Back to Home Page of CD3WD Project or Back to list of CD3WD Publications

CLOSE THIS BOOKIntroduction to Electrical Engineering - Basic vocational knowledge (Institut für Berufliche Entwicklung, 213 p.)
7. Alternating Current
VIEW THE DOCUMENT7.1. Importance and Advantages of Alternating Current
VIEW THE DOCUMENT7.2. Characteristics of Alternating Current
VIEW THE DOCUMENT7.3. Resistances in an Alternating Current Circuit
VIEW THE DOCUMENT7.4. Power of Alternating Current

Introduction to Electrical Engineering - Basic vocational knowledge (Institut für Berufliche Entwicklung, 213 p.)

7. Alternating Current

7.1. Importance and Advantages of Alternating Current

In the preceding Sections, we have explained the electro-technical conformities with natural laws under the restricting condition that current intensity and magnitude of voltage remain constant with respect to time. In practice, however, especially in power electrical engineering, mainly alternating current is used.

Alternating current is a current whose magnitude and direction varies periodically; this also applies to alternating voltage.

The electrical laws naturally also apply to alternating current engineering; a few peculiarities have to be observed, however.

Of the various possible forms, the sinusoidal alternating current has the greatest importance. Its substantial advantages are as follows:

· simple and economical generation
· transformation into other values (principle of mutual induction)
· low-loss energy-transmission even through large distances
· the sinusoidal form is not changed by the basic components R, L and C

Because of these and other advantages, alternating current engineering is of paramount importance. If direct current is required (e.g. for the operation of the majority of electronic devices), it can easily be produced by rectifying the alternating current. In practice, especially in power electrical engineering, alternating current is used because of many advantages. This is a current whose magnitude and direction varies periodically. The sinusoidal alternating current has the greatest importance.

7.2. Characteristics of Alternating Current

Alternating current and alternating voltage are produced in generators. In Section 5.3.2. the generator principle has been pointed out. Below, explanations in great detail are given.

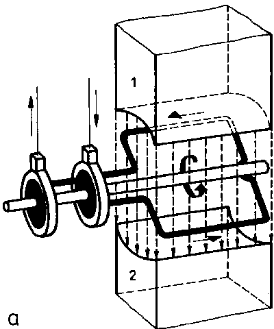
When turning a coil (represented by a conductor loop in Fig. 7.1.) in a magnetic field, a voltage which can drive a current is induced in this coil. The direction can be determined with the help of the right-hand rule. At a constant rotational speed, magnitude and direction of the induced voltage is dependent on the position of the conductor loop.

Fig. 7.1. Model of an alternating current generator

1 - North pole
2 - South pole


a) Position of the loop of conductor at a certain instant


b) Position of the loop of conductor after half a revolution

In horizontal position, the entire magnetic flux penetrates the loop, DF/Dt has the smallest value and the induced voltage is equal to zero. In vertical position, (parallel to the magnetic fields), the rate of flux variation DF/Dt is maximum and the induced voltage has the highest value. Upon further rotation, the voltage again drops and after half a revolution reaches the value of zero. In the further course, the voltage changes its direction and reaches its negative maximum value in vertical position. After one full revolution, the initial condition is again reached, the voltage has dropped to zero and another cycle with exactly the same course can begin. In Fig. 7.2., the described conditions are shown for eight selected positions of the conductor. The behaviour of the curve is a sine function.


Fig. 7.2. Development of a sinusoidal voltage or current curve

1 - North pole
2 - South pole

Frequently, the angle is expressed in circular measure; the correlation is easily given with the circumference of a circle having the radius r = 1. We have:

Circumference of a circle C = 2 rp = 2p; the perigon of a circle is a = 360°; this means that and, hence, , , etc.

