Back to Home Page of CD3WD Project or Back to list of CD3WD Publications

CLOSE THIS BOOKSaline Agriculture: Salt-Tolerant Plants for Developing Countries (BOSTID, 1990, 130 p.)
Fiber and Other Products
VIEW THE DOCUMENTIntroduction
VIEW THE DOCUMENTEssential oils
VIEW THE DOCUMENTGums, oils, and resins
VIEW THE DOCUMENTPulp and fiber
VIEW THE DOCUMENTBioactive derivatives
VIEW THE DOCUMENTLandscape and ornamental use
VIEW THE DOCUMENTReferences and selected readings
VIEW THE DOCUMENTResearch contacts

Saline Agriculture: Salt-Tolerant Plants for Developing Countries (BOSTID, 1990, 130 p.)

Fiber and Other Products

Introduction

Salt-tolerant plants can be used to produce economically important materials such as essential oils, gums, oils, and resins, pulp and fiber, and bioactive compounds. Further, salt- tolerant plants can be cultivated for landscape use and irrigated with saline water, thereby conserving fresh water for other uses.

Essential oils

Kewda

The male flowers of kewda (Pandanus fascicularis), a common species of screw pine in India, are used to produce perfume and flavoring ingredients. The flowers are charged to a copper still, water added, and the mix distilled. The steam and essential oil (approximately 0.3 percent by weight of the flowers) are condensed to produce kewda water, or the kewda vapors are captured in sandalwood oil and formulated from this base. The kewda plant is salt tolerant and has been planted in coastal areas to check drifting sand. Propagation is through suckers or stem cuttings, and flowering starts 3-4 years after planting. An annual income of US$8 per plant has been estimated.

Mentha and Other Species

In India, economic yields of a number of essential oils were obtained from plants grown on saline alkaline soil. Two Mentha species were evaluated. M. piperita (for peppermint oil) and M. arvensis (for menthol) both gave yields comparable to those obtained on normal soil.

Other plants giving satisfactory yields on saline alkaline soil included Matricaria chamomilla, Vetiveria zizanioides, Cymbopogon nardus and C. winterianus (for citronella oil), Tagetes minuta, Ocimum kilimandscharicum, and Anethum graveolens (English dill). Palamarosa grass (C. martini)), a commercially important essential oil plant, is also reported to grow under moderately saline conditions.

The production of essential oils to provide a new source of income in rural areas is one of the objectives of the Ciskei Essential Oils Project, established in southern Africa in 1972.

Other objectives include the modification of extraction techniques for use in rural areas, and the identification of markets for the oils produced.

This effort was planned to provide an income for rural dwellers that was derived from familiar, indigenous resources and required relatively little capital. Over the past four years, this project has produced and exported US$1 million worth of essential oils and provided employment to hundreds of rural dwellers during the harvest season. Although the use of salt-tolerant plants is not the focus of the Ciskei Project, the principles could be applied to provide employment and income in areas where saline water or soil occurs.

Gums, oils, and resins

Sesbania biepinosa, commonly known as dhaincha in India, is an important legume and fodder crop. It is an erect, multibranched annual, about 2.5 m tall at maturity that grows readily on alkaline saline soils. Often grown for use as a green manure (about 12 tons per hectare), its stalks are sources of fiber and fuel, and the seeds yield a galactomannan gum that can be used for sizing and stabilizing purposes. The seed meal can be used for poultry and cattle feed. S. sesban and S. speciosa are salt-tolerant perennials used as green manure. S. sesban can tolerate waterlogging and salt concentrations of 1.0 percent as a seedling and 1.4 percent as it matures.

Grindelia camporum is a 0.5-1.5 m resinous perennial shrub. It exudes large amounts of aromatic resins that cover the surface of the plant. The resins are nonvolatile mixtures of bicyclic terpene acids, esters, and related structures that are insoluble in water but soluble in organic solvents. The amount of resin produced ranges from 5 to 18 percent of the dried biomass.

The plant appears to be salt tolerant; populations are found in saline flats and near salt lakes and springs. Several species of Grindelia occur along the North American Pacific Coast in estuaries or salt marsh habitats. These include G. humilis, G. stricta, G. latifolia, and G. integrifolia. All produce diterpene acid resins.

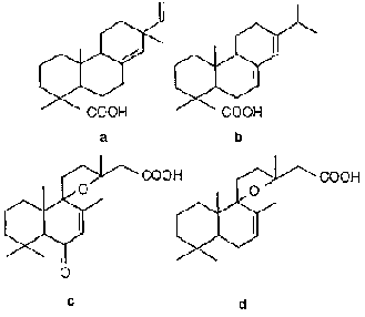
Grindelia resins have properties similar to the terpenoids in wood and gum rosins, which are used commercially in adhesives, varnishes, paper sizings, printing inks, soaps, and numerous other industrial applications (Figure 3). With increasing costs and declining supplies of these wood-based materials, substitutions with Grindelia resins in this market (700,000 tons per year) may become practical.

The creosote bush (Larrea tridentata) grows over large areas of the Chihuahua, Sonora, and Mojave deserts of North America. Evaluations of Larrea resins have shown potential uses as an antioxidant for rubber, as an antifungal agent for agricultural applications, and as a reactive material for polymerization with formaldehyde.


FIGURE 3: Diterpene Acids. Grindelia resins have properties similar wood rosins, which are used in a wide variety of industrial applications. Diterpene acids from Pinus (a,b) and Grindelia (c,d) are remarkably similar.SOURCE:B.N. Timmerman and J.J. Hoffmann, 1986.

Sapium sebiferum, the Chinese tallow tree, is a small marshland tree native to subtropical China. It has been cultivated there for more than 1,000 years as a source of specialty oils, medicines, and vegetable dyes. The Chinese tallow tree possesses several valuable characteristics: it can be seeded directly; it grows rapidly in warm, waterlogged saline soils; and it resprouts readily.

