Back to Home Page of CD3WD Project or Back to list of CD3WD Publications

CLOSE THIS BOOKEngines for Biogas (GTZ, 1988, 133 p.)
5. The Gas Diesel Engine
VIEW THE DOCUMENT(introduction...)
VIEW THE DOCUMENT5.1 The Dual Fuel Engine
VIEW THE DOCUMENT5.2 Modification into a Dual Fuel Engine
VIEW THE DOCUMENT5.3 Control in Dual Fuel Mode
VIEW THE DOCUMENT5.4 Performance, Operational Parameters
VIEW THE DOCUMENT5.5 Modification of a Diesel Engine into a Gas Otto Engine

Engines for Biogas (GTZ, 1988, 133 p.)

5. The Gas Diesel Engine

Diesel engines can be modified to operate on gaseous fuels in two
different ways:

-dual fuel operation with ignition by pilot fuel Injection,
-operation on gas alone with spark ignition.

5.1 The Dual Fuel Engine

5.1.1 What is "Dual Fuel Operation"?

As described in Chapter 3.3.1 on diesel engines, the fuel is mixed with air towards the end of the compression stroke of the engine by being sprayed into the combustion chamber with high pressure (about 200 bar). The fuel is immediately ignited when it comes into contact with the hot compressed air.

In dual fuel operation the normal diesel fuel injection system still supplies a certain amount of diesel fuel. The engine however sucks and compresses a mixture of air and fuel gas which has been-prepared in an external mixing device. The mixture is then ignited by and together with the diesel fuel sprayed in.

The amount of diesel fuel needed for sufficient ignition is between 10% and 20% of the amount needed for operation on diesel fuel alone. It differs with the point of operation and engine design parameters.

Operation of the engine at partial load requires a reduction of the fuel gas supply by means of a gas control valve. The valve can be manually operated or automatically, using mechanical or electronic system. A simultaneous reduction of the air supply would however decrease the suction, hence the compression pressure and the mean effective pressure, and would lead to a drop in power and efficiency. With drastic reduction the compression conditions might even become too weak to effect self-ignition. Dual fuel engines should therefore not be throttled/controlled on the air side.

The air/fuel ratio of the sucked mixture varies by control of the fuel gas but even a very lean mixture (l= 4.0) still ignites with the many well distributed spray droplets of diesel fuel.

All other parameters and elements of the diesel engine remain unchanged such as the compression ratio, the point or crank angle of injection, etc.

Modification of a diesel engine for a dual fuel process has the following advantages:

- Operation on diesel fuel alone is possible in cases where fuel gas is in short supply.

- Any contribution of fuel gas from 0 . . . 85 % can substitute a corresponding part of the diesel fuel while the performance remains as in 100% diesel fuel operation.

- Because of the existence of a governor at most of the diesel engines automatic control of speed/power can be done by changing the amount of diesel fuel injection while the gas fuel flow remains uncontrolled, i.e. constant; diesel fuel substitutions by biogas are however less substantial in this case.

The limitations need to be mentioned also.

- The dual fuel engine cannot operate without the supply of diesel fuel for ignition.

- The fuel injection jets may overheat when the diesel fuel flow is reduced to 10 or 15% of its normal flow. Larger dual fuel engines circulate extra diesel fuel through the injector for cooling.

Self-modified diesel engines are often operated at higher diesel fuel rates than necessary for ignition purposes in order to facilitate sufficient cooling of the jet. In operation with scrubbed biogas, i.e. 95...98% CH4, combustion temperatures are higher than for untreated biogas so that diesel fuel substitution is limited at about 60% maximum, i.e. an amount of 40% diesel fuel is necessary for ignition and for cooling of the injector nozzle.

To what extent the fuel injection nozzle can be affected is however a question of its specific design, material and the thermal load of the engine, and hence differs from case to case. A check of the injector nozzle after 500 hours of operation in dual fuel is recommended.

5.1.2 Different Types of Dual Fuel Modification

The type of modification chosen is largely dependent on:

- anticipated type of operation,
- available funds,
- available expertise/manpower,
- type of driven machine,
- biogas supply,
- availability/cost of engine,
- economic conditions.

All parameters need to be well considered before a choice of engine is made. The alternative of an Otto gas engine or even no engine but an alternative solution is also worth being discussed (see Chapter 7).

5.1.3 Mixing Devices for Dual Fuel

For dual fuel operation a mixing device has to meet the following requirements:

- provide a homogeneous mixture of both air and fuel gas,
- vary the fuel gas flow according to performance required,
- be able to supply sufficient air and fuel for operation at maximum load and speed under consideration of the actual pressures of gas and air and the fact that the excess air ratio shall not be less than about l = 1.5 because sufficient excess air is needed for combustion of the pilot fuel also,
- enable automatic control of operation in partial load by means of a governor or electronically controlled mechanisms if required.
There are several alternatives in meeting these requirements.

5.1.3.1 Simple Mixing Chambers

A simple mixing chamber consists of a container or even a T-junction of a tube or flow channel with an inlet for air and for gas each and an outlet for the mixture of both. The outlet is connected to the intake channel or manifold of the engine. For control of the engine power (partial load) the fuel gas supply is controlled by a valve. The valve may be hand-operated or can be connected to an automatic control, either mechanically by a governor or electronically.

The airflow into the mixing chamber is not controlled for reasons explained earlier. It may however be necessary to slightly throttle the airflow before it enters the mixing chamber or mixing zone in a channel in order to provide a slight depression. The depression may only be necessary in cases where the fuel gas is supplied at a low pressure (underdimensioned supply piping!) to create the necessary pressure drop for sufficient suction of the fuel gas. The position of the depression throttle will remain unchanged during operation. In most cases the depression created by the air filter provides sufficient suction for the gas. Any depression, however, lowers the performance. A marginal loss may be seen as acceptable if control is eased on the other hand.

