Back to Home Page of CD3WD Project or Back to list of CD3WD Publications

CLOSE THIS BOOKBioconversion of Organic Residues for Rural Communities (UNU, 1979, 178 p.)
Organic residues in aquaculture
VIEW THE DOCUMENT(introduction...)
VIEW THE DOCUMENTIntroduction
VIEW THE DOCUMENTThe range of production in aquaculture
VIEW THE DOCUMENTThe value of organic wastes
VIEW THE DOCUMENTDirect feeding
VIEW THE DOCUMENTConcluding remarks
VIEW THE DOCUMENTReferences
VIEW THE DOCUMENTDiscussion summary

Bioconversion of Organic Residues for Rural Communities (UNU, 1979, 178 p.)

Organic residues in aquaculture

Introduction
The range of production in aquaculture
The value of organic wastes
Direct feeding
Concluding remarks
References
Discussion summary

John E. Bardach and Michael T. Santerre

East-West Resource Systems Institute, EastWest Center, Honolulu, Hawaii, USA

Introduction

The use of organic residues in aquaculture is best discussed with awareness of the following facts about aquatic biology: (i) Limitations to biological production in fresh, brackish, or ocean waters are predominantly dissolved nutrients and/or food as well as shelter or substrate. Seasonality and intensity of the input of solar energy are also important. Iii) In aquaculture (and incidentally in fisheries), what is eventually to be harvested has to be contained or concentrated.

Among these inputs, nutrients and/or food can be supplied, at least in part, by organic materials or residues. As aquacultural practices increase in magnitude and hasten the flow of materials and energy through the systems, compared to natural conditions, it stands to reason that fertilization wastes can, under certain conditions, save both monetary and caloric inputs. Likewise, judicious use of agricultural or organic industrial wastes as feed materials can lower the cost of growing aquatic animals. it is the purpose of this paper to describe the use of such practices and to discuss certain ecological, economic, and managerial conditions that determine or limit them.

The range of production in aquaculture

Organic waste utilization in aquaculture can either be extensive, with wastes occurring naturally or being added, with little or no further management of production (1), or it can be highly intensive under conditions where extraneous feeding and fertilization with inorganic plant nutrients play a major role in augmenting animal protein yield from the system. Aquatic animal husbandry is pursued in embayments, ponds, rivers, lakes, raceways, in brackish water, fresh water, and full-salinity ocean water. Many variants of extensive and intensive fish culture rely importantly on the growing together of a few compatible species (polyculture) to make fullest use of the various types of food present (plankton, bottom fauna) in a body of natural or managed water (Figure 1). Feeds and/or inorganic or organic fertilizers may also be added. Shellfish - molluscs and prawns or shrimp - can also be grown in polyculture, but managerial practices involving several species of fish exclusively are more advanced than those that combine the husbandry of invertebrates and fishes.


Figure. 1. Feeding Niches of Chinese Carp Species: 1, grass carp (Stenopharyngodon idellus) eating vegetable leaves; 2, bighead carp (Anistichtys nobilis) eating zooplankton; 3, silver carp (Hypophthalmichtys molitrix) eating phytoplankton; 4, mud carp (Cirrhinus molitorella) eating benthic animals, detritus, fish faeces; 5, common carp (Cyprinus carpio) on diet similar to that of mud carp; 6, black carp (Mylopharyngdon picous) eating molluscs. (From Bardach et al. [1])

The rationale of polyculture is obviously to divert as much as possible of the attainable biomass into channels that are useful to man, compared to those that prevail in a wholly natural food web. It should be pointed out that stocking fish in a lake does not necessarily increase the productivity of the lake, only the productivity of harvestable (i.e., desirable) organisms. In a lake supporting a complex food web ending in only a few harvestable fishes, and many other non-desirable organisms (for human consumption), stocking with desirable fish fingerlings, as well as control of undesirable species, especially predators, diverts the biomass of the "non-suitable" species into production of desirable fish biomass. It should be added, though, that monoculture, especially of molluscs in brackish water and of predatory fish such as trout, salmon, or groupers, can furnish high annual yields that are commercially attractive in spite of substantial inputs: for these species, the food is extraneously supplied.

A brief comparison of materials flow in ponds versus cage culture seems appropriate here. The food webs of manured, fed, and fertilized polyculture ponds are exceedingly complex in comparison with cage monoculture systems.

The principal pathways of nitrogen in ponds are illustrated in Figure 2. Possible nitrogen inputs to intensively managed polyculture ponds may be many and varied: atmospheric nitrogen, and nitrogenous substances present in in-flowing water, in inorganic fertilizers, in organic wastes, and in feeds. Similar diversity is also present in losses of nitrogen from ponds. Measurement of nitrogen flow between the various nitrogen pools (e.g., dissolved nitrogen pool, bacterial nitrogen pool, etc.) is a difficult task, requiring sophisticated techniques. For the present, aquaculturists are utilizing information on a few such inputs, pathways, and pools, and are only very slowly evolving models allowing prediction of harvests of fish from a pond given a specified set of conditions.