The major economic potential for this tree is in its high yield of oilseed - more than 10 tons per hectare according to the USDA. The seed contains both an edible hard vegetable fat and an inedible liquid oil, which comprise 45-50 percent of its weight. These oils are physically separated in the seed and may be isolated separately. The edible fat is a potential substitute for cocoa butter and the inedible oil (stillingia oil) appears promising as a drying oil for paints and varnishes. Of the total lipid content in the seed, 30-50 percent is the edible fat.

The seed meal, after extraction of the oil, has a high protein content. It can be used for feed or, with suitable treatment, for human consumption. Five years after planting, when seed production begins, a net return of US$3,200 per hectare per year has been estimated.

Jojoba (Simmondsia chinensis) is a perennial desert shrub with seeds that contain a unique oil.

About half of the seed's weight is an oil with a structure similar to sperm whale oil - an ester of a C20_22 straight chain alcohol with a C20_22 straight chain acid. Both the alcohol and the acid have a terminal double bond, providing a readily accessible site for diverse chemical reactions. This oil and its derivatives have been used primarily in cosmetics, but broader use as a component in specialty lubricants and waxes will probably develop when increased oil production brings lower prices. Currently there are about 16,000 hectares of jojoba plantations in the southwestern United States and other plantations in Mexico, Australia, Israel, Argentina, and South Africa and other African nations.

Jojoba is relatively salt tolerant. In California, plants are growing satisfactorily with water containing 0.2 percent salts. In laboratory testing, one variety of jojoba showed no reduction in flower production with 0.6 percent salt. In Israel, jojoba is growing well near the Dead Sea irrigated with brackish water (5-6 dS/m).

While natural rubber occurs in over 2,000 plant species, the commercial source is the rubber tree, Hevea brasiliensis. Natural rubber consists of cis-1,4-polyisoprene units. It is preferred in applications that require elasticity, resilience, tackiness, and low heat buildup. It is indispensable for bus, truck, and airplane tires. In 1980, the United States imported about 700,000 tons of natural rubber; imports of about 1 million tons are anticipated for 1990.

Rubber rabbitbush (Chrysothamnus nauseosus) is a common desert shrub native to western North America. It grows under a wide range of environmental conditions from Mexico to

Canada, commonly appearing on disturbed sites and saline soil. In addition to its forage value, it contains natural rubber and a hydrocarbon resin, and it has constituents that are potential insecticides and fungicides.

The perennial desert shrub, guayule (Parthenium argentatum), has also been used as a source of natural rubber. In 1944, there were 12,000 hectares of guayule planted in California (USA) for rubber production. In tests with guayule, total rubber yields first increased and then decreased as soil salinity increased (Table 14). Interest has recently been revived in guayule for natural rubber.

More recent reports on guayule (Hoffman et al., 1988; Maas et al., 1988) indicate the root- zone salt-tolerance threshold to be about 7.5 dS/m; above this, rubber production is reduced 6.1 percent per unit increase of soil salinity.

Rubber samples from Hevea, Parthenium, and Chrysothamnus appear to be structurally identical. Rubber contents as high as 6.5 percent for Chrysothamnus have been reported. If rubber yields of 2 percent are assumed, a plantation would produce 370 kg per hectare after 6 years' growth (guayule yields from California production were higher - about 1,000 kg per hectare after 2 years; Hevea yields are about 1,300 kg per hectare per year). Resin contents as high as 21 percent have been reported for Chrysothamnus, and some of its hydrocarbon components may find use as insecticides and fungicides.

TABLE 14 Plant Growth and Rubbet Content of One-Year-Old Guayule Plants at Three Soil Salinities.




Fresh Top

Soil Salinity

Plant Height

Weight

Rubber

dS/m

cm

g

%

3.2

53

397

3.32

8.7

52

388

6.05

13.2

44

286

4.61

SOURCE: Francois, 1986.

Compared with guayule, Chrysothamnus has several advantages as a potential source of natural rubber. Guayule generally requires good soil, good moisture conditions, and good horticultural practices. Guayule must be grown in frost-free areas because freezing kills it. In contrast, Chrysothamnus grows on poor soil, on disturbed sites, and on saline soil. It is found from the hot desert of Arizona to the western arid regions of Canada; there are subspecies that grow at sea level and others that grow at 3,000 m. The rubber content of these plants is similar to that of guayule in natural populations.

Pulp and fiber

Phragmites australis, common reed, is an ancient marsh plant that has served in roofing, thatching, basketry, and fencing, as well as for fuel. It grows throughout the world in areas with saturated soils or standing water 2.5 m deep or less. The water can be fresh or moderately saline. Nearly any soil from peat to sand is tolerated. Little data exist for yields from managed stands. In the harvest of natural stands, however, productivity is consistently estimated to be about 10 dry tons per hectare. There is current use and broader interest in the manufacture of paper and other cellulose derivatives from this plant.

In Romania, 125,000 tons of Phragmites are harvested in the Danube delta each year for use in papermaking. The pulp from these reeds is blended with wood pulp to give a stronger final product.

In Sweden, extensive stands of Phragmites have been suggested as an alternative fuel for winter heating. This reed has about 40 percent (by weight) of the energy content of heating oil.

In Egypt, two rushes, Juncus rigidus and J. acutus, have been investigated with particular emphasis on their potential use in papermaking. In pilot-level testing, the strength properties of unbleached J. ripidus pulp were found to be 73 percent of the kraft pulp ordinarily used. In similar tests, rice straw and bagasse pulps gave only 24 and 42 percent of the strength of kraft pulp.

TABLE 15 Germination of Juncus spp. Wit Increasing Salinity.

Germnation %

NaCl%

at 25°C

0.1

1.0

2.0

3.0

J. rigidus

100

100

95

63

J. acutus

15

5

0

0

SOURCE: Zahran and El Demerdash, 1984.