The gas flow however is also dependent on the dimension of the gas pipe. Pipes with small diameters create more resistance, hence more pressure drop than in pipes with larger diameters. The gas supply pipe from the plant shall therefore have a diameter which is not smaller than about 0.5 times the diameter of the air inlet to the engine manifold. An oversupply of fuel gas cannot occur as the gas flow will be controlled by the gas valve at inlet to the mixing chamber.

Mixing chambers with a larger volume than just a T-joint pipe provide a longer retention time of air and fuel inside the chamber and a more homogeneous mixture which becomes essential when the distance between mixing device and inlet manifold is short, hence the mixing time. The connection of the gas supply pipe into the suction chamber of a larger oilbath air filter may meet the requirements for a simple mixing chamber also.


Fig. 5.1: T-joint mixer


Fig.5.2: Simple mixing chamber with hand - controlled valve (HCV)


Fig. 5.3: Air filter modified into mixing chamber

A mixing chamber as described here will provide an individual air/fuel mixture according to its design and/or setting of its fuel gas valve. Once it is properly tuned, the engine operates well at constant speed and power output as long as the power demand from the driven machine is not varied. At higher load and hence lower speed, however, the intake of the engine will suck less air while the fuel gas flow remains almost constant. As a result the air/fuel ratio will change and the mixture becomes richer. If the engine finds a new balance at a lower speed which the driven machine can tolerate, operation may continue without adjustments as the usually high excess air ratio allows for more fuel. The governor - unless blocked - will also increase the amount of diesel fuel injected to maintain the former speed. To save this additional diesel fuel consumption, the control of the gas flow should therefore always be adjusted when the engine is operated at considerably different conditions.

5.1.3.2 Venturi Mixer

A venturi mixer is shown further below in Fig. 6.2. The supply of biogas through several bores around the circumference of the "bottleneck" facilitates the homogeneous mixture of gas and air. The specific advantage of a venturi mixer, i.e. the constant air/ fuel ratio of the mixture, can hardly be utilized by a dual fuel diesel engine as a variation in power output is usually effected by a variation of fuel alone, hence by excess air ratio, not by a variation of the cylinder filling rate as is the case in Otto engines.

The design of a venturi mixer for diesel gas engines will have to consider a larger excess air ratio of about l = 1.5 to ensure complete combustion of fuel gas and pilot fuel. They do not need a throttle valve for the control of the intake to the engine as this would lower the mean effective pressure, hence the efficiency of the engine. Should the venturi mixer used have a throttle, it should be kept fully open at any condition. Power and speed are to be controlled by variation of the fuel input (fuel gas and/or diesel fuel) only. For the design parameters of a venturi mixer refer to Chapter 6.

5.1.3.3 Mixing Valves

Mixing valves are designed to supply an engine with an air/fuel mixture at a constant excess air ratio while the flow rate of the mixture can be controlled by an integrated throttle valve. For similar reasons as explained in the previous chapter on venturi mixers, the mixing valves have no special advantage compared to a mixing chamber in dual fuel operation.

5.1.3.4 Other Mixing Devices

In some larger specially designed diesel gas engines fuel gas is supplied through an extra gas inlet valve in the engine's intake which is opened and closed by the engine's camshaft in relation to the crank angle. A gas control valve in the gas inlet pipe/channel is connected to the engine's speed and power control. This control system provides better fuel economy as fresh gas is only sucked in when the outlet valve is already closed so that absolutely no fuel is wasted, i.e. uncombusted.

This system is usually not provided for engines within the scope of this publication as it involves more sophisticated mechanics and control and makes the engine more expensive. The system cannot be integrated into a normal diesel engine with reasonable efforts and is therefore not considered here.

5.2 Modification into a Dual Fuel Engine

5.2.1 Design and Dimensioning of Mixing Chamber

5.2.1.1 Volume of the Mixing Chamber

The mixing chamber types mentioned above basically provide good mixing of air and biogas. In the tube-type mixer the distance between gas inlet and the engine manifold should not be too short to allow sufficient time for the mixture to become homogeneous.
This is essential for a multicylinder engine as the flow conditions in the manifold may cause an uneven distribution of fuel gas to the cylinders if air and fuel are not fully mixed before thy enter the manifold. As a minimum distance between the gas inlet and the inlet to the engine manifold one should consider twice the tube (inlet) diameter.

As an orientation value for the volume of a mixing chamber choose the cubic capacity of the engine, i.e. about 2 lifers for an engine with 2-1 capacity. The actual shape of the mixing chamber whether cubic or cylindrical may be chosen in accordance with the availability of space, material and the best mode of connection to the manifold.

5.2.1.2 Connection to Engine and Air Filter

Air filters are in most cases directly connected to the engine inlet manifold; in a few cases they are detached and connected with a flexible hose pipe. Usual ways of connection are

- clamps,
- flanges,
- threads.

The design and dimensions of the mixing chamber inlet and outlet need to match with the air filter and inlet manifold respectively. Tube-type mixers should have the same or larger diameters than the inlet manifold. In case of a larger diameter a reducer adapter is necessary with a maximum reduction angle of 10° to ensure smooth flow without detachment. Mixing tubes with a diameter smaller than the manifold should not be used as they cause unnecessary flow restrictions and power reduction at higher speeds.

Adapters will also be necessary to connect square-shaped channels with circular channels. The cross-sectional area of the mixing device should in no case be smaller than the respective area of the engine inlet manifold.

5.2.1.3 Gas Inlet Pipe/Nozzle

The fuel gas inlet nozzle dimension is mainly dependent on:

- fuel energy required by the engine at maximum rated power and speed,
- calorific value of the biogas (per volume) under the actual conditions of temperature, pressure and its composition (CH4 content), see Chapter 4.