The voltage and current course represented in Fig. 7.2. is called oscillation, cycle or wave. Each wave is made up of a positive (l) and a negative (2) half wave. The time for a full revolution of the conductor loop is called time of oscillation or duration of a cycle (formula sign T). The angular velocity at which the conductor loop rotates is the angle through which the loop has passed in a certain unit of time. With a perigon of 360° = 2p, the duration of a cycle T is required. The angular velocity t is usually called angular frequency w 1) in electrical engineering and it is written as

1) w Greek letter omega

w = 2p/T

(7.1.)

where:

w

angular frequency

T

duration of a cycle

2p

circular measure of the circle (= circumference of the unit circle)

The product of wt is the angle a at time t and at me angular frequency w; a = wt. This angle is called phase angle or, in short, phase. The phase is the condition of oscillation given at a certain time which is repeated at the same time intervals.

When, for example, t = T/4, then a = w · T/4. Using = 2p/T from equation (7.1), we have a = 2p/T. . This is the phase angle at a quarter of a cycle. The number of cycles or wanes produced in a certain time (e.g. t = 1 s) is called frequency f of the alternating voltage or alternating current. The greater the duration of a cycle T, the smaller the frequency f. Fig. 7.3. shows two different curves for a duration of 1 s. The curve drawn as a solid line is a cycle, its duration T = 1 s. The curve represented by a dashed line covers five cycles (the frequency is higher), and the duration of a cycle T = 1/5 s = 0.2 s

f = 1/T

(7.2.)


Fig.7.3 Alternating currents with frequencies of 1 Hz and 5 Hz

where:

f

frequency

T

duration of a cycle

In honour of the German physicist Heinrich Hertz (1857 - 1894), the unit of frequency is called Hertz = Hz.

The following subunits are frequently required

1 kHz = 1 kilohertz = 103 Hz
1 MHz = 1 megahertz = 106 Hz
1 GHz = 1 gigahertz = 109 Hz

The correlation between the angular frequency and frequency is given by the equations (7.1.) and (7.2.).

w = 2pf

(7.3.)

Another rarely used characteristic for the electrical wave is the wavelength l 1). Wavelength is the length of a wave measured in a unit of length (e.g. m, km, cm, mm). As the electrical energy propagates with light velocity

1) l Greek letter lambda

c = 300,000 km/s

the distance over which a wave extends can be calculated on the basis of a given frequency. We have:

c = lf;

after inversion we obtain for the wavelength

l = c/f

(7.4)

where:

l

wavelength

c

velocity of propagation (c = 300,000 km/s = 3 · 108 m/s)

f

frequency

[l] = m/s · 1/s = m

The magnitude of the alternating voltage or the alternating current can be determined on the basis of the sine curve developed in Fig. 7.2. The maximum value occurring at 90° and 270° is called peak value, maximum value or amplitude and is designated by Û (or Î). All other values which very continuously and, thus, are different at any time are called instantaneous values and are designated by u (or i).

When the maximum value is known the instantaneous values can be determined at any time. The general equation of a sinusoidal alternating current is

u = Û sin wt

(7.5.)

where:

u

instantaneous value

Û

maximum value, peak value or amplitude

sin wt

factor of the sine function at angle

Besides an exclusively mathematical treatment, alternating current processes are frequently represented in diagrams which offer a better survey. Particularly suitable for this purpose are vector and line diagrams.

Vector diagram

The alternating voltage or the alternating current is represented by a pointer (vector) capable of rotating whose length corresponds to the peak value. This pointer rotates anticlockwise at the angular velocity w. The pointer position at any time indicates the position of the conductor loop. In order to determine the instantaneous of voltage or current for any desired position, a straight line is drawn from the pointer tip to the horizontal axis which passes through the centre of the circle. The length of the straight line corresponds to the instantaneous value in question (Fig. 7.4.a). The particular advantage of the vector diagram is lucidity; a disadvantage is the fact that the conditions can be represented only for one point of time or for a few selected instants.

Line diagram

The alternating voltage or alternating current is represented by a sine curve from which the values for all instants can be read off (Fig. 7.4.b). The line diagram can be developed from the vector diagram in the following manner. Close by the vector diagram, a horizontal line is drawn. This line is divided into periods, the smallest one being equal to the duration of one cacle T, or into angular degrees up to . Perpendicular lines are drawn from the points of division which resemble the lines on the vector diagram as to size and direction, when connecting the end points of the perpendicular lines, the sine curve is obtained. Fig. 7.4. shows the construction described. For reasons of clearness, the vector diagram (Fig. 7.4.a) only shows the vectors for 30°, 60°, 90°, 180° and 225°. The advantage of the line diagram is the possibility of representing all of the instantaneous values; a disadvantage is the restricted lucidity especially when several curves have to be represented.