Figure. 2. Principal Pathways of Nitrogen in a Fish Pond Receiving Organic Wastes, Fertilizer, and Supplementary Feed. The various tropic levels and relationships for animal biomass are not shown.

In contrast, cage culture represents a simplified ecosystem, at least within the confines of the cage itself (Figure 3). Cages are the aquatic counterpart to high-density terrestrial husbandry systems, including cattle feedlots, chicken batteries, and so forth. Such production systems are fashioned to provide all of the environmental needs of the animal and maximize production per unit surface area. The cage system is quite simple, with feed or food supplied to the fish (usually monoculture, but with polyculture cage culture becoming more common), and faeces, uneaten food, and waste metabolites being swept away from the cage by the continuous flow of fresh water. Cage culture, however, is generally more capital-intensive than pond culture, and requires a considerably higher degree of knowledge of the nutritional needs of the fish, as the aquaculturist often supplies the fish with their sole source of food or feed.


Figure. 3. Generalized Flow of Materials important in Cage Culture of Aquacultural Animals

The denser the stocking rate in fish culture, the more difficult the management, largely because of the accumulation of waste substances, depletion of dissolved oxygen, and other problems of sanitation. Yet it is known from the interaction of sewage with rivers that fertilization does not necessarily lead to oxygen depletion when the river flow is reasonably swift, causing diffusion of atmospheric oxygen into the water. Thus, it is not surprising that higher aquatic production is more often registered in flowing than in still waters, and that estuarine waters with their river-borne nutrients and continuous water circulation (via river flow and tides) represent the world's most fertile and productive aquatic environments. A comparison of annual productivity for several aquatic ecosystems is provided in Table 1, based on Crisp (2).

TABLE 1. Examples of the Productivity of Various Aquatic or Marine Ecosystems

  Production

kcal/m² /year

Sargasso sea (oligotrophic) 1,340
Peru current (eutrophic) 36,500
Estuarine and brackish water marsh 16,000
Lake (oligotrophic) 70 - 250
Lake (eutrophic) 750 - 2,500

After crisp (2).

Several compilations in the literature 11, 3 - 6) permit quantitative comparisons of these various conditions under more or less intensive management regimes. The time base of a hundred days rather than a year is chosen, on the advice of Ohla of the Hungarian Aquaculture Research Institute, so that summer production in the temperate zone can be compared with the average in the tropics.

The animal protein yield to man in natural waters of the temperate zone ranges from less than 20 to several hundred kg/ha (Figure 4). There are specific sites, often with inadvertent fertilization by run-off, where yields are much higher: a dead river arm in Hungary with a slow flow that also serves a duck farm produces 1.3 tons/ha/100 days, and a portion of the lake Laguna del Bay in the Philippines, the shallow recipient of much agriculture) and domestic drainage where the wind also concentrates the plankton, is capable of producing 3 tons or more of milkfish per ha/100 days; however, the site is now plagued with pollution from highly populated shores.


Figure. 4. Comparison of Yields of Animal Production Systems (Kg/ha/100 days) and Their Corresponding Grow-out Densities (in numbers of animals per hectare): 1, from Bardach et al., (1); 2, from Delmendo (27); 3, from Moav et al., (28);4, from Buck et al. (17); 5, from Ohla and Sinda (3); 6 - 8, from personal communications with various experts in the field. (Yields are for single horizontal, i.e., not multi-level, surface only.)

A comparable level of fish productivity prevails in the more typical fish ponds of Israel or India, albeit with more material inputs. Animal wastes are applied and often there is extraneous feeding; there also, the 100-day yield reaches 3 to 4 tons/ha. Sewage oxidation ponds that are stocked with polyculture species able to make the best use of the rapid production of algae and invertebrate biota yield between 2.4 and 4 tons of fish per ha/100 days.

Still higher yields are reached in flowing waters: Indonesian carp cages in sewage-fed streams produce 8 kg/m²/100 days (cage surface area only), amounting to a practical harvest of at least 20 tons/ha in the same period. The apparent discrepancy is due to the fact that only a portion of the flowage can be obstructed with cages lest inundation become severe. Intensive feeding of the carp is not practiced because blood-worms thrive in the sediments of these streams, feeding on the bacteria-rich silt and ooze, and these worms are grazed upon by the carp. The peculiar aspect of the situation, however, is that the worms regenerate fast and easily after the fish nibble off a portion of them. The worms, incidentally, contain growth stimulators, probably hemoglobin-related compounds (7).

The relationship between fish stocking, density, and water flow rate is illustrated in Figure 5. Although these values are species-specific, the benefits of increased oxygenation and removal of toxic body metabolites by rapid water exchange hold true for most species.


Figure. 5. Relationship between Fish Production and Quantity of Water in a Carp Aquacultural System (From Brown and Nishimura [29])

Sewage oxidation ponds are also good bases for aquaculture. J. Ohla (personal communication, 1978) established that 2.5 tons/ha/100 days of severe) species of carp, mainly silver carp, can be grown if 200 m³/ha/day of primary sewage effluent is added to the water (after settling of the solids).