The fuel energy required by an engine can be determined using its specifications, either the total efficiency or the specific fuel consumption at rated conditions. In cases where no information is available the following mean values can be assumed:

- total efficiency htot

= 0.25 for engines up to 1000 cm³ capacity

= 0.3 for engines from 1000 cm³ upwards

- specific calorific fuel consumption sfccal

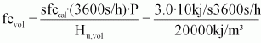
The following diagrammatic example shall demonstrate the determination of the actual volumetric demand for biogas of an engine with the following data (see procedure in Chapter 4):

- rated power (mech.): P = 10 kW
- biogas volumetric calorific value:

Hu,vol = 20 000 kj/m³

- specific calorific fuel consumption:

- proportion of biogas in total fuel: 80%

Step 1:

Find the total volumetric fuel demand (consumption)

Step 2:

Consider proportion of biogas, i.e. 80%

The volumetric fuel demand in this case is 4.32 m³/h.

The diameter of the fuel gas inlet nozzle which is large enough to allow the calculated volume to pass into the mixing chamber depends on the following parameters:

- vacuum (or depression) in mixing chamber or manifold,
- pressure in biogas plant or piping respectively.

A volume flow through a pipe, orifice, nozzle or similar is described by

(Equ. 5.1)

with V = volume flow in m³/s, c = flow velocity in m/s, Across-sectional area in m².

From an energy balance for a tube flow² at two different cross-sectional areas (1 and 2) the velocity can be calculated:

(Equ. 5.2)

(Equ. 5.3)

The density of the biogas, like the calorific value, varies with the pressure, temperature and composition. The velocity in the piping between the plant and the engine depends on the volume flow (as calculated), the crosssectional area of the pipes (see Equ. 5.1) and the flow resistance of pipe bends, valves, etc. The piping size shall always be large enough so that the flow velocity does not exceed c1 = 2 m/s to reduce Cow friction and prevent a substantial pressure loss between plant and engine. Too narrow piping or restrictions can cause a throttle effect and insufficient biogas supply to the mixing chamber.

The active difference of pressure between the gas in the supply pipe before the mixer and the pressure of the airflow in the mixer is a sum of the

- biogas plant pressure, i.e. Dp = 0.005 ... 0.02 bar,
- depression in manifold/mixing chamber, i.e. dp = -0.01 ... 0.02 bar,
- losses in piping, filters, control valve and the nozzle or jet itself, i.e. dp = 0.01 . . . 0.05 (estimated).

It can therefore assume values between 0 and 60 mbar (0 ... 60 cm W.H.) depending on the actual conditions of plant, piping, engine suction, etc.

A simple and effective way to establish the actual pressure difference at maximum conditions is a connection of a water-filled U-tube, even from bent transparent plastic pipes. It should be connected to the manifold or mixing chamber on one side and the gas pipe before inlet to mixing chamber on the other.

A pressure difference of Dp = 50 mbar, an average biogas density of 1 kg/m³ and a flow velocity in the gas pipe of about 2 m/s result in a theoretical gas flow velocity at the jet (or point of smallest diameter, i.e. orifice, control valve) of cg = 100 m/s (see Equ. 5.3). However, at high velocities as in this case the flow friction considerably reduces the velocity, especially when the gas is introduced through several small holes instead of one larger inlet.

The exact calculation of all parameters influencing the cross-sectional area of the nozzle would involve extremely precise and scientific measurements and manufacture of the mixing device as weld as constant gas conditions. It shall therefore, in line with the framework of this publication, be allowed to use a more practicable approach to establish the dimension of the jet. The fact that furthermore the gas conditions are subject to changes due to weather and biogas plant performance justifies the use of assumption which consider a variety of operational parameters and will allow the engine to be operated under more than only one specified condition.

It is therefore recommended to dimension the nozzle's cross-sectional area in such a way that sufficient biogas can be supplied to the engine even at "unfavorable" conditions, i.e. low volumetric calorific value of the biogas, low gas pressure, considerable flow resistance, etc. The gas inlet will thus be slightly oversized in some cases. However, an oversupply of biogas can easily be prevented by the control or calibration valve which after all acts as an additional resistance in the piping system and reduces the active pressure difference at the nozzle, i.e. the flow velocity and gas supply. Should the biogas supply at a later stage still be found too high at fully opened control valve, an additional fixed orifice or adjustable throttle can be installed in the gas pipe to limit the maximum gas flow and prevent operation with an oversupply of gas at the control valve in fully open position. A well adjusted pneumatic pressure regulation valve can serve the same purpose.

The following parameters shall therefore serve for the dimensioning of the gas pipe:

- active pressure difference Dp = 0.02 bar (20 cm W.H.),
- velocity at gas nozzle cg = 20 m/s,
- volumetric calorific value of biogas Hu,vol = 17000 kJ/m³,
- specific fuel consumption of the engine sfc = 0.8 m³/kWh.

The example below shall illustrate the procedure:

Engine parameters:

- rated power: 25 kW
- cubic capacity: 3.5 liters
- engine speed: n = 1800 1/min
- volume efficiency: hvol = 0.85
- manifold connection diameter: 60 mm
- substitution of diesel by biogas: 80%
- mixer type chosen: tube type

Step 1:
Volumetric air intake, Vair (4-stroke engine):

(Equ. 5. 4)

Step 2:

Cross-sectional area of intake (and tube mixer), Ai:

(Equ. 5.5)

Step 3:

Intake velocity, ci:

Step 4:

Volume flow of biogas (fuel consumption, fc) at rated power:

Step 5:

Consideration of percentage of biogas in total fuel (for dual fuel only):

Step 6:

Cross-sectional area Ag and diameter dg of nozzle:

The gas nozzle diameter of can thus be assumed to be sufficient for operation under the conditions specified above. However, should the engine be operated at a higher rate of power and speed the nozzle may be found to be too small. It is therefore essential to carefully anticipate all possible ranges of operation. In cases of doubt a 10% oversizing of the gas nozzle diameter is allowable. The total area of a multiple hole gas inlet shall also be about 10% bigger than the area calculated for a one-hole inlet to compensate for the increase in flow friction. The maximum (total) area of the nozzle(s) shall however not exceed one tenth of the intake manifold cross-sectional area.