Fig. 7.4. Graphical representation, of the alternating current and alternating voltage

a) Vector diagram
b) Line diagram

1 Periode = 1 cycle

Example 7.1.

A sinusoidal alternating voltage having a frequency of f = 50 Hz has a peak value Û = 311 V. Draw the vector diagram for the angles of rotation wt = 30°, 45°, 60° and develop the line diagram on this basis! Further, determine the angular frequency, the duration of a cycle T, and the wavelength l!

Given:

Û = 311 V
f = 50 Hz
wt = 30°, 45°, 60°

To be found:

vector and line diagrams
w
T
l

Solution: (Fig. 7.5.)

w = 2 f
w = 2 · 3.14 · 3.14 · 50 1/s
w = 314 1/s

T = 1/f
T = 1/50 s = 0.02 s
T = 20 ms

l = c/f

l = 6,000 km


Fig. 7.5. Vector diagram and line diagram for example 7.1.

Like direct current, alternating current lends itself to the operation of heating and thermal appliances as well as incandescent lamps. Alternating current motors are used for the conversion into mechanical energy. Since alternating current, in contrast to direct current, continuously changes its magnitude and direction, a mean value must be found which has the same effect as a corresponding direct current. This mean value is called effective value (or root mean square value = r.m.s. value).

In Section 4.1., the energy conversion and the power of the current have been represented in general and the relation P = I2Rt =U2/R · t has been derived. Evidently, it is the square of the current intensity and of the voltage that matters. In case of alternating current, we have to square all instantaneous values. Of all squared values of a cycle, the arithmetic mean must be formed. In this way, the square of the effective value is obtained. This is illustrated by Fig. 7.6. The sine curve has been squared.


Fig. 7.6. Determination of the effective value of the alternating current

In this way, all values, even those of the negative half wave, become positive. The squared sine cure is also sinusoidal but has double the frequency of the original curve. The arithmetic mean is I/2.

This value is the square of the effective value I, hence,

Î2 = Î2/2; and, with respect to voltage, Û2 = Û2/2

By extraction of roots in the equation, we obtain

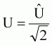
or

Since and , we obtain for the current

I = 0.707 Î or Î = 1.414 I

(7.6.a)

and for the voltage

U = 0.707 Û or Û = 1.414 U

(7.6.b)

A sinusoidal alternating current causes the same thermal effect as a direct current of intensity I if its peak value I is 1.414 times the current intensity of the direct current. Analogous conditions hold for the sinusoidal alternating voltage.

Example 7.2.

Two usual mains voltages have the following values:

a) U = 220 V;
b) Û = 535 V. Determine the peak voltage for a) and the r.m.s. voltage for b)

Given:

a) U = 220 V
b) Û = 535 V

To be found:

a) Û
b) U

Solution:

a)

Û = 1.414 U

b)

U = 0.707 Û



Û = 1.414 U · 220 V


U = 0.707 · 535 V



Û = 311 V


U = 380 V

In the general use of alternating voltages and alternating currents, always effective (r.m.s.) values are involved.

When turning a coil in a magnetic field, a voltage is induced in the coil which changes periodically with respect to magnitude and direction. The voltage and current path produced during one revolution is called oscillation, cycle or wave. The most important characteristics of a wave are duration of a cycle, frequency, angular frequency, wavelength, phase, instantaneous value, peak value or maximum value or amplitude. Any sinusoidal quantity can be described mathematically, namely, analytically by an equation, graphically by a vector diagram or a line diagram.

The value of an alternating quantity (voltage or current) is called effective value (or r.m.s. value) if the same thermal effect is produced as caused by a corresponding direct quantity (voltage or current). Current and voltage data without special designation are always effective values in alternating current engineering.