The stocking of fish in sewage oxidation ponds is beneficial not only to fish culture, but to the waste treatment processes within the oxidation pond itself. Tilapia and silver carp were stocked in an oxidation pond and compared to an oxidation pond not containing fish (8). Bacteria levels were lower in the pond containing fish (Table 2), perhaps due to the disinfection potential of waters with high pH and oxygen. The high pH probably results in a greater loss rate of ammonia to the atmosphere, considered to be beneficial from the waste-treatment viewpoints, and also from the viewpoint of fish health management (ammonia is toxic to fish). However, it represents a loss of valuable fixed nitrogen fertilizer, and hence can be a somewhat negative trade-off.

TABLE 2. Measured Chemical and Biological Parameters in Waste Treatment Ponds with (+) or without (-) Liquid Cow Manure, and with (+) or without (-) Polyculture Fish (Tilapia, Carp)

  Pond type

+ Manure

- Fish

+ Manure

+ Fish

- Manure

+ Fish

- Manure

Fish

Dissolved oxygen (0900 h) 0.7 9.5 9.0 - 15.9 10.0 - 13.8  
pH 7.9 - 8.3 8.3 - 8.9 8.6 - 8.7 -
Bacteria (103/ml) 17 - 27 1.6 - 6.7 0.7 - 4.3  
Phytoplankton (principally) (g dry/m³) 0.2 - 4.3 0.3 - 1.4 < 0.06 - 0.2 < 0.06
Zooplankton (principally) (g dry/m³) 0.3 - 42.4 0.1 - 1 0 < 0.06 < 0.06
Chironomides (10²/m²) 79 - 215 1 - 4 0 - 2 1 - 7

Source: Schroeder (8).

The use of raw or primary treated sewage has been questioned for health reasons. It should be noted here that intestinal parasites and flora of man and other warm-blooded animals are anaerobic, or nearly so, and that the high oxygenation of fast flowages, of balanced sewage ponds, or of balanced fish ponds receiving organic wastes, does not permit the survival of most such pathogens (5). Finally, thorough cooking provides an additional safeguard.

The addition of sewage to pond or river water, and the use of fertilization by means of animal wastes in aquaculture, are well established and economically sound practices. Higher yields per unit surface area are reached with other extraneous inputs, mainly by supplementary feeding and/or by forced water circulation or even filtering. The main secret of success in achieving up to several hundred tons/ha annual fish production (often extrapolated from smaller surface areas) lies in the use of natural or artificial flowages in which many thousands of fish can be stocked and fed. Similarly, cage-reared fish in strong tidal flows can achieve phenomenal rates of growth and production. They are fed with compounded feed (however expensive), with trash fish, with household wastes, or with cereals, cereal wastes, or other agricultural residues. Attractive economic returns conditioned by cultural food tastes invite these practices (1; see chapter 1).

Yet another high-yield aquatic production system ought to be mentioned, this time in the sea. In certain bays near Vigo, Spain, where tidal exchange as well as fertile run-off from the land are high, mussels are grown on containment/ attachment devices suspended from rafts. Three hundred tons of mussel flesh per year have been reported (9). Under roughly comparable conditions, similar planktonfiltering bivalves (Mytilussmaraydinus) also reach such high yields (10). Tidal movement-based mollusc culture, however, is more advanced in Europe and Japan than it is in tropical Asia; nonetheless, in all locations it is threatened by pollution.

Having noted the beneficial effects of dissolved organic wastes on aquacultural systems, one must hasten to add that most fish farmers use chemical fertilizers, predominantly or entirely. Manure is just not sufficiently ubiquitous, and the use of domestic sewage, even while more widely available, has strong cultural and economic barriers against its use. While the cultural component of this barrier is perhaps understandable, though ill-advised, the economic one invites further comment.

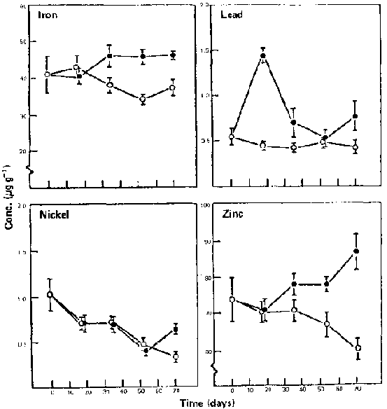
Where sanitation is advanced, investments in rendering sewage effluents innocuous and infertile are so great that sewage aquaculture can only be envisaged when cost of invested capita) need not be considered. That is, in the temperate zone and in technologically advanced countries, one may think of planning sewage aquaculture for small to medium-sized towns with readily available cheap land or a nearby lake. Installations will be necessary to separate domestic sewage from all other liquid effluents such as industrial wastes and nonsewage domestic and stream run off components. Even then, big-accumulation of toxic substances may occur (11). The actual levels of trace metal accumulation will be species- and site-specific. For example, rainbow trout fed a diet containing activated sludge selectively accumulate certain metals, but not others (Figure 6).