The shape of the nozzle and the way it is connected or introduced into the mixing device is important for a good mixture of air and gas. The following methods are possible:

- Simple T-joint:
The gas pipe is butt-joined without protruding into the mixing device, effecting only a little change of active pressure drop at higher engine suction (speed). The minimum distance of the gas inlet, i.e. two times the tube diameter from the engine manifold has to be observed for all T-joint mixer types (see Fig. 5.1).

-T-joint with the gas pipe protruding into the mixing device:
The gas pipe (nozzle) is cut oblique (30 ... 45°) with the opening facing the engine inlet. The protruding gas pipe slightly decreases the cross-sectional area for the airflow and causes a slight depression, thus increasing the active pressure drop for the gas to flow into the mixing device. The pressure drop rises with engine suction (engine speed), and hence sucks more gas also. The function is somewhat similar to the function of a venturi jet. The mixing performance is superior to that of a blunt T-joint (see Fig. 5.4).


Fig. 5.4: T-joint mixer with oblique, protrunding gas inlet

- Venturi mixer:
This type is equipped with a ring channel and several small gas inlets around the circumference (see Fig. 6.2). With a ratio between the manifold inlet diameter and the venturi jet diameter of di/dv = 1.5 . . . 1.7 the venturi provides an almost constant ratio of air and fuel at any flow rate into the engine without adjusting the gas valve. However, when used for a dual fuel engine, at partial load operation the gas control valve needs to be operated (partly closed) for fuel reduction.

- Mixing chambers with larger volumes: Due to the relatively low flow velocities more time for mixing is available. It is, however, advantageous for the mixing if the gas pipe protrudes into the chamber and distributes the gas through several holes. The flows can also be further mixed with two or three layers of wire mesh (about 1 cm³ mesh aperture) at a short distance (about 5 mm) between each other (see Fig. 5.5).


Fig. 5.5: Mixing chamber with gas distribution pipe and wire mesh for intensive mixing

5.2.2 Manufacture and Installation

5 2.2.1 Manufacture

Tube Type

A tube-type mixer can be manufactured from standard tube material, e.g. water pipes and other steel tubes. Plastic material may be suitable in cases where the tube is not directly mounted to a hot engine manifold or when heat-resistant material is available. The gas pipe/nozzle can be brazed, welded or glued with a two-component synthetic resin cement into a hole with a matching diameter. When the connecting flanges are being welded to the tube the final position of the gas inlet has to be observed in relation to the manifold to obtain good access to the control valve when mounted directly to the mixer. The mixer is to be installed between the air filter and the engine inlet. In cases where space does not allow direct mounting to the manifold the mixing tube/chamber can be installed nearby using a flexible hose pipe for connection to the manifold. In case of a connection flange at the manifold a short tube socket will have to be manufactured to connect hose pipe and manifold.

V-type engines or other engines with two air inlets require one common mixing device to secure the supply of all cylinders with a uniform air/fuel ratio. The mixing tube/chamber will have to be connected to the two inlets with a Y-pipe, two flexible hose pipes and two pipe sockets mounted to the engine inlets. The use of two individual mixers should be discouraged unless they are identical in all parameters including the setting of the gas control valve.

Their design parameters would then need to consider that they feed only one half of the engine, i.e. airflow and gas supply are one half of what the engine requires in total (see Fig. 5.7).

Mixing Chamber

Mixing chambers can be made of sheet material, larger tubes, hollow profiles, etc. The connectors or flanges and the gas inlet are brazed or welded, likewise the body itself. Should an oilbath air filter be used as a mixing chamber the gas inlet needs to be connected to the clean air chamber.

If it is necessary to install the mixing chamber separately from the engine due to scarcity of space or the existence of more than one engine inlet refer to explanations given above for tube-type mixers.


Fig. 5.6: T-joint mixer installed between air filter and engine inlet

5.2.2.2 Installing the Mixing Chamber

Diesel engines, whether of a stationary or vehicle type, are usually equipped with an air filter/air cleaner connected to the inlet manifold or suction channel of the engine. The air filter can be fixed using

- a flange,
- threads,
- a clamp.

The installation of the mixing chamber is carried out as follows:

- Disconnect the air filter.
- Take measurements of the connecting flange, threads, clamp and manufacture flanges, threads, clamps in such a way that the mixing chamber can be connected to the manifold and the air filter can be connected to the mixing chamber with matching dimensions.
- Observe the flow direction in the mixing chamber.
- Observe easy accessibility to the biogas control valve cum piping.
- Observe the final position of the air filter (space!).
- Manufacture or buy additional gaskets or seals and bolts/nuts or clamps.
- Mount the mixing chamber to the manifold with gasket/seal.
- Mount the gas control valve cum seal and connect it to the biogas piping with flexible hose pipe and hose clip (engine vibrates!).
- Mount the air filter to the mixing chamber with gasket/seal.

With the mixing chamber properly inserted between air filter and engine manifold and the connection of a manual control valve the essential steps for a simple but practicable modification of a diesel engine have been taken.

For V-type engines distribute the air/fuel mixture with the help of a Y-pipe to the engine inlets. If two separate air filters were previously used, they must both be retained and connected to the mixing device possibly using another Y-pipe. One can also use a new air filter, which needs to be large enough for the total air volume flow rate of the engine, i.e. twice the volume flow rate of one of the previous air filters (see Fig. 5.7).


Fig.5.7: Mixing chamber connected to a V-type engine (engine)

5.3 Control in Dual Fuel Mode

5.3.1 Manual Control

There are two different ways to control the power and speed of a dual fuel diesel gas engine. As only the fuel flow (but not the airflow) is to be varied, one can control the supply of both

- the diesel fuel, and
- the fuel gas.

Almost every diesel engine is equipped with a speed governor. Governors may be different in their design and function. The main difference is determined by the original use of the engine, whether for a vehicle or for stationary purpose. The governor/injector system should be retained in order to facilitate operation on diesel fuel alone whenever required.