In germination and propagation testing, J. rigidus was much more salt-tolerant than J. acutus. Germination results are shown in Table 15.

When rhizomes of these two species were planted on saline test plots, the vegetative yield of J. rigidus was almost twice that of J. acutus. In studies of the effects of nitrogen and phosphorus fertilizers, vegetative yields and fiber lengths in both species were improved.

Increased fiber lengths are an indicator of improved performance in papermaking.

J. rigidus has also been introduced to India from Egypt. Germination, seedling growth, and evaluation of nine-month culms in India indicate that 1.5-2.0 tons per hectare of pulp for papermaking can be produced on saline soil.

The textile screw pine, Pandanus tectorius, abounds in tidal flats of Southeast Asia, Malaysia, and Polynesia. The leaves are traditionally and widely used for thatching and basketry. They are also used to fashion wallpaper and lampshades.

Esparto grass (Stipa tenacissima) grows in semiarid areas of North Africa. It covers more than 7 million hectares in Algeria and 1.5 million hectares in Tunisia. It has been used for more than a century in papermaking. The paper produced from this fiber is smooth, opaque, and resilient. A paper mill in central Tunisia produces more than 70,000 tons of pulp and paper from this grass, and 20,000 rural families find seasonal work harvesting the crop. In addition, a vegetable wax extracted from the grass before pulping can be used as a substitute for carnauba wax.

The southern cattail, Typha domingensis, is the only Typha species that does well in brackish water. It flourishes along the eastern coast of the United States, the Caribbean Islands, and tropical America and Oceania. Its leathery leaves are woven into durable baskets and mats, and are also used for chair seats and backs.

In Pakistan, irrigation with 17 dS/m water gave yields of 5.5 kg per m2per year of Saccharum griffithii. The roots of this grass are used for rope and mats, and the leaves are used to produce paper pulp.

Kenaf, Hibiscus cannabinus, is an annual native to east-central Africa with a fiber content of about 35 percent. Yields of 6-10 tons of dry fiber per acre are possible in five months.

Although the projected use of the fiber in the southern United States is for producing newsprint, a major current product from the plant is cordage, which is used for carpet pads, twine, rope, and fiber bags.

In recent work at the U.S. Salinity Laboratory, kenaf was irrigated with water having ECs of up to 6.0 dS/m. Vegetative growth was unaffected by irrigation water salinity up to 4.6 dS/m.

Each unit increase above 4.6 dS/m reduced vegetative yield by 36 percent.

Hibiscus tiliaceus, a shrub or small tree, is found near sea shores, mangrove swamps, and tidal streams throughout the tropics. The bark fiber is used for ropes, fishing lines, and nets.

Urochondra setulosa is a halophytic grass of the Indus delta and saline marsh flats of the Pakistan coast. This plant dominates sites with ECs of 34-62 dS/m. It merits evaluation as a fiber source.

Cotton (Gossypium hirusutum) production using saline water has been examined in the United States, India, Israel, and Tunisia. In Israel, using drip irrigation and four levels of water quality (EC = 1.0, 3.2, 5.4, and 7.3 dS/m), salinity did not reduce yields even at the highest level. In the United States, cotton was drip irrigated with 8.5 dS/m saline water on saline soil in the presence of a saline water table. The yields were equal to that of a control plot that was irrigated with fresh water.

In India, three cotton varieties were reduced in growth and yield when irrigated with seawater diluted to 10,000 and 15,000 ppm salts. In Tunisia, two varieties of cotton were grown with irrigation water containing 0.25, 1.43, 2.43, and 3.45 g per liter of soluble salts. Yield increases of 30-34 percent were obtained at the highest salt level.

Palms

Several salt-tolerant palms are sources of fiber and other materials for a wide variety of uses.

Fronds from the nipa palm, for example, are also used for thatching, basketry, mats, and similar applications.

Cocos nucifera, the familiar coconut palm, is commonly found on sandy beaches but also occurs in low marshy areas occasionally flooded by seawater. The uses of the nut for food, its value as a source of oil, and tapping of the inflorescence for toddy and sugar are all well known. In addition, leaves are used for thatching, walls, and screens, and leaflets are woven into baskets, plates, hats, mats, and other articles for daily use. Fibers from the husk are used for brushes, mats, twine, rope, stuffing for mattresses and upholstery, and for caulking boats.

Elaeis oleifera is found in coastal swamp forests from the lower basin of the Amazon to southern Mexico. Often called the American oil palm, it is closely related to the African oil palm (E. guineensis). The fruits are a source of oil, tallow, and chicken feed. The tree has a low-growing habit, which simplifies fruit harvest.

Licuala spinosa is a palm found in tidal forests immediately behind the mangroves from the Malay Peninsula to the Andaman Islands. Its leaves are used for roofing and for wrapping food.

Manicaria saccifera, the monkey-cap palm, occurs in tidal swamps in Central America and northern South America. The leaves are used for roofing and for covering boats. The fibrous inner bract is made into fiber for bags, mats, hats, and other personal articles. Its oil is suitable for soapmaking.

Oncosperma fillimentosa, the nibung palm, grows on brackish lowlands just behind mangrove stands in India, Sri Lanka, and the Philippines. The trunk is used for construction and the spines are used as darts in blowpipes and as tips on fish spears. The leaves are used for making baskets and the bracts as buckets.

Raphia taedigera, the pine cone palm, is found in marshes from the lower Amazon north to Costa Rica. Its multiple short trunks are used for walls in native dwellings and its fibers are used for fishing nets and cordage. Raphia vinifera, the bamboo palm, grows in tidal bays and creeks in tropical West Africa.


FIGURE 4: Callophyllolide. A promising agent for the treatment of inflammatory and rheumatic conditions, callophyllolide, has been isolated from the seeds of Calophyllum inophyllum, a plant of coastal southern India, Burma, and Sri Lanka. Source: R. C. Saxena et al., 1982

Fiber from the leaf bases is used for fishing lines and for animal snares and cordage. It is also exported for use in the manufacture of brooms, industrial brushes, and upholstery stuffing.