Figure. 6. Changes in Heavy Metal Concentration for Rainbow Trout Fed a Diet Containing Activated 30 Per Cent Sewage Sludge (solid circles) and a Control Diet Composed of Standard Feed Ingredients (open circles) (From Slingh and Ferns [11])

In the tropics, as already indicated with reference to the cage culture for carp in Indonesia, the situation may be more favourable to the direct use of domestic sewage because there is, as yet, less admixture with the effluents of industrial or hydrocarbon chemicals. Aquaculture and agriculture in mainland China utilize both animal and human wastes. Reports suggest that, while animal wastes are normally either applied untreated, or composted and applied, anaerobic treatment and composting are the preferred methods for human wastes (12). This process greatly reduces parasites and pathogens, rendering the manure safer to use (13).

The value of organic wastes

On a polyculture fish farm in Israel, for instance, where yields are reasonably high (4,150 kg/ha/yr.), nitrogen and phosphorus fertilizers, applied as liquid ammonia and superphosphate, amount to 18 per cent and feed to 31 per cent of the annual calorie inputs (14). Obviously, savings could accrue when manure is used instead of inorganic fertilizer, depending, of course, on nearby production and low-cost handling of manure. Just how economical - albeit site- and condition-specific - sewage-fed aquaculture can be, is exemplified by a comparison of the energy inputs of the above-mentioned Israeli operation with that in the Indonesian cage culture for carp in sewage-fed streams, and pond-grown carp near Munich that derive their sustenance from a mixture of the sewage of Munich and the water of the Isar River. In Israeli pond polyculture, 65 keels (representing fixed and variable production inputs, excluding labour) produce 1 9 of protein; this could be reduced to about 50 kcals/g if the industrial fertilizer were replaced with manure. In contrast, the sewagebased carp culture in flowing water in Indonesia, as wed) as in Bavaria, requires only 4 - 10 kcals/g of protein. Channel catfish and chickens are less efficient, requiring approximately two times the calorie input per gram of protein required for Israeli poly culture, and fourteen to thirty-seven times that of pure sewage-based carp culture (15). Another advantage in polyculture is that nutrients are re-used as they pass through the digestive tracts of the various component species.

The use of manure and domestic sewage, however, represents a saving for the fish farmer only when these materials are available, and because of their inherent bulk, need not be transported even over medium distances.

Their use prevails in many parts of tropical Asia, in India, in communes of China, and in kibbutzes of Israel, where land animal husbandry and aquaculture are practiced conjointly (5, 12, 16). Examples of this are provided by a hog-cum-fish polyculture experiment (17), and a study comparing biomass harvest of an oyster-only culture system, and an oyster-cumdetritus feeder system (18).

In the hog-cum-fish system (Figure 7), overall productivity of biomass was increased by 67 per cent - with no additional feeding or fertilizer - by providing swine wastes (uneaten food, faeces, urine) to a polyculture pond. Food conversion efficiency increased from 3.8:1 in the hog-only system to 2.2:1 in the hog-cum-fish system. Conversion of feed nitrogen (our extrapolation) was 58 per cent in the hog-only system versus 70 per cent in the hog-cumfish system.


Figure. 7. Efficiencies of Conversion of Feed, Feed Nitrogen (extrapolated), and Feed Calories (extrapolation) of a Hog-Only System and a Hog-cum-Fish Polyculture System (After Buck, Baur, and Rose [17], plus our calculations). * Assumed or extrapolated value.

The addition of a detritus feeder (a polychaete worm) to an algae-oyster culture system (Figure 8) increased biomass conversion efficiency from 9.8 per cent (oysters only) to an overall 11.2 per cent efficiency for an oyster-cum-worm polyculture system (18).


Figure. 8. Materials Flow, Harvest Levels, and Conversion Efficiencies of an Experimental Sewage Aquaculture System (After Tenore, Browne, and Chesney [18], plus our calculations)

The use of domestic sewage, as practiced in certain sites in Asia, is also favoured by site as well as ecological conditions, and, above all, by the availability of abundant water. Here, as in the case of animal manure, the aquacultural planner may have to weigh the advantage of biogas via anaerobic digestion of organic wastes and sludge production against direct use of sewage. The former practice generally has benefits applicable to other portions of agricultural production systems, including cooking, heating, and lighting, and production of fertilizer and soil conditioner (19).

Anaerobic digestion has been reported to increase the manure's ammonia content, a preferred species of agricultural nitrogen fertilizer, from 26 per cent in raw, unprocessed manure, to 50 per cent following treatment (19). However, the extent to which anaerobically-treated manure sludge and supernatant can be substituted for untreated manure in a fish pond while maintaining high yields of fish has not been demonstrated. This is a very important consideration, because organic substances added to a pond can be consumed directly by heterotrophic organisms and bypass the photosynthetic production level. Thus, production of fish using organic manures can greatly exceed levels predicted for a pond based entirely on an ecosystem starting with light-limited plants utilizing inorganic nutrients.

