Back to Home Page of CD3WD Project or Back to list of CD3WD Publications

CLOSE THIS BOOKDriling, Countersinking and Counterboring - Course: Technique for manual working of materials. Trainees' handbook of lessons (Institut für Berufliche Entwicklung, 18 p.)
VIEW THE DOCUMENT(introduction...)
VIEW THE DOCUMENT1. Purpose of drilling
VIEW THE DOCUMENT2. Machines for drilling
VIEW THE DOCUMENT3. Tools for metal drilling
VIEW THE DOCUMENT4. The operation of drilling
VIEW THE DOCUMENT5. Setting of the tools
VIEW THE DOCUMENT6. Clamping of the tools
VIEW THE DOCUMENT7. Clamping of the workpieces
VIEW THE DOCUMENT8. Technological process of drilling
VIEW THE DOCUMENT9. Purpose and application of counterboring/countersinking
VIEW THE DOCUMENT10. Labour safety recommendations

5. Setting of the tools

At bench-type and upright drilling machines, the ‘rotational speed’ and - with modern types - the ‘cutting speed’ and ‘feed’ must be set.

The rates of ‘rotational speed’, ‘cutting speed’ and ‘feed’ depend on the material to be drilled and the diameter of the drill.

To automatic feeds the following rules apply:

Low feed rate - with high rotational speed and hard material
High feed rate - with low rotational speed and soft material

The automatic feed is not required for making smaller bore holes (up to 12 mm dia.)

The cutting speed for drilling without automatic feed can be fixed at 22 m/min. Thus, the following rotational speeds apply:

Materials

Diameter of the drill in mm (Range)

1 - 3

3 - 5

5 - 8

8 - 10

10 - 12

12 - 16

Soft materials (aluminium, copper)

7100
to
4500

5600
to
3500

3500
to
2200

2800
to
1800

2200
to
1400

1800
to
1100

Medium hard steels cast steel

2800
to
1800

2200
to
1400

1400
to
900

1100
to
700

900
to
560

710
to
450

hard materials (chromium-nickel alloys)

350

350

350

350

280

220

The following rule applies to the setting of the rotational speed:

Low rotational speed - with hard materials and great drill diameters
High rotational speed - with soft materials and small drill diameters

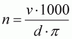
The rotational speed can be calculated with the help of the following formula:

n = rotational speed (in r.p.m.)
v = cutting speed (in m/min)
d = diameter of the rotating piece (in mm)
p = 3.14

Calculating example

What rotational speed has to be set if a bore hole of 10 mm shall be drilled into a workplace of steel on a bench-type drilling machine with feed by hand?

Exercise

What rotational speed has to be set if a bore hole of 5 mm dia. shall be drilled into a workpiece of steel by a bench-type drilling machine with hand feed?
________________________________________________________________________

Compare the result with the value of the table:

Calculated value

Value indicated in the table



TO PREVIOUS SECTION OF BOOK TO NEXT SECTION OF BOOK