure, efforts can be rechanneled at any time without waste.

OTHER POSSIBILITIES.

(1) Once a set of workable technologies have been proven, the sponsoring organization might wish to set up a demonstration area at the SFRDC to use in training. I do not automatically call the SFRDC a "demonstration farm" because that concept has not worked in some situations and cultures. The SFRDC is a place where trials are done, and assumes the added role of a demonstration farm only if that approach seems suited to the local situation.

(2) If an agricultural college or training center is nearby, opportunities for collaboration may exist. The students would benefit by gaining hands-on experience in a very applied kind of research. The SFRDC would benefit by being able to do many more experiments by using the free student labor.

(3) Increasingly donors want to see and experience the work first-hand. Although a missions study tour has advantages over a "work team," in my opinion, many feel obligated to work with their hands to justify the expense of the trip. So "work teams" have become increasingly popular. Having them work on projects in the village which villagers could have easily done themselves can foster resentment. Projects can usually be found on the SFRDC that provide a rewarding experience for the volunteers, which benefit the project, and which avoid misunderstandings within the community. At the same time they can work with and get to know the local people and culture and worship with them.

(4) Many American colleges send their students overseas for a few months of exposure to third world conditions and cultures, but it is difficult to find assignments for which they are qualified. Poor command of language and lack of fully developed cultural sensitivity normally limit the effectiveness of such short-term people. They often return disillusioned because they did not do much of significance. However, the student working primarily with the experimental phase of the program could begin making a useful contribution the day after his/her arrival! Students would come to work under supervision of the SFRDP staff, not to introduce change into the society.

(5) Periodically a professor looking for a sabbatical opportunity calls to explore whether he/she might do something in the area of world hunger. You might put out a call for help from such a person.

WHAT KIND OF TRIALS SHOULD BE DONE? The primary focus of the small farmer is raising crops and livestock and related activities. Depending upon need, the SFRDP may concentrate on: finding new crops or improved varieties of presently cultivated crops; conserving topsoil; storing grain; increasing yield and decreasing labor; seeking better techniques for cultivation of crops that will not require cash (and foreign exchange) for purchase of inputs; animal husbandry; growing feed for animals; aquaculture; post-harvest storage and handling. The farm is free to use a mix of organic and chemical methods depending on your philosophy and the local situation.

Growing for export markets is very risky for the typical, relatively small, organization in ECHO's network. Don't even think of exporting unless a large, proven organization is already doing it and your farmers are just plugging into their program. Even then, one fruit fly scare or United Nations embargo can bring disaster.

Appropriate technologies may be chosen for the demonstration part of the farm, but they usually are included in the experimental component only at a minor level. Chances are there are so many good designs already that what is needed is someone with perspective to pick the one or two best suited and go with them, rather than making new designs. As a general rule, I believe that westerners are more enthused about appropriate technology than are most peasant farmers. (There are surprises though. Three organizations which built self-composting toilets for their staff in Central America told me that the toilets generated intense interest in the community.)

WHERE DO WE GET IDEAS FOR THE TRIALS? The place to start is to carefully observe what farmers already do, ask where they feel that they need help (though remember they will not know to ask for things they have never heard about) and consider how to make their work easier or farms more productive with their current crops. Networking within your country will turn up promising ideas that have already been proven not too far away. Each issue of EDN contains many suggestions and seed offers that could become the basis for trials. Careful study of the back issues of EDN should give you more ideas than you will have time to try.

TAKING THE LONG VIEW. Development projects seem to proceed in units of a few years, but communities develop over long periods. Trials should be directed at both short- and long-term needs of the community. Some ideas should be selected with the anticipation that in the very near term (less than a year) they will be ready to go. (An unfortunate side effect of the short term nature of most projects, especially funding for them, is that only ideas with near-term payoff get serious attention.) Some trials that will not be completed for years should be started right away, e.g. in evaluating fruit tree varieties, trees should be planted so they can begin growing. If you start a SFRDP please keep us closely informed of your experience and what you learn.

TO PREVIOUS SECTION OF BOOK TO NEXT SECTION OF BOOK