Questions and problems:

1. Determine the duration of a cycle, angular frequency, and wavelength of the oscillations with the following frequencies

a)

technical alternating current

f =50 Hz

b)

test tone for electrical paths

f = 16 · 2/3 Hz

c)

test tone for telecommunication installations

f = 1 kHz

d)

transmitter frequency of a long-wave transmitter

f = 182 kHz

e)

transmitter frequency of a short-wave transmitter

f = 6115 kHz

f)

transmitter frequency of a VHF transmitter

f =97.15 MHz

2. What are the advantages and disadvantages of the vector diagram as compared, with the line diagram?

3. Draw the vector and line diagrams of an alternating voltage whose frequency is 50 Hz, peak value 156 V and zero-phase angle 30°! Select a suitable scale!

4. Determine the peak values of the following sinusoidal quantities:

a) 6 V
b) 380 V
c) 15 kV
d) 200 µA
e) 10 A
f) 25 A

5. The peak values of the following sinusoidal quantities are given s

a) 311 V
b) 70.7 mV
c) 8.5 A
d) 4.25 mA

Find the effective values!

7.3. Resistances in an Alternating Current Circuit

Effective resistance R

Loads which completely convert the electrical energy into heat energy are called effective resistances. They include thermal appliances, incandescent lamps and wire and film resistors used for current limitation. The behaviour of effective resistances in alternating current is the same as in direct current. Ohm’s law dealt with in Section 3.2. is applicable to them without any restriction. Its resistance value R is independent of the frequency of the alternating current (Fig. 7.7.). The voltage has the same phase as the current. In Fig. 7.8., the vector diagram and the line diagram for current and voltage with an effective resistance is represented. Ideal effective resistances, also known as active resistances, have no inductance and no capacity.


Fig. 7.7. Effective (or active) resistance as a function of frequency


Fig. 7.8. Current and voltage curves for an effective resistance Reactance X

Coils and capacitors do not convert the electrical energy into heat energy but store it in a magnetic or electrical field. Such components have a reactance. A distinction is made between inductive reactances and capacitive reactances.

· Inductive reactance XL

When an alternating current flows through a coil, a voltage is induced in the latter which offers a resistance to the passage of current. This capability of offering resistance is the greater, the greater the inductance and the rate of current variation (hence, the frequency) are. Consequently, the coil has a resistance which increases with increasing frequency.

XL = wL = 2pfL

(7.7.)

where

XL

inductive reactance

w

angular frequency

f

frequency

L

inductance

[XL] = 1/s · (V·· s)/A = V/A = W

Fig. 7.9. shows the function XL = f (w)

In Section 5.3.3. proof has been given of the fact that a coil imparts sluggishness to a current. When the current passes through its maximum value (for alternating current this is , its rate of variation has the smallest value and the counter-voltage induced in the coil or the voltage drop is equal to zero. Consequently, there is a phase shift produced between current and voltage of , that is to say, the current lags behind the voltage. Fig. 7.10. shows vector and line diagrams to illustrate these correlations. Ideal coils do not have an effective resistance and no capacity.


Fig. 7.9. Inductive reactance as a function of frequency


Fig. 7.10. Current and voltage curves for an inductive reactance

Capacitive reactance XC,

When an alternating voltage is applied to a capacitor, then a continuously varying charging and discharging current is produced which apparently penetrates the capacitor. This current is the greater, the greater the capacity and the rate of voltage variation (i.e. the frequency) are. Consequently, the capacitor has a resistance which becomes smaller with increasing frequency.

XC = 1/(wC) = 1/(2pfC)

(7.8.)

where:

XC

capacitive reactance

w

angular frequency

f

frequency

C

capacity

Fig. 7.11. shows the function XC = f (w)


Fig. 7.11. Capacitive reactance as a function of frequency

In Section 6.2.2. it has been explained that no sudden voltage changes are possible in a capacitor. First a current must flow before a voltage can be brought about. Like in a coil, in this case a phase shift of between voltage and current takes place so that the current is in advance of the voltage.

Fig. 7.12. shows vector diagram and line diagram illustrating these correlations.

