Back to Home Page of CD3WD Project or Back to list of CD3WD Publications

CLOSE THIS BOOKBioconversion of Organic Residues for Rural Communities (UNU, 1979, 178 p.)
Analysis of energy cost of integrated systems
VIEW THE DOCUMENT(introduction...)
VIEW THE DOCUMENTEnergy cost and energy requirement
VIEW THE DOCUMENTWhy energy analysis?
VIEW THE DOCUMENTNet energy intensity
VIEW THE DOCUMENTWhat criteria are offered by energy analysis?
VIEW THE DOCUMENTConclusion
VIEW THE DOCUMENTReferences

Bioconversion of Organic Residues for Rural Communities (UNU, 1979, 178 p.)

Analysis of energy cost of integrated systems

Energy cost and energy requirement
Why energy analysis?
Net energy intensity
What criteria are offered by energy analysis?
Conclusion
References

Malcolm Slesser

Systems Analysis Division, Joint Research Centre, Commission of the European Communities, Ispra, Italy

In recent years, there has been a burgeoning interest in what is sometimes called the "energy cost" of goods and services. The purpose of this paper is to explain what is meant by "energy cost" and how such numbers can usefully be employed to evaluate systems, such as the conversion of organic residues. In doing so, I must touch on the methodology used to obtain the numbers, but this does not represent a major part of the paper, for it is liberally described in the literature (1, 2).

Energy cost and energy requirement

The words "energy cost" are no longer used among professional energy analysts. Cost is a word reserved for money, and the term now used is "energy requirement", and the process of analysis, energy analysis. Energy cost is relegated to its old meaning, that is to say, the cost (in money terms) of energy used. Money cost is what must be paid in the marketplace to buy a product or have a service rendered. By the time it reaches the market, that cost reflects all the inputs that have gone into making the product or providing the possibility of the service, including raw materials, energy, labour, profit, rent, royalty, interest, and so on. Only experience with the market allows judgement on whether the price is fair or exorbitant.

It is important to note that money cost can be judged by experience - an empirical process. If I am suddenly transported to a country with whose currency I am unfamiliar and seek to buy a shirt, I am at a loss to know whether I am getting a bargain or being cheated. I need much experience with that currency before I can make sensible economic decisions. This is because money is a value judgement, an abstraction. It has neither weight nor volume nor intensity. It is not a vector. It is a singularly clever invention, and because we all grow up with money as an everyday part of our lives, we have a feeling for it, but, as many learned works have demonstrated, no one quite under stands it, and as a device for estimating future costs it becomes steadily less reliable as we move into the future. Economists try to circumvent this by carrying out their accounting in constant money units, such as the current dollar, but even this invention fails eventually, because in due course what represents the average basket of goods changes, so like is no longer being compared with like. Nevertheless, money, as a basis for making an economic decision today about today, has no equal. Only as the future approaches does money fail us.

It was in this environment of uncertainty about money that energy as a numeraire of "cost" entered the picture. it was, of course, stimulated by the 1973 oil crisis, which for a time gave many people the feeling that the world was about to run short of energy. Unfortunately, as a result, energy analysis came to be associated with a pessimistic view of resources, and was thus instinctively rejected by anyone of a more optimistic turn of mind. It was also rejected by the economics profession (3). Energy analysis, with its methodological procedure for finding the energy requirement to provide a given good or service, is now an accepted activity, with reasonably well defined conventions. It is the job of energy analysts to use the numbers derived to interpret situations in the same way as economists use the computations of accountants or statisticians as the starting point for their broad analyses. Very rarely does an economist do an accountant's work, however. Some energy analysts do both the accounting and the analysis. Such is the nature of a young discipline.

To return to the words "energy requirement", they were chosen so that they would not be ambiguous. For example, if I wear a nylon shirt, the "gross energy requirement" (GER) of that shirt refers to the amount of the earth's energy stock that had to be sequestered in order to deliver it to me. Clearly, such a definition embraces all the energy that went to acquire the hydrocarbons that were subsequently changed into nylon, the energy to drive the process, the capital equipment, the transport, the life support system of the workers, and so on - even the operation of the store that sold it to me.

This definition can best be understood through the concept of system boundary. When carrying out an accounting procedure, one draws an envelope around the activity whose cost is to be accounted, e.g., a shirt factory. Perhaps the shirt factory buys in nylon thread. What it pays for that thread reflects many costs upstream. In an integrated system the thread may be made by the same company, but the company's accountants may wish to know the costs and profits of each section of the enterprise, so they divide the system into two or more envelopes, and work within two-system boundaries and thus compare added costs with added value.