Stationary engines mostly have a manually adjustable lever to set the required speed.

The governor will act to vary the amount of fuel injected in order to maintain the required speed at any load. However, the speed will be constant within certain limits only, usually + 2 ... 5%. The control characteristics of the governor are usually very "steep", i.e. within a certain small variation of speed the control rack hence amount of fuel are varied from 100% to minimum (idling). For very precise speed control the lever therefore sometimes needs to be adjusted marginally by hand after a larger change of power demand unless a particularly accurate governor is employed.

When the engine is started on diesel fuel and the biogas valve is slowly opened the governor senses an increase of speed which results from the increase of total fuel. The speed increase effects a change in the centrifugal mechanism and the control rack is moved to reduce the injected fuel. With more biogas being introduced; diesel fuel is furtherly reduced. Should the governor have a minimum (idling) position, the diesel fuel amount cannot be reduced by the governor to less than the set idling amount, so that further biogas will cause a speed increase of the engine. The idling adjustment screw can be used to set the amount of pilot fuel needed, i.e. 15 . . . 20 % of rated power. The performance control is now effected by variation of the biogas supply alone until the biogas supply itself becomes too low for the required power and the governor increases diesel fuel to a larger than the ignition portion only.


Fig. 5.8: Governor for diesel fuel injector pump (Bosch).

1 control lever, 2 governor lever, 3 centrifugal weights, 4 governor main spring, 5 idling adjustment, 6 full load adjustment, 7 control rack to injector pump

If the governor has no adjustable idling mechanism and too much biogas is introduced, the injected diesel fuel is gradually reduced to less than about 10 ... 15% of its original amount. Sufficient ignition is no longer guaranteed, the engine will begin to stall and finally come to a halt.

The maximum possible biogas input is reached just before the engine starts to run unevently. The relevant position of the manual biogas valve should be marked or fixed to prevent a biogas oversupply. At any different speed or power required, however, the gas control valve position will have to be adjusted. The simple manual method of control therefore needs either a guaranteed continuous load on the engine or an operator nearby to adjust the gas flow according to the engine load.

Small variations of load will cause small changes in speed. The driven machine's operation or performance curves will determine to what extent such changes in speed are allowable, i.e. how far the engine/machine set can operate without constant supervision. At constant supply of biogas an increase of power demand will be automatically compensated by increase of diesel fuel injection, while a decrease in power demand may cause dangerous overspeeding if the governor had been blocked by the idling screw and cannot cut off the ignition fuel.


Fig. 5.9: Fuel supply vs. power output Diesel pilot fuel constant, biogas controlled (manualy or automaticaly) according to power demand.
1 total fuel, 2 portion of biogas in total fuel (simplifying assumption: sfc=constant).


Fig.5.10: Butterfly gas control valve with elliptic butterfly for small angular movement (45º)

5.3.2 Automatic Control

For some applications automatic control is required, e.g. for electric generators unless the electric power is very stable or the electrically driven machines can tolerate the speed/frequency fluctuations. The gas flow needs to be controlled by a butterfly valve which is operated between fully open and fully closed position by short movements, i.e. a 90° or smaller angular movement, and with little force (Fig. 5.10).

The butterfly valve can be operated by a solenoid mechanism (positioner/actuator) which receives its impulse from an electronic control unit which again has a sensor for the engine or generator speed or frequency. The minimum diesel fuel for ignition is set at a fixed point in the injector pump whereby the control rack is blocked in the respective position, i.e. the fuel injected does not change with speed alterations. The idling adjustment screw on the governor can be used for setting the constant minimum pilot fuel injection.

This arrangement does not only require expertise in modification of injector/governor units and electronic equipment. It also needs a secure overspeed protection' as in case the load drops to zero (e.g. generator switch tripped) the engine can overspeed. The governor in this case cannot reduce the diesel pilot fuel injected anymore. If the control does not immediately close the gas control valve, the engine can be driven to selfdestruction. The overspeed device will have to act upon the air supply and/or the diesel fuel supply using solenoid valves.

In case the engine is needed to operate on diesel fuel alone the additional bolt inserted into the governor housing to block the control rack can be turned backwards or removed. Even at any lower rate of biogas supply the engine will operate to its required performance. If the gas is not sufficient to produce the required power the governor will increase the amount of diesel fuel automatically. The speed droop of the electronic control unit will, however, have to be smaller than that of the mechanical governor so that the gas valve is opened to utilize all possible gas first before the diesel fuel is increased by the mechanical governor.

A possible alternative to the electronic speed control is a separately mounted mechanical governor which is driven with a V-belt from the engine's pulley on the crankshaft. Mechanical governors are usually reliable, less prone to maladjustments and comparatively easy to install. A separate mechanical governor also does not interfere with the function of the integrated governor acting on the fuel injection pump.

The mechanical governor of the engine can in principle also be used for speed control. However, this involves elaborate modifications as the governor movement needs to be transferred to outside its housing while the control rack for the injector pump is disconnected and fixed in the appropriate position for pilot (ignition) fuel injection. The governor movement and the movement of the gas butterfly valve lever need to be tuned upon each other. A sound knowledge of control mechanics and the characteristics of the governor is also necessary for such modification. Governor types from vehicle engines are usually not suitable as they often only control the low speed (idling) and overspeed range while the control within the normal operation range is done by the driver's pedal, i.e. by an operator. Last but not least a governor modification cannot easily be reversed in cases where biogas is not available at the full rate and the engine would have to be operated on diesel fuel.

For most applications the electronic or separate mechanical governor should be given preference.

5.3.3 Semi-automatic Control

The normal self-governing mechanism of the diesel engine can however also be used without separate control of the gas supply. This is achieved when biogas is supplied at a lower rate than the maximum possible, i.e. as long as the diesel fuel portion is larger than what is necessary for ignition.