Bioactive derivatives

Callophyllolide (Figure 4), a complex 4-phenyl coumarin, has been isolated from the seeds of Calophyllum inophyllum (Alexandrian laurel), a common evergreen tree of coastal southern India, Burma and Sri Lanka. In preliminary testing against oxyphenbutazone, a widely prescribed antiinflammatory, callophyllolide appears promising for the treatment of inflammatory and rheumatic conditions. The seed oil can also be saponified to give a soap with antibacterial properties. Extracts of the bark and leaves of C. inophyllum are used in traditional Indian medicine. These extracts have been qualitatively analyzed to show the presence of steroids and alkaloids.

The fruits of Balanites roxburghii are a potential source of diosgenin, a precursor for the synthesis of a number of steroidal drugs. The ripe fruits can contain 3-4 percent diosgenin.

Diosgenin has great versatility. Progesterone and orally active progesterone analogues can be readily produced from diosgenin through chemical synthesis and cortisone and other useful corticosteroid hormones by microbial synthesis. For the manufacture of most current contraceptive drugs, however, the preferred starting material is sitosterol from soybean oil extraction wastes.

A recent discussion paper published by FAO suggests that diosgenin could be produced in the Sudan from the fruits of Balanites aegyptiaca. The paper calculates that the Sudan could produce 1,200 tons per year, enough to meet about half the world demand and earn an export income of $36 million.

The neem tree (Azadirachta indica) has great potential for agricultural and commercial exploitation. It is a fast-growing tree that can be established on poor soils unsuitable for farming. Fruiting begins at about five years. Although neem seed oil is inedible, it is traditionally used in soapmaking. More importantly, neem seed extracts are effective in the control of several insect pests. The extracts act both as antifeedants and pesticides, and appear to be nontoxic to humans and animals. Neem seedlings have been grown successfully in Pakistan on sandy soil using irrigation water with an EC of 17 dS/m. A neem plantation has been established near Mecca in Saudi Arabia to provide shade for Muslim pilgrims. Water with an EC of 4.25 dS/m is used for irrigation.

Various extracts of Adhatoda vasica, a salt-tolerant evergreen shrub common in India, are effective as antifeedants, insecticides, viricides, and as wound healing agents for water buffalo.. The alkaloid vasicine is found in the leaves and bark at 0.2-0.4 percent. Extracts are also used in commercial preparations for the treatment of asthma and bronchitis. A. vasica has also been grown as a firewood crop.

The perennial herb Anemopsis californica is found in semisaline and alkaline wetland soils in the southwestern United States and northwestern Mexico. It has long been esteemed for medicinal purposes in this region and continues to be widely used in Sonora. Extracts from the large roots (up to a meter in length) are used internally for colds, coughs, or indigestion, and externally for wounds or swellings. One of the active ingredients appears to be 4-allylveratrole, a mild antispasmodic.

Periwinkle (Catharanthue roseus), a tropical plant found in the coastal sands of India, has been found to grow under saline conditions (up to 12 dS/m). Catharanthus roots contain alkaloids used in the treatment of leukemia, and its leaves contain alkaloids reported to lower blood pressure.

TABLE 16 Bioactive Materials Isolated From Salsola Species.

Species

Compound

Amount

Potential Use

S. richteri

Salsolinol

---

Heart. stimulant, binds to brain neuroreceptors

S. kali

Salsolidine

0.2%

Antihypertensives,

S. richteri

and


vasodilators

S. ruthenica

Salsoline

0.2%


S. subaphylla

N-feruloylputrecine

---

Weakly antihypertensive

S. pestifer

Carotene

4.5 mg/100g

Vitamin

S. pestifer

Ascorbic acid

77 mg/100g

Vitamin

S. gemmascens

Citric acid

3.4%

Food additive

SOURCE: Adapted from Fowler, 1985.

Derris trifoliata, a climbing vine, abounds in mangrove forests and along muddy shores from East Africa to India and through Malaysia to Polynesia. The leaves, which contain rotenone, are pounded and put in shallow water to stun fish. Such toxicants can be used to eliminate predators and competitors in freshwater and brackish water ponds to be used for the culture of crustaceans and finfish.

Other mangrove vegetation has similar uses. The bark and seeds of Aegiceras corniculatum, Avicennia alba, Barringtonia asiatica, and the roots of Heritiera littoralis all contain a fish poison, and the milky sap of Excoecaria agallocha is used as a fish and arrowhead poison.

Citrullus colocynthis a creeping plant, occurs in the warmer parts of Asia and Africa. It is common on the seashores of western India and is used to control drifting sand in coastal Pakistan. The dried pulp of its unripe, full-grown fruit constitutes the drug colocynth, which is used as a cathartic.

In addition to the potential for Russian-thistle (salsola iberica) as a fodder source (p. 76), other salsola species contain recoverable amounts of bioactive materials. Some of these are shown in Table 16.

TABLE 17 Salt-Tolerant Omamental Plants.