In energy analysis there is the same choice, but it means less. In order that all energy requirement numbers be comparable to each other, and with money, it is necessary every time to go back to the same system boundary as money; that is to say, the point where the energy resource was as yet unexploited, i.e., as energy in the ground, and down-stream, the point of sale. The value so derived is the gross energy requirement mentioned earlier. Figure 1 depicts the analytical process illustrated by the simple example of crude oil from an offshore well. In the ground, crude oil has an energy content (as heat, burned in air) of about 45 MJ/kg, but to get it out of the ground requires some energy and much capital investment, which itself has an energy requirement.


Figure. 1. Energy Requirement of Scottish Off-shore Oil (Source: R. Peckham and K. Klitz, EUR 6062 EN, JRC Ispra, 1978)

In the North Sea this sum, in energy per kilogram of oil, is not large, yet by the time it reaches a pipeline in Scotland the value has risen to about 45.7 MJ/kg, and when refined and delivered through the refinery gates, may be something of the order of 49.8 MG/kg. That is to say, for every kilogram of refined oil that is delivered, some 49.8 MJ of energy resource has been irrevocably consumed. We can say that 49.8 - 46 = 4.8 MJ energy were needed to deliver 1 kg of oil. This kilogram of oil may be used in manufacturing a tractor, fertilizer, or even a nylon shirt.

When an energy analyst wishes to consider the energy used in only a part of the process, e.g., the step from natural gas to fertilizer, the number so derived is called the "process energy requirement" (PER), It is important to note that, whereas properly derived values of GER can always be compared, PER values can only be compared where the system boundaries are clearly described and identical. Personally, I never use PER values for too often find them misleading.

This definition of the GER affords no room for solar energy, and this is quite deliberate. GER refers to the amount of the earth energy stock used up (and it is irrevocably used up, for energy can only be used once). Solar energy is a flux, and falls upon us day in day out whether we use it or not. Often we use energy stocks for the manufacture of a product like fertilizer to catalyze the capture of solar energy, which is why, in an early paper (4), I used the phrase "energy subsidy to food production." Energy analysis makes a clear distinction between solar flux and stock energy consumption. Energy analyses of intensified land-based food production have demonstrated how wise it is to separate these two energy sources, for by computing only the GER we can quite accurately relate intensity of husbandry to intensity of energy use (Figure 2) (5).


Figure. 2. Protein Yield versus Energy Intensity of Food Production Systems (Source: M. Slesser et al. [5])

One final point is that I have been using the word "energy" in a quite incorrect manner. According to the first law of thermodynamics, energy can neither be lost nor gained. When I say that energy is irrevocably lost, I refer really to its second law potential: at the end of a transformation there is as much heat as there was at the beginning, but the quality of the energy has been degraded. This question of energy quality has to be treated carefully in energy analysis calculations, and leads to a number of different conventions (1, 2).

Why energy analysis?

Economic analysis recognizes that time is a non-renewable resource, so the unit of money today is more valuable than the same unit a year hence; in other words, future income and expenditure are discounted. To be meaningful, this discount rate must exceed the inflation rate, and the difference between these two values dictates the time horizon in the calculation. Ten per cent restricts the time horizon to about seven years; 2 per cent widens it to a century.

In these uncertain days, choosing an appropriate discount rate is more of a value judgement than a careful economic calculation. However, in principle, given sufficient information about costs and prices and markets, calculation can assess whether this or that activity, such as the conversion of organic residues, is a viable activity. What often renders such calculation suspect is the uncertainty surrounding so many of the factors, coupled today with the extreme uncertainty about discount rates and the price of energy. It is thus extremely easy to swing the "economics" in favour of a project or against it according to a broad range of quite reasonable assumptions. Admittedly, if it is proved that such and such a project yields a 100 per cent internal rate of return even in inflation-ridden Chile or Brazil, then it is certainly likely to be worth backing. But much of what we have to deal with lies in areas of much greater uncertainty. Energy analysis seeks to remove a great deal of that uncertainty, but does so at the expense of some loss of information.

As I indicated earlier, money cost enters into ail of the factors of production. Energy requirement looks at only one: the consumption of stored fossil or fossil energy. The problems of inflation, of discount rates, or judging future prices are not considered. On the other hand, the energy requirement of a product reveals nothing about the value the market puts on that product. That remains an empirical, behavioral observation. Many economists view this deficiency to be so great that it renders energy analysis useless, and even worse, to be apparently propagating a single-factor theory of value. This is because economists view energy as just one more input in the production system, rather than a factor like time - a resource that can be used once and only once.