The larger portion of diesel fuel leaves room for the governor to control the engine's power/speed by increasing and decreasing the diesel fuel portion while the gas supply is set at a constant rate.
If for instance the gas portion of the total fuel supply is only 60% at rated power, the diesel fuel portion will be 40%, but can be decreased by 25% to the minimum necessary 15%. This reduction of the total fuel supply of 25 % can hence control the power output by about 25%.

The anticipated operations of the driven machine will determine the necessary changes in power demand. The fuel portion constantly suppliable by biogas is a function of these power changes. The diagram in Fig. 5.11 gives the maximum percentage of total fuel suppliable by biogas in relation to the anticipated fluctuation of the power demand.

Example:

- Power range required by driven machine: 21 ... 30 kW;
- Speed: constant, 1500 1/min;
- Engine type: diesel gas engine;
- Control: gas manually set, uncontrolled, diesel fuel controlled by governor

Step 1:
Determine anticipated power variation in percent below maximum power required:

Equ. 5.6)
Step 2:


Use diagram in Fig. 5.11: with load variation of 30% constant biogas supply = 55% of total fuel supply.

The diesel fuel supply will hence vary from 45 % at full load, i.e. 30 kW, to 15% at anticipated partial load, i.e. 21 kW. Should the load be reduced further the governor will reduce the fuel injected subsequently to less than 15% and stop the engine unless it is blocked by the idling screw. In this case the biogas supply should be manually reduced to a still lower constant admission rate. Operation with insufficient ignition fuel is to be avoided. An oversupply of total fuel which is possible as in automatic control needs to be safely excluded.

The "semi-automatic" method may be convenient for certain modes of operation. However, the possible load variations need to be carefully anticipated or tested. Last but not least the maximum possible substitution of diesel fuel by biogas cannot be fully utilized in this case.

For further information on operation of the engine with the driven machines refer to Chapter 7.

5.4 Performance, Operational Parameters

Diesel gas engines have been in use for a variety of purposes using gas such as natural gas, sewage gas, biogas, gas from waste disposal dumps and even carbon monoxide. The performance of diesel gas engines in dual fuel mode, i.e. using two fuels at a time, has been found to be almost equal to the performance using diesel fuel alone as long as the calorific value of the gas is not too low, i.e. as long as the fuel gas volume necessary for the power required is not too high.

The inlet channel and manifold of a diesel engine are dimensioned in such a way that at the maximum speed and power output of the engine sufficient air can be sucked in to obtain an air/(diesel) fuel ratio which is optimal for operation at this point, i.e. excess air ratio l = 1.2 ... 1.3. When the diesel fuel is reduced and an air/gas mixture is sucked in instead of air alone, part of the air is displaced by the fuel gas. With less air fed to the engine and an excess air ratio necessarily maintained at l = 1.2 ... 1.3 the total fuel input (diesel and fuel gas in kJ/s) will be less than the fuel input in diesel operation. As a result of this reduction in both fuel and air, the maximum power output at high speed in dual fuel mode may be less than in diesel fuel operation.
This decrease is however less significant than in modified petrol engines.

For operation at lower and medium speeds, however, the air inlet is larger than necessary ("overdimensioned") and allows a relatively larger amount of air/fuel mixture to be sucked in. Hence the power output will not be significantly lower than in diesel operation. In some cases even more power can be obtained if the dimension of the inlet allows more air/fuel mixture in than required for the original power in diesel fuel operation. Operation at a higher power output than originally designed for may however be harmful to the engine and should in any case be avoided.


Fig. 5.12: Performance charts of a 10 kW single cylinder gas engine with biogas at n=1500 min-1 (from[11]).

a) a sfc biogas in dual fuel mode , b sfc diesel in diesel fuel mode, c sfc diesel in dual fuel mode
b) a diesel fuel saved, efficiency dual fuel mode
c) exaust gas temperature at silencer outlet

Fig. 5.12 shows the performance of a single-cylinder diesel gas engine. Note that at high speeds the substitution of diesel fuel by biogas is reduced as a result of air being displaced by biogas at a rate too high to obtain complete combustion at full power. At higher biogas inputs the excess air ratio decreases to l = 1.1 or less, causing smoke and a drop in power.

To predict the power output of a diesel engine converted into a diesel gas engine the following has to be observed:

- Operational speed: as long as the anticipated operational speed is less (< 80%) than the maximum rated speed specified for the engine it may be assumed that the engine will perform equally well in dual fuel mode as in diesel fuel mode. Substitution of up to about 80% of diesel fuel by biogas is possible without affecting the power output.

- Substitution of diesel fuel: the rate of substitution can be less than the maximum possible, i.e. less than about 80% (because of low availability of biogas or anticipated problems with injector overheating); the decrease in performance is insignificant.

- Operational power: for engines operating in continuous service, i.e. more than one hour at one time, the normal operational power should be at about 80 . . . 90% of the rated maximum power. The diagrams in Fig. 5.12 show that the specific fuel consumption has the lowest value at between 70 . . . 90% of the rated power.

However, the operational power output of the engine is largely dependent on the power required by the machine or equipment being driven. The matching of both engine and driven machine requires careful consideration in order to ensure the optimum operation of the engine (see Chapter 7).

The exhaust gas temperature in dual fuel mode is higher than in diesel fuel mode as the combustion velocity is lower, i.e. the combustion process may not be completed when the exhaust stroke begins. It is therefore more important to be observed at high engine speeds and high rates of substitution by biogas. In order to prevent the exhaust valves from becoming overheated, the temperature measured at the outlet of the cylinder head should not exceed 550 °C. Reduction of temperature is achieved by a reduction of speed and/or biogas rate.

5.5 Modification of a Diesel Engine into a Gas Otto Engine

5.5.1 Necessary Alterations

The principal functioning of an Otto engine has been dealt with earlier in Chapter 3.3.2. The modification of a diesel engine into an Otto engine, i.e. spark ignition engine, involves a major operation on the engine and the availability of certain parts which will have to be changed (see Fig. 5.13). The main changes are the

- removal of the injector pump and injection nozzles,
- reduction of the compression ratio to e = 10 . . . 12,
- mounting of an ignition system with distributor (cum angular gear), ignition coil, spark plugs and electric supply (alternator),
- provision of a mixing device for the supply of an air/fuel mixture with constant air/fuel ratio (venturi mixer or pneumatic control valve).