Flower

Flowering

Average

Salt

Plant

Color

Season

Height(m)

Resistance

Trees:





Acacia gerrardii

cream

July-Oct

5

1

A. horrida

yellow

May-Sept

8

1

A. raddiana

cream

Mar-Apr

5

1


Oct-Dec



A. salicina

cream

Mar and Sept

8

1

A. tortilis

cream

Spring and Fall

5

1

Casuarina

glauca

Apr

8

1

Conocarpus erectus



5

1

Elaeagnus





angustifolia

white

Apr-May

4

1

Eucalyptus sargentii

yellowish-


6

2

white




Moringa peregrina

white

Mar-May

6

1

to pink




Parkinsonia aculeata

yellow

May-June

8

2

Phoenix dactylifera



12

2

Prosopis juliflora

white

Apr-May

6

1

Tarnarix aphylla

white

May-June

8

2

Shrubs:





Atriplex barclayana



1.5

2

A. cinerea



1

2

A. nummularia



1.5-2

2

Callistemon rigidus

red

Apr

2

1

Cassia mexicana

yellow

Apr-Sept

0.5-0.75

1

Colutea istria

yellow

Mar-Apr

2

1

Maireana sedifolia



2

2

Melaleuca nesophila

lilac

May-July

3

1

Retama raetam

white/

Mar-Apr

2

1

purple




Tamarix chinensis

violet


3

1

"mapu"





Succulents and Semi-Succulents:





Agave americana

white

Apr-July

2

1

Arthrocnemum





fruticosum*



0.6

3

A. macrostachyam



0.5

3

Batis maritima



0.3

3

Biennial and Perennial Ground Cover:





Arctotis grandis

assorted

Dec-Apr


1

Aster alpinus

blue

Dec-Apr


1

Catharansus roseus

white/

Most of year


1

pink




Cineraria maritima

violet

Apr-June


1

Crithmum rnaritimum

yellow

May-June


2

Gazania splendens

assorted

Dec-May


1

Inula crithmoides

yellow

June-July


3

Nitraria billardieri

white

Apr-May


3

Sesuvimn verrucosum

lilac

June-July


3

Lawn Grasses:





Cynodon dactylon




2

Paspalum vaginatum




2

Salt resistance: arbitrary degrees according to soil electrical conductivity:
1 = 5-15 dS/m; 2 =15-25 dS/m; 3 = 25-50 dS/m.
*Thrives under conditions of waterlogging.
SOURCE: Adapted from Pasternak et al., 1986.

Landscape and ornamental use

Many attractive halophytes can be used as landscape plants, especially in areas with constraints on the use of fresh water for watering or irrigation. In Israel, trees such as Conocarpus erectus, Eucalyptus sargentii, and Melaleuca halmaturorum, and shrubs such as Maireana sedifolia, Borrichea frutescent, and Clerodendrum inerme are sold for amenity planting to allow irrigation with saline water.

A selection of salt-tolerant ornamental plants is shown in Table 17. The striking floral display of the Butea monosperma tree (p. 63) has earned it the name "flame of the forest." In addition, plants such as Limonium species have potential for floral use. For example, sea lavender (Limonium axillare) can be irrigated with seawater and used to produce cut flowers.

References and selected readings

General

Balandrin, M. F., J. A. Klocke, E. S. Wurtele and W. H. Bollinger. 1985. Natural plant chemicals: sources of industrial and medicinal materials. Science:1154-1160.
Hinman, C. W. 1984. New crops for arid lands. Science 225:1445-1448.
Vietmeyer, N. D. 1986. Lesser-known plants of potential use in agriculture and forestry. Science 232:1379-1384.

Essential Oils

Kewda

Dutta, P. K., H. O. Saxena and M. Brahman. 1987. Kewda perfume industry in India. Economic Botany 41:403-410.

Mentha and Other Species

Chandra, V., A. Singh and L. D. Kapoor. 1968. Experimental cultivation of some essential oil bearing plants in saline soils. Perfume and Essential Oil Review. December:869-o73.
Graven, E. H., B. Gardner and C. Tutt. 1987. Essential oils - new crops for Southern Africa. Ciskei Agricultural Journal 1:2-8.
Patra, P. and P. K. Dutta. 1979. Studies on salinity tolerance in aromatic and medicinal plants. Journal of the Orissa Botanical Society 1(1):17-18.
Piprek, S. R. K., E. H. Graven and P. Whitfield. 1982. Some potentially important indigenous aromatic plants for the eastern seaboard areas of Southern Africa. World Crops 10(4):255-263.

Gums, Oils and Resins

General

Forti, M. 1986. Salt tolerant and halophytic plants in Israel. Reclamation and Revegetation Research 5:83-96.

Greek, B. F. 1987. Modest growth ahead for rubber. Chemical and Engineering News 66(12):25-51.

Sesbania

Chabda, Y. R. (ed.). 1972. Sesbania. The Wealth of India. 1X:293-303. CSIR, New Delhi, India.
Chandra, V. and M. I. H. Faroogi. 1979. Dhaincha for seed gum. Extension Bulletin No. 1 National Botanical Research Institute, Lucknow, India.
Gorham,J., E. McDonnell and R. G. Wyn Jones. 1984. Pinitol and other solutes in salt-stressed Sesbania aculeata. Zeitschrift fur Pflanzenphysiologie 114:173-178.

Grindelia

Hoffmann, J. J. and S. P. McLaughlin. 1986. Grindelia camporum: potential cash crop for the arid southwest. Economic Botany 40:162-169.
Schuck, S. M. and S. P. McLaughlin. 1988. Flowering phenology and outcrossing in tetraploid Grindelia camporum Greene. Desert Plants 9(1):7-16.
Timmerman, B. N. and J. J. Hoffmann. 1985. The potential for the commercial utilization of resins from Grindelia camporum. Pp. 1321-1339. in: E. E. Whitehead, C. F. Hutchinson, B.
N. Timmermann, and R. G. Varady (eds.) Arid Land& Today and Tomorrow. Westview Press, Boulder, Colorado, US.

Larrea tridentata

Belmares, H. and A. Barrera. 1979. Polymerization studies of creosote bush (Larrea tridentata) phenolic resin with formaldehyde. Journal of Applied Polymer Science 24:1531-1537.
Belmares, H., A. Barrera, M. Ortega and M. Monjaras. 1980. Adhesives from creosote bush (Larrea tridentata) phenolic resin with formaldehyde. Characteristics and application. Journal of Applied Polymer Science 25:2115-2118.