Energy has a unique role. Elsewhere I have argued (6), as have others (7), that, given energy and technology, we can never actually run out of resources. They are abundant, but becoming harder and harder to exploit, and that difficulty can be most conveniently measured in terms of resource energy requirement. Even capital can be so measured, and the problem that is increasing rapidly in the world is the need to devote more and more capital and energy to obtain energy, thus expending more capital to get at resources. It follows that the wise and efficient use of energy is not merely an economic objective, but can reduce a community's capital expenditure.

Thus, an energy analysis that demonstrates the least energy-intensive route to a given product can be a most valuable criterion in system selection, but with a very important caveat: performance must be equal. By performance is meant the provision of the same service or the same intensity of production. For example, it is not unusual to find, in manufacturing processes, that the least energy-intensive route is often the most automated route, and thus the least labour-intensive. Energy minimization calculations have proved to be an excellent guide to the viability of house insulation. When energy analysis is used to account for biosystems, research workers frequently overlook the need to compare similar performance, e.g., similar intensities of production expressed in kilograms of product per unit land area.

Some carefully executed work by US researchers illustrates this point. Pimentel et al. (8) studied corn production, while Rawitscher and Mayer (9) examined energy expended in harvesting various kinds of seafood. In both instances figures show the energy consumption per unit of product without reference to intensity of production. In neither study did calculations go back to the same system boundary as money. The now well known paper of Pimentel et al. (8) on corn production as a function of time falls into an orderly pattern in terms of intensity of production, and his data appear as six points on the curve shown here in Figure 2.

Rawitscher and Mayer (9) discovered enormous variations in the energy requirement for harvesting different types of seafood, and drew some unwarranted conclusions from that information, yet the parallel study of Edwardson (10), who did measure intensities, shows that fish farming data fit on the same curve of production intensity versus energy intensity that is found with normal land-based cultivation.

In considering the analysis of energy costs of integrated systems, from an energy analysis perspective it makes no difference to the procedure whether the system is integrated or not. The judgement lies in comparing the energy analysis of an unintegrated as opposed to an integrated system. It should always be remembered that systems are there to serve people; people eat food and consume goods, and people generate their own energy requirements; this, too, should enter into the calculation.

Thus, energy analysis leads to a series of numbers, initially expressed as so much energy per product, and should be related to the level of intensification and integration (Figure 2). The next step, upon which much research still remains to be done, is to link energy requirement to relative costs. It is now increasingly appreciated (1, 111 that a doubling in the price of energy can eventually double prices, and that energy requirement influences the rate of change.

Net energy intensity

Energy analysis of biological systems reveals its strength most clearly when dealing with the net energy of systems aimed at producing energy, i.e., biomass systems (Table 1). Net energy is the output energy of the system minus all of the energy equivalents of inputs drawn from other parts of the economic system expressed as GJ/ha* yr.* The decision on which process to espouse will then depend on the relative value of a GJ of energy in relation to a hectare of land. Today a barrel of oil, delivered on site, costs perhaps US$20. Table 1 presents data on alcohol produced by enzyme hydrolysis of cassava tops. The net energy of such a process is in the order of 2.6 barrels of oil per hectare of land per year. Thus, the process can only be economical if land rent is less than $20 x 2.6 = $52/ha, which is a low price for land. Process 2 in the table can never be economical. Processes 3 and 4 are viable at land rents of less than $104 and $160 per ha, respectively. If land rents already exceed these levels, biomass systems can never succeed unless land is deliverately taken out of the market system.

TABLE 1. Net Energy of Photo-Biological Fuels

Fuel Raw material Process Net

energy*

GJ/ha

Equivalent

barrels of

oil/ha

Alcohol Cassava tops

+ tubers

1. Enzyme

hydrolysis

17. 2.6
Alcohol Eucalyptus 2. Acid

hydrolysis

- 180 - 27
Methane Cereal straw 3. Anaerobic

digestion

34. 5.2
Pyrolytic oil Eucalyptus 4 Flash

pyrolysis

52. 8.

Source: Rawitscher and Mayer 19). Net energy is the energy content of the product minus the GER of ail the inputs to make the product, but not counting solar energy, whose contribution is a function of land area, climate, latitude, and plant type

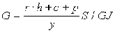
Net energy is related to cost. Consider a system of h hectares, having a land rent of r $/ha yr and a production system (growing, harvesting, and conversion) having an amortized cost of c $/yr and current inputs of p $/yr, yielding a gross output of Q GJ of biomass energy. If m is the internal recycle of that biomass energy, the apparent energy output of the system is y = Q - m. The true net energy is less, because c + p have an energy requirements given by c x lc + p x lp, where lc and lp are the energy intensities of capital and inputs, respectively (GJ/$).