Ideal capacitors have no effective resistance and no inductance.


Fig. 7.12. Current and voltage curves for a capacitive reactance Impedance Z

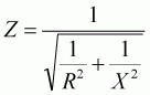
When effective resistances and reactances are connected together, either in series or parallel or series-parallel, then the equivalent resistance of the overall circuit is called impedance Z. It is the quotient of effective voltage value and effective current value.

Z = U/I

(7.9.)

where:

Z

impedance

U

effective voltage value

I

effective current value

[Z] = V/A = W

The reciprocal value of the impedance is called, admittance Y:

Y = 1/Z

Since the phase shift between current and voltage is 0° in effective resistances, 90° in reactances, the following important facts are found:

· An impedance causes a phase shift between current and voltage which is greater than 0° but smaller than 90°

The effective resistances and reactances resulting in the impedance are made up at right angles. This means that, in series connection, Z is always greater than the larger partial resistance but smaller than the algebraic sum of the two. Analogous conditions apply to the admittances in parallel connection.

Written in formular form, we have:

series connection


parallel connection


(7.10.)

(7.11.)

tan j (u) = X/R

(7.12.)

tan j (i) = R/X

(7.13.)

If, besides effective resistances, inductive and capacitive reactances are contained in a circuit, attention must be paid to the fact that the phase-shifting effect of the coil (I lags) behind U) is opposed to the action of a capacitor (I is in advance of U). Consequently, these two effects are partly neutralised or, in a special case, fully neutralised. The latter case is called resonance.

In a series connection of L and C, we have for X

X = |XL - XC|

If

XL > XC, then X is inductive



XL < XC, then X is capacitive



XL = XC, then X = 0 (resonance)

In case of resonance, the highest current is flowing; it is only limited, by the effective resistance (current increase).

In a parallel connection of L and C, we have for X

1/X = |1/XL - 1/XC|

X = |1/(1/XL - 1/XC)|

If

XL > XC then X is capacitive



XL < XC then X is inductive



XL = XC then X ® ¥ (resonance)

In case of resonance, the smallest current is flowing, namely, only the current through an effective resistance connected in parallel. When current is supplied at a constant rate, a maximum voltage drop is brought about (voltage increase).

Example 7.3.

A coil with an inductance L = 200 mH is connected in series with an effective resistance R = 100 W. A current of 500 mA with a frequency of 50 Hz is flowing through the circuit (Fig. 7.13.).


Fig. 7.13 Circuit for example 7.3

Draw the vector diagram for current and voltage true to scale. Calculate the partial voltages, the total voltage and the phase angle between current and voltage!

Given:

L = 0.2 H
R = 100 W
I = 0.5 A
f = 50 Hz

To be found:

vector diagram
UR; UL: U
j (u)

Solution:

UR = R I = 100 W · 0.5 A
UR = 50 V

UL = XLI
XL = wL = 2p f L = 2 · 3.14 · 50 1/s ··0.2 H
XL = 62.8 W
U1 = 63.8 W · 0.5 A
UL = 31.4 V

Now, the vector diagram can be drawn with the data obtained. The total voltage U 60 V and the phase angle j = 32° are indicated by the length of the vectors.


Fig. 7.14. Vector diagram for example 7.5.

Calculation:

U = Z · I


Z = 118 W
U = 118 W · 0.5 A
U = 59 V

Proof:


tan j = XL/R
tan j = 62.8/100 = 0.628
j = 32°

Example 7.4.

A capacitor with a capacity of C = 5 nF is connected, in parallel to an effective resistance R = 100 kW. A voltage of 10 V having a frequency of 300 Hz is applied to the circuit (Fig. 7.15.).


Fig. 7.15. Circuit for example 7.4.

Draw the vector diagram for current and voltage true to scale. Calculate the partial currents, the total current and phase angle between current and voltage!