5.5.2 Removal of Injection System

The removal of the injection system is the easiest part and does not require too much expertise. However, the gear drive for the injector pump (see Fig. 3.7) has to be carefully disassembled as it may be needed to drive the distributor of the spark ignition system. If this is not required, the engine housing needs to be closed off with a cover (to be manufactured accordingly) to prevent dirt from entering the crankcase and loss of engine oil.

5.5.3 Reduction of Compression Ratio

The reduction of the compression ratio to e = 12 or less is essential because at higher pressures spark ignition does not always function effectively. The choice of the compression ratio also depends on the possible variety of gases to be used. Natural gas with a considerable percentage of early igniting components (butane) requires a relatively low compression ratio, and LPG (propane) also tends to self-ignite a lower temperatures (compression) than pure methane (see table of fuel properties in Appendix II). The compression ratio of industrially converted engines is therefore found in the range of e = 10.5 ... 11.5 to facilitate the use of a variety of gases.

A change of the compression ratio is effected by enlarging the volume of the compression chamber Vc (see Equ. 3.8). It can be performed by:

- exchanging the piston(s) for one that effects a lower compression ratio,
- machining off material from the piston
- machining off material from the combustion chamber in the cylinder head,
- exchanging the standard cylinder head for a special low compression head,
- using a thicker cylinder gasket.

The shape of the combustion chamber also plays an important role.
While for the performance of a diesel engine an antechamber or swirlchamber arrangement is often advantageous for efficient combustion, an Otto engine requires an evenly shaped combustion chamber to facilitate even combustion propagation and pressure rise in the homogeneous air/fuel mixture. A direct injection-type diesel engine is therefore the best option for transformation into an Otto engine (see Fig. 3.12 diesel engine combustion chambers).

Exchanging the piston or the cylinder head is undoubtedly the most elegant method but it is restricted to engines for which manufacturers or suppliers offer such parts.

Machining off material from the piston top is usually possible but has an effect on the dynamic balance of the moving parts of the engine. It should be done in such a way that the material thickness of the piston top does not become critically low. (Diesel pistons usually have a strong top because of the high peak pressure, about 100 bar, active near TDC.) In machining off material from the combustion chamber in the cylinder head one needs to carefully consider the material thickness around the valve seats which should under no circumstances be weakened. A geometrical and even shape of the combustion chamber should be aimed for.

The use of a thicker gasket or insertion of a ring or spacer with the shape of the cylinder head gasket is only possible where appropriate material is available and where the joining surface, bolt length, etc. allows enlargement of the distance between cylinder block and head.

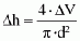
The additional volume to be created can be established as follows:

- Determine the previous volume Vprev of the combustion chamber by either calculating, using the previous compression ratio (Equ. 3.8), or by measuring the volumes of the cylinder head and the cavity in the piston (if any) with a liquid and adding the discshaped volume created by the distance between the piston at TDC and cylinder head plane (including the original gasket thickness). A disc-shaped or cylindrical volume is given by

(Equ. 5.7)

where h = (cylindrical) height of the disc.

- Determine the new volume Vnew of the combustion chamber according to the required compression ratio (Equ. 3.8).

- Establish the additional volume /V to be created:

DV = Vnew-Vprev (Equ. 5.8)

If the additional volume is created by increasing the gap between cylinder head and gasket the additional thickness Ah is found:

(Equ. 5.9)

If material is machined off from the piston or cylinder head it may be easier to determine the new volume by filling the respective cavity with liquid, measuring its volume and working towards the final volume in steps. A uniform amount of volume addition and shape of the new combustion chamber is essential for every cylinder in multicylinder engines to ensure an evenly distributed performance.

5.5.4 Addition of Ignition System

The type of electric ignition system chosen depends on the number of cylinders of the engine. In a single-cylinder engine a transistor-type ignition system can be used. A magnet is attached to the flywheel of the engine and a pick-up is mounted on the casing so that when the magnet on the flywheel passes close to the pick-up a spark is initiated by a transistor and the ignition coil. This system will cause a spark at every revolution of the engine, i.e. one at the beginning of the working stroke and another one in the overlapping phase between exhaust and suction stroke where it is not utilized but does not do any harm. Such simple systems are available from various manufacturers and are widely used in single-cylinder motorcycles. The positioning of both the magnet and that of the pick-up have to be well synchronized with each other and with the position of the piston or its actual crank angle. Ignition timing is essential both for good combustion and optimum performance of the engine. Mounting the pick-up on a small plate with slots or long holes allows for fine tuning after recommissioning. Once properly set, this type of ignition does not need to be readjusted after a certain period of operation as it is not subject to wear and tear unlike systems using breaker points.

Unless the supplier of the ignition system stipulates a different method, fixing the magnet on the flywheel can best be done by drilling an appropriately sized hole into the flywheel from either the outer circumference in radial direction (towards the center) or in axial direction near the outer circumference (observe material thickness). The hole should not be wider or deeper than the magnet itself as it has to be exactly filled by the magnet for reasons of balance. The magnet is glued in with a two component epoxy resin and additionally secured with a horizontal pin in the case of insertion in radial direction (Fig. 5.14).


Fig. 5.14: Fixing the pick-up in the casing and the flywheel, two different versions; upper half: radial insertion, lower half: axial insertion.

The same system can also be used for a twocylinder engine if the crank angle between the two cylinders is 360°, i.e. if both pistons are at TDC at the same time. The transistor unit can then be connected to two ignition coils in series, each one working on half the voltage of the system. Both spark plugs will fire at the same time, one igniting the mixture in the respective cylinder, the other one firing without effect during the overlapping phase of the other cylinder.