Sapium sebiferum

Chadha, Y. R. (ed.). 1972. Sapium. Wealth of India. 1X:229-231. CSIR, New Delhi, India.
Scheld, H. W. and J. R. Cowles. 1981. Woody biomass potential of the Chinese tallow tree. Economic Botany 35:391-397.
Scheld, H. W., J. R. Cowles, C. R. Engler, R. Kleiman and E. B. Shultz, Jr. 1984. Seeds of the Chinese tallow tree as a source of chemicals and fuels. Pp. 81-101 in: E. B. Shultz, Jr. and R. P. Morgan (eds.) Fuels and Chemicals from Oilseeds. Westview Press, Boulder, Colorado, US.

Jojoba

Baldwin, A. R. (ed.) 1988. Proceedings: 7th International Conference on Jojoba and its Uses.
American Oil Chemists Society, Chicago, Illinois, US.
Bhatia, V. K., A. Chaudhry, A. Masohan, R. P. S. Bisht and G. A. Sivasankaran. 1988.
Sulphurization of jojoba oil for application as extreme pressure additive. Journal of the American Oil Chemists Society 65(9):1502-1507.

Guayule

Francois, L. E. 1986. Salinity effects on four arid zone plants (Parthenium argentatum, Simmondsia chinensis, Kochia prostrata and Kochia brevifolia). Journal of Arid Environments 11:103-109.
Hoffman, G. J., M. C. Shannon, E. V. Mass, L. Grass. 1988. Rubber production of salt- stressed guayele at various plant populations. Irrigation Science 9:213-226.
Maas, E. V., T. J. Donovan and L. E. Ftrancois. 1988. Salt tolerance of irrigated guayule. Irrigation Science 9:199-212.
Miyamoto, S. and D. A. Bucks. 1985. Water quantity and quality requirements of guayule: current assessment. Agricultural Water Management 10:205-219.

Chrysothamnus

Ostler, W. K., a. M. McKell and S. White. 1986. Chrysothanus nauseosus: a potential source of natural rubber. Pp. 389-394 in Proceedings - Symposium on the Biology of Artemisia and Chrysothamnus. USDA, Ogden, Utah, US.
Weber, D. J., D. F. Hegerhorst, T. D. Davis and E. D. McArthur. 1987. Potential uses of rubber rabbitbrush (Chrysothamnus nauseosus). Pp. 27-33 in: K. L. Johnson (ed.) The Genus Chrysothamnus. Utah State University, Logan, Utah, US. Pulp and Fiber
Reed de la Cruz, A. A. 1978. The production of pulp from marsh grass. Economic Botany 32:46-50. de la Cruz, A. A. and G. R. Lightsey. 1981. Pulping Characteristics and Paper Making Potential of Non-wood Wetland Plants. Sea Grant Publication MASGP80-016. Ocean Springs, Mississippi 39564, US.
Graneli, W. 1984. Reed Phragmites australis as an energy source in Sweden. Biomass 4:183-208.
Iyengar, E. R. R. and J. B. Pandya. 1983. Juncus rigidus for saline soils. Indian Journal of Agricultural Chemistry 16(1):147-152.
Zahran, M. A. and M. A. El Demerdash. 1984. Transplantation of Juncus rigidus in the saline and non-productive lands of Egypt. Pp. 75-131 Research in Arid Zones. Report No. 17, International Foundation for Science' Stockholm, Sweden.
Zahran, M. A. 1986. Establishment of fiber producing halophytes in salt affected areas of Egypt. Pp. 235-251 in: R. Ahmad and A. San Pietro (eds.) Prospects for Biosaline Research. University of Karachi, Karachi, Pakistan.

Typha

Morton, J. F. 1975. Cattails (Typha spp.) - a weed problem or potential crop? Economic Botany 29:7-29.

Saccharum griffithii

Ahmad, R. 1987. Saline Agriculture at Coastal Sandy Belt. University of Karachi, Karachi, Pakistan.

Hibiscus

Francois, L. E., T. J. Donovan and E. V. Maas. 1988. Salt tolerance of kenaf. Presented at 1st National Symposium for New Crops: Research, Development, Economics. October 23-26, 1988. Indianapolis, Indiana, US.
Kugler, D. E. 1988. Kenaf Newsprint: Realizing Commercialization After Four Decades of Research and Development. USDA, Washington, DC, US.
Sastri, B. N. (ed.). 1959. Hibiscus. The Wealth of India. V:75-98. CSIR, New Delhi, India.

Cotton

Ayars, J. E., R. B. Hutmacher, R. A. Schoneman, S. S. Vail and D. Felleke. 1986. Drip irrigation of cotton with saline drainage water. Transactions of the ASAE 29(6):1668-1673.
Babu, V. R., S. N. Prasad, A. M. Babu and D. S. K. Rao. 1987. Evaluation of cotton genotypes for tolerance to saline water irrigations. Indian Journal of Agronomy 32(3):229-231.
Bouzaidi, A. and S. El Amami. 1980. Irrigation a l'eau salee de deux variates de cotonnier dans les essais de plein champ. Physiologie Vegetale 18(1):35-44.
Dean, P. 1981. Two-bale cotton with high-salt water. Agricultural Research (October):10-11.
Iyengar, E. R. R., J. B. Pandya and J. S. Patolia. 1978. Evaluation of cotton varieties to salinity stress. Indian Journal of Plant Physiology 21(2):113-117.
Mantell, A., H. Frenkel and A. Meiri. 1985. Drip irrigation of cotton with saline-sodic water. Irrigation Science 6:95-106.
Nawaz, A., N. Ahmad and R. H. Qureshi. 1986. Salt tolerance of cotton. Pp. 285-291 in: R. Ahmad and A. San Pietro (eds.) Prospects for Biosaline Research University of Karachi, Karachi, Pakistan.