Given:

C = 5 nF
R = 100 kW
U = 10 V
f = 300 Hz

To be found:

vector diagram
IR; IC; I
j (i)

Solution:

IR = U/R = 10 V/100 KW
IR = 100 µA

IC = U/XC
XC = 1/(wC) = 1/(2pfC) = 1/(2 · 3.14 · 300 1/s · 5 · 10-9 F)
XC = 106 KW
IC = 10 V/106 kW
IC = 94 µA

Now, the vector diagram can be drawn on the basis of the values obtained above.

The total current I » 140 µA and the phase angle of j 45° are indicated by the lengths of the vectors.

Calculation:


I = 137 µA

Proof:

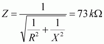
I = U/Z

I = 10 V/73 kW = 137 µA
tan j = R/Xc
tan j = 100/106 = 0.943
j = 43 °


Example 7.5. Vector diagram for example 7.4.

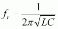
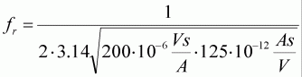
An alternating voltage of 500 mV is applied to a series connection of R = 250 W, L = 200 µH and C = 125 pF. Calculate the maximum possible current and the frequency fr at which this current will flow!

Given:

R = 250 W
L = 200 µH
C = 125 pF
U = 500 mV

To be found:

Imax
fr (resonance frequency)

Solution:

Imax = U/R (case of resonance)
Imax = 0.5 V/250 W = 2 mA
Imax = 2 mA

resonance at XL = XC

XL = 2pfL
XC = 1/(2pfC)
2 · rfL = 1/(2pfrC)

Inversion for results in

fr2 = 1/(22 p2 LC)


fr » 1 MHz

There are effective resistance, reactances and impedances in the form of loads.

Effective resistance convert the electrical energy completely into heat energy; They are independent of frequency and do not cause phase shifts between current and voltage.

Storage elements such as coils and capacitors have a reactance. It is frequency dependent and causes a 90 ° phase shift between current and voltage. There are inductive and capacitive reactances.

In inductive reactances, the current lags behind the voltage, and in capacitive reactances, the current is in advance of the voltage.

Impedances are interconnections of effective resistances and reactances. They are dependent on frequency because of the reactance included in the system. The magnitude of the impedance can be found by diagrams or by calculation by geometric addition. Depending on the preponderance of the inductive component or the capacitive component, either the voltage is ahead of the current or vice versa. The phase angle is always between 0° and 90°. If, in one circuit, inductive and capacitive components are present, they neutralise each other partly or completely. The special case where the inductive reactance is equal to the capacitive reactance is called resonance. The frequency in the presence of which resonance occurs is called resonant frequency or frequency of resonance. When resonance is present, a circuit has the behaviour of an effective resistance.

Questions and problems:

1. What is the essence of effective (or acktive) resistances, reactances and impedances?

2. A coil has a reactance of 100 W at a frequency of 50 Hz. What is the size of the inductance?

3. Represent graphically the curve of the reactance in dependence of the frequency from 0 to 10 kHz for a coil having an inductance of 5 H.

4. At a frequency of 50 Hz, a capacitor has an impedance of about 65 W. What is the size of its capacity?

5. Represent graphically the curve of the impedance in dependence of the frequency from 0 to 10 kHz for a capacitor with a capacity of 100 µF!

6. A coil with a loss resistance (effective resistance) of 12 W connected in series has an impedance of Z = 20 W at a frequency of 50 Hz. The phase angle is 53°. Determine the magnitude of the inductive reactance and the inductance by graph and by calculation!

7. What is the frequency t which resonance occurs in a circuit?

7.4. Power of Alternating Current

When loads carry current, a voltage drop is caused. The product of the instantaneous values of current and voltage is called instantaneous power. Normally, the instantaneous power changing from time to time is of less interest than its mean value.

In an effective resistance, current and voltage are in phase. The electrical power becomes completely, i.e. effectively, utilisable. It is called effective power Pe (active power). It can be determined on the basis of the effective values according to the relations derived in Section 4.1.

[Pe] = W (watt)

In a reactance (ideal coil, ideal capacitor), current and voltage are subjected to a phase shift of 90°. The electrical power is required for the duration of a quarter of a cycle for the building up of the magnetic field (in a coil) or of the electrical field (in a capacitor) and delivered in the subsequent quarter of a cycle. There is no power conversion in a temporal mean. This power is called reactive power Pr.