Diesel engines modified into Otto engines still require a disconnection of the injector pump. The pump would immediately be damaged when running dry, i.e. without diesel fuel, and can cause further damage to the engine. Should the pump camshaft be indispensable, ea. to drive the original governor which may be used for automatic control, at least the plungers cum roller and spring need to be removed.

Engines with more than two cylinders require an ignition distributor of the type commonly found in vehicle-type Otto engines. The key issue is the connection to the camshaft or the gear drive of the former injector pump as both provide the necessary speed, i.e. half the engine's crankshaft speed. Depending on the possible mode of connection and space a 90° angular gear drive with a transmission rate of 1: 1 may be needed. The distributor will have to be mounted in a way that it is free to be turned in its clamp holder, preferably by 360°. The ignition can then be set by choosing the most suitable position for the distributor. This is especially useful when a diaphragm for advancing the ignition by suction pressure from the manifold is attached as it requires extra space.

Distributors from vehicle Otto engines are usually equipped with centrifugal advancing mechanisms. which advance the ignition in relation to the engine speed as required. They therefore require one specific direction of rotation of the rotor, i.e. they need to be connected to a shaft rotating in the same direction. The opposite direction of rotation would cause a delay in the ignition and poor performance at higher speeds.


Fig. 5.16: Cylinder head modified with spark plug on increased combustion chamber volume (a) vs. original diesel version with injector (b)

1 cylinder head, 2 combustion chamber, 3 piston, 4 spark plug, 5 injector nozzle, 6 ignition cable conection, 7 fuel supply from main injector-pump, 9 cooling oil connections

Matching of the distributor model with the direction of rotation available from the engine is therefore essential.

The coordination of the distributor cable outlets with the engine cylinders must consider the "built-in" firing order of the engine. To find out the correlation between the position of the piston and the stroke of the process for any cylinder and the respective position or angle of the distributor/ camshaft/crankshaft, one can open the cylinder head cover and carefully turn the engine's crankshaft in the normal operating direction. Use a thin screwdriver and insert it carefully through the hole of the spark plug of the first cylinder to sense the piston's movement towards TDC. If both the inlet and outlet valves are firmly closed at TDC and remain closed even when the crankshaft is turned to either side by about 90° this TDC position is the one where the working (combustion) stroke begins, i.e. where a spark is needed. This cylinder's spark plug will have to be connected to the respective contact in the distributor cap to which the distributor rotor points. If the rotor does not point to any contact the entire distributor will have to be turned in the opposite direction of the rotor's rotation until the breaker prints open. As at this position the respective cylinder will be ignited at TDC, the ignition cable of the cylinder concerned will now have to be connected to the distributor cap contact, to which the rotor points. The precise point of ignition before TDC will be finally set after all cylinders have been connected to the distributor.

As the next step the crankshaft will have to be turned in the direction of operation until another piston reaches TDC with valves closed. Connect the ignition cable for this cylinder to the next cable socket in the distributor cap following the rotor's direction of rotation. Continue the procedure until all cylinders are connected to their respective sockets on the distributor cap.

To obtain the required point of ignition, i.e. about 20 . . . 22° crank angle before TDC, the whole distributor can now be turned against the direction of rotation of the distributor rotor by about 10°. Should a stroboscope light be available, one center punch mark on the engine (flywheel) housing as well as one mark for 0° TDC and 20° before TDC each on the flywheel itself will be useful for the precise tuning of the ignition after start-up.

Installation of the spark plug in the cylinder head requires careful craftsmanship. The removal of the injector jet leaves a hole which may be used if

- the hole is not bigger than the core diameter of a standard spark plug thread (three sizes available!),

- the cylinder head thickness corresponds with the length of the threaded part of the spark plug (two standard lengths available),

- the extension of the hole including threads does not considerably reduce the material thickness towards the valve seats; otherwise cracks can easily result and the seats may become loose.

The injector hole will have to be drilled to the size necessary to tap the threads (refer to respective standards). If the material of the cylinder head is too thick, the hole for the body (not threads) of the plug can be extended until the beginning of the thread is on a level with the combustion chamber surface and the electrodes protrude slightly (not more than 2 ... 3 mm into the combustion chamber' see Fig. 5.16a). Any protruding of the spark plug threads into the combustion chamber may cause damage to the valves or piston if they touch each-other. Furthermore removal of the spark plug can become almost impossible when the protruding threads are burnt and filled with hard combustion deposits.

If the spark plug thread diameter is smaller than the hole an appropriately sized bush, threaded internally and externally, has to be inserted, possibly with a collar and screwed in from outside.
A possible leakage must be carefully avoided. Any liquid cylinder head gasket material or "loctite" may be applied when screwing the bush into the cylinder head, but keep the threads for the spark plug clean.

It should not be forgotten that the ignition system requires a source of electricity, i.e. an alternator cum batteries and regulator which can be adopted from any vehicle-type engine. Some diesel engines are equipped with alternators and batteries for the electric starter and other purposes anyhow.

Last but not least it must be clearly understood that the above modifications and the machining of the cylinder head as well as piston, etc. require a well equipped machine workshop, precision and associated expertise.

5.5.5 Addition of Mixing Device and Speed Control

The choice of the mixing device to be used follows the same criteria as for any other Otto engine modified for the use of gas. A venturi mixer, a gas mixing valve or even a simple mixing chamber for a limited range of operation can be used. The design and dimensioning of mixing devices for Otto engines are explained in more detail in Chapter 6.

In a case where it is possible to connect the ignition distributor to the camshaft, the original speed governor can be retained and utilized for speed and power control. The movement of the control rack may, via appropriate lever and rod, be connected to the butterfly valve of the gas carburetor or venturi mixer. The injector pump housing and its camshaft may have to be retained also in cases where the governor is attached to the outer end of the injector pump, using the pump shaft for its motion. External control devices as described for dual fuel operation can also be used.

TO PREVIOUS SECTION OF BOOK TO NEXT SECTION OF BOOK