Certain special conditions of combined aquaculture and land animal husbandry have been devised that reduce to a minimum the difficulties and costs of handling organic manures, and that benefit both husbandry components. Ducks are natural manure carriers, as it were, and in duckcum-fish culture in Hungary, ducks are stocked in ponds after the fish have reached fingerling size. The presence of ducks leads to an increase in fish biomass of 0.3 to 0.4 tons/ha over conventional ponds without ducks (F. Mueller, personal communication, 1978). The ducks in this case are selectively bred to reach their market size of 2.5 kg in 45 days on copious feeding with a special pellet diet; sheds and runways for ducks are necessary, as is the skill of poultry-keeping in addition to that of aquaculture. However, intensive use of the fish ponds by ducks can threaten the pond walls. Care must also be exercised not to overload the aquatic ecosystem with excrete and bring about highly anaerobic conditions in the bottom mud, which is the nursery ground of many invertebrates that serve as important food components for the fish.

Despite these possible problems, mutual benefits to fish and bird-rearing are many, including: lower capital investment than for intensive chicken culture; shortened growing time for ducks; better utilization of feeds; ducks eat organisms not ordinarily eaten by fish (e.g. aquatic weeds, frogs, etc.); ducks distribute manure evenly throughout the pond; and fish pond ducks are healthier, leaner, and have cleaner feathers than do ducks raised in other conventional production systems (20).

Another pattern for land and water animal-rearing presents itself through the placing of pigsties partially over the ponds, in such fashion that wastes from the pig platform can be sloshed down into the ponds. The ecological basis for this practice was discussed earlier. The technique has been pioneered in Malaysia, with water hyacinths grown on part of the pond surfaces being incorporated into the pigfeed, and with the fertile pond water also being used to water market garden crops (Figure 9) (21). Such integrated farming systems that can amortize themselves and bear profit after three years depend, of course, on year-round availability of water and on having a suitably sloped terrain.


Figure. 9. Integrated Aqua-Agricultural System Used in Singapore (After Ho [21])

Direct feeding

Feeding types among fishes range from predatory gulpers to sifters of organic materials in mud, to zooplankton feeders, and to herbivores that eat algae or even leafy plants. As already intimated, the rationale of polyculture is the selection of compatible species with different feeding patterns. In addition, because fish learn to feed on almost anything, it is relatively easy to develop pelleted food for fish culture, dietary quality considerations aside. At the same time, such catholic feeding habits permit the use of plant materials, especially cheap or nearly valueless crop residues such as bran, etc. Table 3 (22) illustrates this, as does the practice of building very wide pond margins to the fish ponds in China for cultivating grasses where leafy plant-feeding grass carp (Ctenophryngodon idella) comprise about 20 per cent of the stock in the pond (12).

TABLE 3. Proximate Composition of Feedstuffs Used in Fish Culture

  %
Carbohydrates
%
Fats
Total
protein
%
Fibre
Baobab press cake 76.7 0.8 2.2 6.8
Beer waste 46.4 7.8 22.8 18.8
Cabbage leaves 4.8 0.1 1.7 1.2
Cassava flour, dry 83.2 0.5 1.6 1.7
Cassava leaves 14.3 1.0 7.0 4.0
Cassava tubers 34.6 0.2 1.2 1.1
Cocoa hulls 57.5 0.8 8.7 23.7
Coffee hulls 33.5 7.2 12.2 39.0
Corn, cooked 79.2 4.8 8.0 1.9
Corn bran 64.4 8.6 12.2 2.8
Corn flour 71.5 3.8 9.3 1.9
Corn grain 81.3 4.6 10.3 2.3
Corn leaves and stalks, dry 46.6 1.6 5.9 30.9
Cotton seed cake 38.5 7.4 47.3 9.6
Cotton seed 29.6 18.8 22.8 24.1
Cow stomach, dried 37.6 1.9 16.7 28.2
Cow stomach, fresh 36.2 1.0 11.6 37.8
Kale 6.1 0.8 3.5 1.6
Lettuce 3.7 0.2 1.2 0.6
Millet 81.0 2.8 9.0 3.0
Mill sweepings 58.0 14.0 12.5 7.5
Napier grass 1.0 0.2 2.6 1.1
Palm nut press cake 53.0 8.9 19.9 14.0
Peanut press cake 27.3 7.6 53.5 6.2
Peanut shells, ground 46.3 1.0 4.0 46.7
Plantain banana, whole 79.2 1.8 6.5 5.3
Potatoes 19.7 0.1 2.1 0.9
Pumpkin 4.7 0.1 1.0 0.8
Rice 77.7 2.2 7.4 0.4
Rice bran 56.9 3.8 0.7 22.6
Sorghum 81.0 2.8 9.0 3.0
Soybeans, ground 31.4 15.7 33.7 5.5
Spinach 4.5 0.2 2.1 0.8
Sugar-cane fibre 55.4 0.6 1.3 40.0
Sweet potatoes 27.5 0.2 1.6 1.0
Wheat bran 59.7 3.8 4.5 14.5
Yam 25.6 0.1 1.5 0.9
Blood, fresh 36.2 1.0 11.6 0.0
Blood meal - 1.0 76.6 0.0
Smoked, salted fish waste (local) - - 35.8 -

Source: Bardach 122).