[Pr] = Var (voltampere - reactive)

In an impedance, the phase shift between current and voltage is between 0° and 90°. The electrical power is converted partly as effective power and partly as reactive power. This power is called apparent power Pa.

[Pa] = VA (voltampere)

Since effective resistances and reactances are made up at right angles, this analogously applies to the powers. Consequently, effective and reactive powers are the legs and the apparent power is the hypotenuse of a right-angled triangle having the phase angle (Fig. 7.17.).


Fig. 7.17. Correlation between effective power, reactive power and apparent power

Pw = Pe, Pb = Pr, Ps = Pa

From this follows

Pa = U · I

(7.14)

where:

Pa

apparent power

U

effective value of voltage

I

effective value of current

From Fig. 7.17. we can cerive


(7.15.)

Pe = Pa cos j

(7.16.a)

Pr = Pa sin j

(7.16.b)

The expression cos in equation (7.16.a) is called power factor.

From equation (7.16.a) we have

cos j = Pe/Pa

(7.16.c)

The power factor cos can be between 0 and 1;

With a low power factor, the reactive power is high. Since reactive power unnecessarily loads the generators of the power stations and the distribution network, the reactive power must be kept as small as possible for economical reasons; in other words, cos j must be as high as possible. A power factor of cos j = 1 is an ideal case.

In networks of power electrical engineering, an inductive phase shift occurs always because of the necessary transformers and connected motors; this phase shift always worsens the power factor.

The power factor can be improved up to the value of cos j = 1 by means of an additional capacitive component. In practice, capacitors are connected in parallel having a total capacity of

C = Pr/(w·U2)

(7.17.)

where

C

capacity required to attain a cos j = 1

Pr

reactive power

w

angular frequency

U

alternating voltage (effective value)

Of the energy or work has to be determined., then the product of power times time must be formed according to Section 4.1. In accordance with the various types of power, there are effective work, reactive work and apparent work.

Example 7.6.

An enterprise is connected to a 380 V network (50 Hz). A current of 66 A passes through the loads with a power factor of cos j = 0.5. Determine the apparent power, effective power and reactive power and the capacity of the capacitor necessary to improve the power factor to cos j = 1!

Given:

U = 380 V
I = 66 A
f = 50 Hz
cos j = 0.5

To be found:

Pa, Pe, Pr, C

Solution:

Pa = U I
Pa = 380 V · 66 A = 25,000 VA
Pa = 25 kVA

Pe = Pa cos j
Pe = 25 kVA · 0.5
Pe = 12.5 kW

Pr = Pa sin j


Pr = 25 KVA · 0.865
Pr = 21.6 kVar

Proof with equation (7.15.)


C = Pr/(wU2)

C » 500 µF

With a capacitor connected in parallel with the loads having a capacity of C 500 µF, the bad power factor of cos j = 0.5 can be increased to the ideal value of cos j = 1.

With alternating current, there are three types of powers, namely, apparent power, effective power and reactive power. Effective power and reactive power are made up at right angles. The apparent power is always greater than effective power or reactive power but it is always smaller than the algebraic sum of the latter two. Efforts are always made to achieve a high effective power and a reactive power which is as small as possible. The ratio of effective power to apparent power is called power factor. It can reach the value of 1 in the most favourable case. The power factor can be improved when a capacitor is connected in parallel with the loads.

Questions and Problems:

1. What are the differences between effective power, reactive power and apparent power?

2. What are the values of the effective power and reactive power when the apparent power is 23 kVA with a phase angle of j = 30°?

3. Why is a high power factor desired in energy supply systems? Explain measures by means of which the power can be improved!

4. Two motors are connected, in parallel and to a supply system of 220 V. One motor has a power factor of 0.65 and carries a current of 2 A; the other motor having a power factor of 0.85 carries a current of 5.5 A. Calculate for the total circuit the effective power, reactive power and apparent power and the total power factor!

TO PREVIOUS SECTION OF BOOK TO NEXT SECTION OF BOOK