Net energy/ha x yr,

While costs are

From this it follows that,

where

and

That is, cost drops as N increases. Empirical evidence on the few systems for which data are available suggests that biomass becomes economical at a net energy of about 100 GJ/ha x yr at present energy prices.

It is not always realized by proponents of biomass energy how land-intensive it is. Table 2 lists the land area that must be sequestered for one year to provide certain economic services (assuming a net energy of 100 GJ/ha x yr).

TABLE 2. Land Areas Sequestered for One Year for Biomass System of 100 GJ/ha x yr Net Energy to Provide the Services Listed Below

3,000 mile flight in Boeing 707 .15 ha/person
3,000 mile flight in jet .38 ha/person
Trucking 10 tons 1,000 miles .23 ha/ton
Air freighting 10 tons 1,000 miles 2.2 ha/ton
Making copper 1.0 ha/ton
Making nitrogen fertilizer .35 ha/ton
Pumping 1,000 m³ of irrigation .4 ha/1,000 m³
  or
water from 100 m depth .3 acre/acre-foot

What criteria are offered by energy analysis?

It is assumed that the criteria of social acceptability and pollution levels are analyzed separately. Energy analysis is a tool that offers three types of criteria:

a. A statement about actual energy use, direct and indirect. This is an accounting process. It is not difficult to do, but is often done inaccurately through failure to consider all factors. It can be used to interpret the impact of energy prices on costs.

b. A criterion of economic attractiveness. Here the task is to compare the GER of alternative methods, or to optimize around the least energy-intensive route per unit product, taking into account the GER of all inputs. However, this cannot be considered independent of the production intensity required. Table 3 and Figure 2 show how, even with skilful husbandry, intensification demands an energy requirement.

c. Evaluation of the net energy of biomass systems.

TABLE 3. Output of Selected Natural and Other Systems

  Energy ratio (output/fossil fuel input) Net energy GJ/ha-yr
Kung Bushman, Kalahari Desert infinite .003
Shifting cuttivators, Congo infinite .52
Tsenbaga tribe, New Guinea - yams infinite .47
sweet potatoes infinite .40  
Dodo tribes, Uganda 5.0 .64
Subsistence agriculture, indict 14.8 9.6
Rice, Tanzania 23.4 3.6
Corn, Mexico 30.6 28.5
Peasant farming, China 41.1 274.

Conclusion

Energy analysis offers a means of judging the appropriateness of a system, or its optimal form. This cannot be done without strict concern for the conventions, taking the analysis back to the same system boundary as money. The use of energy as a numeraire undoubtedly means loss of some information, so that for an immediate decision affecting a matter of short duration, money remains the best criterion. However, as the decision period stretches into the future, energy can provide a useful and stable alternative criterion.

References

1. Energy Analysis, Report No. 6, Int. Federation of Institutes for Advanced Study, Solna, Sweden, Ulriksdals Slott.

2. M. Slesser, Energy in the Economy, MacMillan, London and New York, 1978.

3. M Gilliland, Energy Analysis: A New Public Policy Tool, American Association for the Advancement of Science, West-view Press, Boulder, Colorado, 1978.

4. M, Slesser, "Energy Subsidy as a Criterion in Food Policy Planning," J. Sci. Food Agric. 24: 1193 - 1207 (1973).

5. M, Slesser, C. Lewis, and W. Edwardson, "Energy Systems Analysis for Food Policy," Food Policy 2 (2): 123 - 129 (1977!.

6. M. Slesser, "Resource Conference, Oxford, 1975," Resources Policy, December 1978.

7. E. Cook, "Limits to Exploitation of Non-Renewable Resources," Science 191: 677 - 682 (1976).

8. D. Pimentel, L.E. Hurd, A.C. Bellotti, M.J. Forster, I.N. Oka, O.D. Sholes, and R.J. Whitman, "Food Production and the Energy Crisis," Science 182: 443 - 449 (1973).

9. M. Rawitscher and J. Mayer, "Nutritional Outputs and Energy Inputs in Seafoods," Science 198: 261 - 264 (1977).

10. W. Edwardson, "Resource Requirements for Fish Farming," Energy Studies Unit, Strathclyde University, Glasgow, Scotland (cited in reference 5).

11. L.G. Brookes, "The Energy Price Fallacy," Energy Policy, pp. 94 - 106, June 1978.

12. C. Lewis and M. Slesser, Bio-Energy Resources, Chapman & Hall, London, (in press).

TO PREVIOUS SECTION OF BOOK TO NEXT SECTION OF BOOK