All sorts of other wastes, even sludge, are fed to fish (23 - 25) with very low conversion efficiencies, to be sure, but presumably favouring cheap production costs just the same (Table 4).

TABLE 4. Yields of Fish for Various Residues Used in China

Residue

or

feed

Residue

or feed

quantity

Fish yield Estimated

conversion

efficiency

(kg yield/kg

feed x 100)

Grass or vegetable tops 60 - 70 kg 1 kg grass carp 1.4 - 1.7%
Snails and clams 50 kg 1 kg black carp 2.0%
"Fertile water": 77% bean curd

residue; 23%

residue of fermented products

100 kg 1 kg silver carp 1,0%
Animal manure bighead carp 25 kg 0.5 kg silver carp 2.0%

Based on information given to mission members; after Tapiador (12); conversion efficiencies are our estimates

Carnivores make up a certain portion of the polyculture components; in fact, various traditional aquaculture schemes incorporate a few voracious predators, albeit under intensively supervised management conditions, for example, pike in common carp ponds and catfish (Silurus glands) in polyculture carp ponds (1) and (A. Ruttkay, persona) communication, 1978). Sometimes pure carnivore culture is practiced depending on the availability of the so-called trash fish; that is, species that are too small to be eaten directly or not acceptable as table fare. The culture of groupers in various parts of the Pacific and of yellow tail in the Inland Sea of Japan are based on the availability of this kind of high-protein feed; it is mentioned here because one sometimes hears the argument that such practices are ecologically unsound. They may appear so at first glance, but these comments usually do not take into consideration that aquaculture is pursued to gain a livelihood, providing its practitioner with income first and foremost. It usually also supplies fish for the table, but hardly as its prime purpose. The rearing of carnivores relying on "waste" species, or for that matter on slaughterhouse wastes and/or blood meal, can be a sound practice, even from the ecological vantage point.

Concluding remarks

Fertilization is so widely practiced in aquaculture that it seems almost superfluous to point out the economic advantages that can accrue through judicious use of the inexpensive nutrients present in manure or sewage. These substances, together with other agricultural or organic industrial processing residues, can also provide substitutes for expensive feed ingredients. Obviously, there are regions where few agricultural residues are available, and the aquaculturist must resort to chemical fertilization. But where these residues are available, and where ecological and sociological factors permit the use of such wastes, handling and transportation of the wastes to the ponds are important cost factors that may limit the use of waste residues. The closer the animal pens are to the water, the more economical the fertilization task is and a premium can be placed on planning and modifying new or existing farms to promote optimal operational logistics of joint animal husbandry, market gardening, and aquaculture. We are not aware of any studies concerning the distances between residue sources and ponds, or comparisons of various farm lay-out schematics for this joint agriculture-aquaculture production system, under various edaphic, climatic, and socio-economic conditions.

Manures from pigs and birds are more frequently used than cattle manure, and even in some areas where cattle exist their droppings are often unavailable to aquafarms (e.g., India, Afghanistan) because the dung is dried and used as fuel. In many cases, animal wastes are anaerobically digested in order to allow for multiple benefits, specifically biogas for cooking, and supernatant and sludge for agricultural or aquacultural use. Although the latter two products are largely used for fertilization, their potential use as feed ingredients is high and is currently receiving considerable research attention.

It should be mentioned that plant residues until now have had little use as fertilizers for aquaculture, in contrast to their application in agriculture. This is because of the fundamental physico-chemical differences between water and soil as cultivation media. However, some fish ponds are occasionally or regularly fallowed. Then crops or crop residues are ploughed into the pond as a sort of "green manure." Rice paddies are good examples, where fish can be stocked (ecologically sound pest management permitting), and the rice straw and stubble are ploughed into the paddy soil as soil conditioners.

The use of organic residues in aquaculture is, to a certain extent, dependent on competition for these residues by agricultural production systems. Although detailed studies comparing agricultural and aquacultural use of organic residues from an energy or material-accounting viewpoint are not available, it is quite possible that manure recycling is more efficient in aquacultural animal production (including integrated land animal-cum-fish systems) than in agricultural animal husbandry. Manures produced by fish in a polyculture pond immediately enter a detritus food chain. A portion of this detritus is recycled into higher trophic levels, in this case, table fish. The system, while bearing some resemblance to terrestrial grazing systems (i.e., cattle produce manure, which fertilizes plants, which are eaten by cattle, etc.), is considerably more efficient than that found in intensive agricultural animal production systems. In the latter, manure must be collected and distributed with an attached expenditure of energy and human labour.