Palms

Balick, M. J. 1979. Amazonian oil palms of promise: A survey. Economic Botany 33:11-28.
Morton, J. F. 1976. Craft industries from coastal wetland vegetation. Pp. 254-266 in: M. Wiley (ed.) Estuarine Processes. Vol. 1. Academic Press, New York, New York, US.
Pinheiro, C. U. B. and M. J. Balick. 1987. Brazilian Palm&: Notes on their Uses and Vernacular Names. New York Botanical Garden, Bronx, New York, US. Plotkin, M. J. and M. J. Balick. 1984. Medicinal uses of South American palms. Journal of Ethnopharmacology 10(2):157-179.

Bioactire Derivatives

Calophyllum inophyllum

Mehrotra, S., R. Mitra and H. P. Sharma. 1986. Pharmacognostic studies on punnaga, Galophyllum inophyllum L., leaf and stem bark. Herba Hungaria 25(1):45-71.
Saxena, R. C., R. Nath, G. Palit, S. K. Nigam and K. P. Bhargava. 1982. Effect of calophyllolide, a nonsteroidal anti-inflammatory agent, on capillary permeability. Planta Medica. Journal of Medicinal Plant Research 44(4):246-248.
Guevara, B. Q. and R. C. Solevilla. 1983. An antibacterial soap from bitaog oil. Acta Manilana A, Natural and Applied Sciences 22(11):62-64.

Balanites roxburghii

Ghanim, A., I. Chandrasekharan, V. A. Amalraj and H. A. Khan. 1984. Studies on diosgenin content in fruits of Balanites roxburghii. Transactions of the Indian Society of Desert Technology and University Center of Desert Studies 9(2):21-22.
National Research Council. 1987. Workshop on Biotechnology of Steroid Compounds as Contraceptives and Drugs. Summary Report. National Research Council, Jakarta, Indonesia, and National Academy Press, Washington, DC, US.

Azadirachta indica

Ahmed, S., S. Bamofleh and M. Munshi. 1989. Cultivation of neem (Azadirachta indica, Meliaceae) in Saudi Arabia. Economic Botany 43:35-38.
Ahmed, S. and M. Grainge. 1986. Potential of the neem tree (Azadirachta indica) for pest control and rural development. Economic Botany 40:201-209.
Deshmukh, P. B. and D. M. Renapurkar. 1987. Insect growth regulatory activity of some indigenous plant extracts. Insect Science ant Its Application 8(1):81-83.
Kasmi, S. M. A. 1980. Melia azadirachta - A most common cultivated tree in Somalia. Somalia Range Bulletin 9:20-23.
Radwanski, S. A. and G. E. Wickens. 1981. Vegetative fallows and potential value of the neem tree (Azadirachta indica) in the tropics. Economic Botany 35:398-414.
Saxena, R. C. 1989. Insecticides from neem. Pp. 110-135 in: J. T. Arnason, B. J. R.
Philogene and P. Morand (eds.) Insecticides of Plant Origin. American Chemical Society, Washington, DC, US.

Adhatoda vasica

Arambewela, L. S. R., C. K. Ratnayake, J. S. Jayasekera and K. T. D. De Silva. 1988. Vasicine contents and their seasonal variation in Adhatoda vasica. Filoterapia 59(2):151-153.
Bhargava, M. K., H. Singh, A. Kumar and K. C. Varshney. 1986. Athatoda vasica as wound healing agent in buffaloes - histological and histochemical studies. Indian Journal of Veterinary Surgery 7(2):29-35.
Saxena, B. P., K. Tikku, C. K. Atal and O. Koul. 1986. Insect antifertility and antifeedant allelochemics in Adhatota vasica. Insect Science ant Its Application 7(4):489-493.
Tripathi, R. N., R. K. R. Tripathi and D. K. Pandey. 1981. Assay of antiviral activity in the crude leaf sap of some plants. Environment India 4(1/2):86-87.

Anemopsis californica

Childs, R. F. and J. R. Cole. 1965. Phytochemical and pharmacological investigation of Anemopsis, californica. Journal of Pharmaceutical Sciences 54(5):789-79l.
Ezcurra, E., R. S. Felger, A. D. Russell and M. Equihua. 1988. Freshwater islands in a desert sand sea: the hydrology, flora, and phytogeography of the Gran Desierto oases of northwestern Mexico. Desert Plants 9(2):35-44,55-63.

Mangrove Toxicants

De la Cruz, A. A., E. D. Gomez, D. H. Miles, G. J. B. Cajipe and V. B. Chavez. 1984. Toxicants from Mangrove plants: I. Bioassay of crude extracts. International Journal of Ecological and Environmental Science 10:1-9.
Gomez, E. D., A. A. de la Cruz, V. B. Chavez, D. H. Miles and G. J. B. Cajibe. 1986. Toxicants from mangrove plants: II. Toxicity of aqueous extracts to fish. The Philippine Journal of Science 115(2):81-89.
Miles, D. H., D.-S. Lho, A. A. de la Cruz, E. D. Gomez, J. A. Weeks and J. L. Atwood. 1987. Toxicants from mangrove plants III. Heritol, a novel ichthyotoxin from the mangrove plant Heritiera littoral),. Journal of Organic Chemistry 52:2930-2932.

Citrullus colocynthis

Bringi, N. V. 1987. Lesser known tree-borne oil seeds. Pp. 216-248 in: N. V. Bringi (ed.) Non-Traditional Oil, and Oilseeds of India. Oxford and IBH Publishing Co., New Delhi, India.
Sastri, B. N. (ed.). 1950. Citrullus colocynthis. Wealth of India. II:185-186. CSIR, New Delhi, India.

Russian-Thistle

Fowler, J. L., J. H. Hageman, and M. Suzukida. 1985. Evaluation of the Salinity Tolerance of Russian Thistle to Determine its Potential for Forage Production Using Saline Irrigation Water. New Mexico Water Resources Institute, Las Cruces, New Mexico, US.