Sewage utilization in aquaculture is conditioned by cultural, sanitary, and economic constraints. The simplest use is the establishment of family or village privies over Asian fish ponds, and/or the use of domestic effluents from rural settlements into flowages for cage culture. In these situations, the presence of toxic substances (e.g., trace metals, carcinogens) in the wastes are minimal, and there is less chance for excessive accumulation of harmful substances in the flesh of the fish. Disease and parasite transmission, while still a consideration, is often over-rated. Adequate pond management, as discussed earlier, and careful cooking can overcome most of these potential problems. When the sewage of small or large towns is used for aquaculture (e.g., Calcutta), the presence of materials such as industrial wastes may be potentially dangerous from the standpoint of toxic substances that accumulate in the flesh of the fish. The use of the wastes of such localities for the production of food for man is entirely contingent on segregation of these substances from the normal domestic sewage. The costs of such separation systems will ultimately decide the possibility of their use in food production.

Socio-cultural objections to the use of sewage for fish culture seem to be decreasing in several societies as ecological information becomes disseminated and as fertilizer costs increase. There is, for this reason, urgent need for intensified engineering, economic, and management studies of sewage use under various conditions of light to dense urban development.

The direct use of organic residues as fish feed is highly opportunistic; as intimated in Table 3, it depends on the local availability of anything from various by-products of grain milling to cheap but otherwise unusable animal proteins. Here, as with manure, the location of the feed source in relation to the location of the animals to be fed is a prime economic consideration. Widening the pond berms in China to supply feed for grass carp, as well as locating grouper cage culture near fishing ports, are cases in point. There is urgent need, however, regardless of the nature of the feeds, to have far better characterization of their nutrient values and to incorporate such data in computerized international feed data banks.

The future prospects for the increased use of organic wastes in aquaculture (especially as fertilizers) are clearly influenced by the cost of chemical fertilizers. As the price of fertilizer increases because of increased fossil fuel costs, one can anticipate greatly increased use of organic wastes in aquaculture even without vigorous promotion. Certain key research needs to be undertaken to make such use as beneficial as possible. These investigations should relate to the big-economics of combined agri-aquacultural systems. They should place emphasis on system-wide total and energy accounting with the goal of establishing trade-off values between the use of manure in aquaculture against other agricultural/domestic purposes. The organic value of various wastes, and the cost of handling and treating them under various levels of intensity of operation and development, need to be established. Health problems related to the use of sewage also need attention, especially as they relate to cost trade-offs and permissible risks under various treatment and handling conditions. Questions of the environment need to be addressed vigorously; as the pressure on water supplies increases, fish ponds may be used increasingly to supply water for people. Multiple-use oxidation ponds supplying animal protein and furnishing domestic water will also increase, and problems of eutrophication and contamination of ground and surface waters need to be addressed. The need for interdisciplinary research is obvious if one wishes to aim for optimization in the trade-offs among the several possible goals of fish pond use stated here.

One more caveat seems necessary about aquaculture in general, but more specifically about the seemingly simple, but really complex, subject matter of the use of organic residues in aquatic animal husbandry. This warning is also a challenge embodied in the quotation from Matsuda (26) to follow, which stresses, by implication, the need for multiple-level research, with strong emphasis on pilot installations and culture-oriented extension:

"Aquaculture is not solely a matter of growing a product; it is also a part of rural development, including marketing, distribution of food and income, employment, and living conditions. Thus aquaculture should not be recommended indiscriminately to people who are not ready for it."

References

1. J.E. Bardach, J.H. Ryther, and W.O. McLarney, Aquarulture: The Farming and Husbandry of Freshwater and Marine Organ isms, pp. 1 - 28, J. Wiley & Sons, New York, 1972.

2. D.J. Crisp, in Productivity of World Ecosystems, National Academy of Sciences, Washington, D.C., 1975.

3. J. Ohla and R. Sinha, "Present Status and Potentiality of Freshwater Fish Production in Ecosystems with Different Management Levels," submitted to Aquaculture.

4. O. Kinne, and H. Rosenthal, in O. Kinne (ed.), Marine Ecology, Vol. III, Part 3, pp. 1321 - 1398, Wiley & Sons, New York, 1977.

5. G.H. Allen and B. Hepher, "Recycling of Wastes through Aquaculture and Constraints to Wider Application," FAO Technical Conference on Aquaculture, 26 May - 2 June 1976, p 19, Kyoto, Japan, PIR: AQ/Conf/76/R. 19 (1976).

6. B. Hepher, in S.D. Gerking (ed.), Ecology of Freshwater Fish Production. Blackwell Scientific Publications, Oxford, 1978.

7. W.O. McLarney, J.S. Levine, and M.M. Sherman, "Midge (Chironomid) Larvae as Growth-Promoting Supplement in Fish and Lobster Diets," Bamidgeh 29 (1): 17 - 24 (1977)

8. G.L. Schroeder, "Some Effects of Stocking Fish in Waste Treatment Ponds," Water Ben 9: 591 - 593 (1975)

9. J.H. Ryther and J.E. Bardach, The Status and Potential of Aquaculture, American Institute of Biological Sciences, Washington, D.C., May 1968, Clearinghouse for Scientific and Technical Information, Springfield, Virginia, Vol. I: PB 177-767.

10. P. Korringa, Farming Marine Organisms Low in the Food Chain, Vol. l, Elsevier Scientific Publishing Company, Amsterdam, The Netherlands. 1976.

11. S.M. Singh and P.N. Ferns, "Accumulation of Heavy Metals in Rainbow Trout Salmo gairdneri (Richardson) Maintained on a Diet Containing Activated Sewage Sludge," l Fish. Biol. 13: 277 - 286 (1978).

12. D.D. Tapiador, H.F. Henderson, M.N. Delmendo, and H. Tsutsui, Freshwater Fisheries and Aquaculture in China, a report of the FAO Fisheries (Aquaculture) Mission to China, 21 April - 12 May 1976, FAO Fisheries Technical Paper No. 168.

13. M.G. McGarry and J. Stainforth, Compost, Fertilizer, and Biogas Production from Human and Farm Wastes in the People's Republic of China, International Development Research Centre, Ottawa, IDRC-TS8e, 1978.

14. J.E. Bardach, "Aquaculture," in D. Pimentel (ed.), CRC Handbook: Energy in Agriculture, CRC Press, West Palm Beach, Florida, (in press)

15. M. Rawitscher and J. Mayer, "Nutritional Outputs and Energy Inputs in Seafood," Science 198: 261 - 264 (1977).

16. A. Yashouv, "Mixed Fish Culture - An Ecological Approach to Increase Pond Productivity," FAO World Symposium on Warm-Water Pond Fish Culture, 18 - 25 May 1966, Rome, FR: V/R-2.

17. H.D. Buck, R.J. Baur, and C.R. Rose, "Utilization of Swine Manure in a Polyculture of Asian and North American Fishes," Trans. Amer. Fish. Soc. 107 (1): 216 - 222 (1978).

18. K.R. Tenore, M.G. Browne, and E.J. Chesney Jr., "Polyspecies Aquaculture Systems: The Detrital Trophic Level," J. Marine Res. 32 (3): 425 - 432 (1974).

19. A.K. Sanghi and D. Day, in W. Lockeretz (ed.), Agriculture and Energy, pp. 607 - 624, Academic Press, New York, 1977.

20. E. Woynarovich, "The Feasibility of Combining Animal Husbandry with Fish Farming, with Special Reference to Duck and Pig Production," FAO Technical Conference on Aquaculture 26 May - 2 June. 1976, Kyoto, Japan, FIR: AQ/Conf/76/R. 6.

21. R. Ho, "Mixed Farming and Multiple Cropping in Malaya," in Proceedings of the Symposium on Land Use and Mineral Deposits in Hong Kong, Southern China, and Southeast Asia, paper No. 11, pp. 88 - 104, 1961.

22. J.E. Bardach, in S.D. Gerking (ed.), Eology of Freshwater Fish Production. pp. 424 446, Blackwell Scientific Publications, Oxford, 1978.

23. C.L. Kerns and E.W. Roelofs, "Poultry Wastes in the Diet of Israeli Carp," Bamidgeh 29 (4): 125 - 135 (1977).

24. S. Viola, "Energy Value of Feedstuffs for Carp," Bamidgeh 29 (1): 29 - 30, (1977).

25. D. R. Bayne, D. Dunseth, and C.G . Ramirios, "Supplemental Feeds Containing Coffee Pulp for Rearing Tilapia in Central America, Aquaculture 7: 133 - 146 (1976).

26. Y. Matsuda, "The Growth of Aquaculture in Developing Countries: Potentials, Patterns, and Pitfalls," Fisheries 3 (4): 2 - 6 (1978).

27. M. Delmendo, "The Plankton of Laguna del Bay, the Primary Basis of Milkfish Farming in Enclosures in the Area," Philippine Agriculturist 57 (7 - 8): 335 - 342 (1973 - 1974).

28. R. Moav, G. Wohifarth, G.L. Schroeder, G. Hulata, and H. Barash, "Intensive Polyculture of Fish in Freshwater Ponds. 1. Substitution of Expensive Feeds by Liquid Cow Manure," Aquaculture 10: 25 - 43 (1977).

29. E.E. Brown and S. Nishimura, in E.E. Brown (ed.), World Fish Farming: Cultivation and Economics, The AVI Publishing Co., Westport, Connecticut, 1977.

Discussion summary

A question was posed regarding the possible advantages of aquaculture in the sea rather than in inland ponds. It was pointed out that control of seed fish, breed, and feed is more difficult in the sea, although under controlled circumstances, molluscs do well in certain bays. There are great possibilities for future aquaculture in the sea, but this will depend on the genetic modification of existing marine species.

TO PREVIOUS SECTION OF BOOK TO NEXT SECTION OF BOOK