Landscape and Ornamental Use

Pasternak, D., J. A. Aronson, J. Ben-Dov, M. Forti, S. Mendlinger, A. Nerd and D. Sitton. 1986. Development of new arid zone crops for the Negev Desert of Israel. Journal of Arid Environments 11:37-59.
Verkade, S. D. and G. E. Fitzpatrick. 1988. Development of the threatened halo phyte Mallontonia gnaphalodes as a new ornamental crop. Presented at 1st National Symposium for New Crops: Research, Development, Economics. October 23-26, 1988. Indianapolis, Indiana, US.

Research contacts

Essential Oils

V. Chandra, National Botanic Gardens, Lucknow 226001, India
P. K. Dutta, Aromatic and Medicinal Plants Division, Regional Research Laboratory, Bhubaneswar 751013, Orissa, India.
Earl Graven, Head, Department of Agronomy, University of Fort Hare, Alice 5700, Ciskei, South Africa.

Gums, Oils and Resins

General

V. Chandra, National Botanic Gardens, Lucknow 226001, India.
M. Forti, The Institutes for Applied Research, Ben Gurion University, PO Box 1025, 84110 Beer-Sheva, Israel.
E. Rodriguez, Phytochemical Laboratory, School of Biological Sciences, University of California, Irvine CA 92717, US.

Dhaincha

R. G. Wyn Jones, Center for Arid Zone Studies, University College of North Wales, Bangor, Wales, LL57 2UW, UK
V. Chandra, National Botanical Research Institute, Lucknow 226001, India.

Grindelia

Stephen P. McLaughlin, Bioresources Research Facility, University of Arizona, 250 E. Valencia Road, Tucson, AZ 85706, US.

Creosote Bush

Hector Belmares, Centro de Investigascion en Quimica Aplicada, Aldama Ote. 371, Saltillo, Coahuila, Mexico.

Chinese Tallow Tree

Robert Kleiman, USDA Northern Regional Research Center, 1815 North University, Peoria, IL 61604, US.

H. W. Scheld, PhytoResource Research, Inc., 707 Texas Avenue - Suite 202D, College Station, TX 77840, US.
E. B. Shultz, Jr., Box 1106, Washington University, St. Louis, MO 63130, US. Jojoba
Hal C. Purcell, Jojoba Grower's Association, 3420 East Shea - Suite 125, Phoenix, AZ 85028, US.
David Palzkill, Department of Plant Sciences, University of Arizona, Tucson, AZ 85721, US.
John Rothfus, USDA Northern Regional Research Center, 1815 North University, Peoria, IL 61604, US.

Chrysothamnus nauseosus

D. J. Weber, Department of Botany and Range Science, Brigham Young University, Provo, UT 84602, US.

Guayole

Joseph Beckman, Firestone Tire and Rubber Company, 1200 Firestone Parkway, Akron, OH 44317, US.
D. A. Bucks, US Water Conservation Laboratory, 4331 East Broadway, Phoenix, AZ 85040, US.
S. Miyamoto, Texas Agricultural Experiment Station, 1380 A&M Circle, El Paso, TX 79927, US.

Pulp and Fiber

Cotton

James E. Ayars, USDA-ARS, WMRL, Fresno, CA 93700, US.
A. Mantell, Institute of Soils ant Water, Agricultural Research Organization, The Volcani Center, Bet Dagan, Israel.
Akhtar Nawaz, Department of Soil Science, University of Agriculture, Faisalabad, Pakistan.
James D. Rhoades, USDA Salinity Research Laboratory, 4500 Glenwood Drive, Riverside, CA 92501, US.

Reed

Armando A. de la Cruz, Department of Zoology, Mississippi State University, MI 39762, US.
Wilhelm Graneli, Institute of Limnology, Box 3060, S-22003 Lund, Sweden.
E. R. R. Iyengar, Central Salt and Marine Chemicals Research Institute, Bhavnagar 364 002,

India.

M. A. Zahran, Botany Department, Mansoura University, Mansoura, Egypt. Esparto Grass Director, Institut National de Recherches Forestieres, Ministere de l'Agriculture, Route de la Soukra, B.P. 2, Ariana, Tunisia.

Typha

J. F. Morton, Morton Collectanea, University of Miami, Coral Gables, FL 33124, US.

Kenaf/Hibiscus

Charles Adamson, USDA Plant Introduction Center, Route 1, Sharpsburg, GA 30277, US.
Marvin O. Bagby, USDA Northern Regional Research Center, 1815 North University, Peoria, IL 61604, US.
L. E. Francois, US Salinity Laboratory, 4500 Glenwood Drive, Riverside, CA 92501, US. Palms
M. J. Balick, New York Botanical Garden, Bronx, NY 10458, US.
J. F. Morton, Morton Collectanea, University of Miami, Coral Gables, FL 33124, US.

Bioactive Derivatives

Calophyllum inophyllum

S. Mehrotra, Pharmacognosy Section, National Botanical Research Institute, Lucknow 22600, India.
R. C. Saxena, Department of Pharmacology, King George's Medical College, Lucknow 226003, India.

Balanites roxburghii

A. Ghanim, Central Arid Zone Research Institute, Jodhpur 342 003, India.

Azadirachta indica

S. A. Radwanski, Land Resources Consultancy, 361 Wimbledon Park Road, London SW196PE, UK.
G. E. Wickens, Royal Botanic Gardens, Kew, Surrey, TW9 3AB, UK. Commiphora wightii
S. Kumar and V. Shankar, Central Arid Zone Research Institute, Jodhpur 342003, India.

Catharanus roseus

P. K. Dutta, Aromatic and Medicinal Plants Division, Regional Research Laboratory,Bhubaneswar 751013, Orissa, India.

Landscape and Ornamental Use

Dov Pasternak, Institute for Desert Research, Ben Gurion University, Sede Boger 84990, Israel.
Stephen D. Verkade, University of Florida, 3205 College Avenue, Fort Lauderdale, FL 33314, US.

TO PREVIOUS SECTION OF BOOK TO NEXT SECTION OF BOOK