Back to Home Page of CD3WD Project or Back to list of CD3WD Publications

3.3.4 Mise en évidence de spores dans des excréments de Prostephanus truncatus infestés

Table des matières - Précédente - Suivante

Un insecte peut contracter une infection de protozoaires par ingestion (LIPA, 1974: WEISER, 1961). Eu égard 4 ce mode d'infection, ;1 est important de savoir de quelle manière l'agent pathogène va se propager d'un hôte à l'autre au sein d'une population. S'agissant de P. truncatus , il existe deux possibilités de dissémination des spores dans le substrat nutritif. Il y a d'une part, en un certain point, dissémination dans le substrat d'une quantité de spores relativement importante, consécutive à la décomposition d'un animal mort et infeste. Ces spores vont être ensuite propagées peu à peu par ceux de ses congénères qui se seront contamines en les ingérant Les spores peuvent d'autre part pénétrer dans le substrat nutritif par les excréments des animaux et être ensuite propagées. Afin d'élucider la question de l'introduction des spores dans les excréments de P. truncatus infectes, on a procédé à l'essai suivant.

Ayant prélevé dans l'élevage infesté 25 adultes de P. truncatus, on les a soigneusement nettoyés afin de les débarrasser des particules de farine. Cette précaution avait pour but d'ôter les éventuels spores de protozoaires adhérant au corps des insectes. Les coléoptères ont été ensuite places séparément dans des boîtes de Petri en verre, dont le fond était recouvert d'un morceau de papier, et gardés dans ces boîtes jusqu'à leur mort. Apres leur mort, les sujets ont été examinés en vue de détecter une éventuelle infestation de protozoaires. Leurs excréments ont ensuite été retires des boites de verre et examines, sous forme de préparation, afin de déceler 13 encore une infestation éventuelle par des spores de protozoaires.

La figure 10 montre les spores mises en évidence dans les excréments des 25 adultes de P. truncatus Des spores ont été découvertes chez 10 des anobies, lesquelles étaient toutes victimes d'une forte infestation de protozoaires. Il s'agissait en l'occurrence, et sans exception, de spores de Mattesia bien que quelques-uns des animaux examinés aient été également atteints d'une infection mixte, provoquée par des Nosema sp. et des Mattesia sp. Chez 2 individus seulement, on a pu isoler dans les matières fécales un nombre relativement élevé de spores. Chez les 8 autres sujets, en revanche, on a dénombré moins de 10 spores de Mattesia seulement par préparation.

La figure 10 renseigne par ailleurs sur la longévité des sujets placés en observation. Si l'un deux a survécu durant 14 jours, la plupart étaient déjà morts au bout de à ou 4 jours. Les excréments des P. truncatus adultes ayant survécu plus longtemps, à savoir entre g et 14 jours, ne recelaient pas de spores. Il convient de préciser au sujet de ces résultats que l'infection de protozoaires, déjà fort avancée, dont les animaux hôtes adultes étaient victimes, a très certainement entraîné des altérations physiologiques qui ont provoque à leur tour des troubles digestifs. Les animaux sélectionnés n'ont par ailleurs reçu aucune nourriture durant l'essai.

Fig. 10 : Mise en évidence de spores dans les matières fécales de 25 adultes de Prostephanus truncatus fortement infestés par des protozoaires

En résumé, on peut conclure que la propagation des spores par l'intermédiaire des matières fécales de P. truncatus infestés ne revêt une certaine signification que dans le cas de Mattesia sp. Eu égard aux faibles quantités de spores, découvertes en outre dans quelques parties d'excréments seulement, il est toutefois tris probable que les protozoaires se transmettent essentiellement par le biais de cadavres infestés en décomposition et que la transmission par les matières fécales demeure un phénomène très limité.

3.3.5 Influence des spores de protozoaires sur la dynamique des populations de Prostephanus truncatus

En complément des observations individuelles précédemment décrites, on a pratiqué deux essais d'inoculation destinés à étudier la dynamique de population de l'anobie P. truncatus Pour le premier de ces essais, on a utilise des coléoptères infestes naturellement, et cela afin d'établir dans quelle mesure il était possible d'intensifier l'infestation naturelle de la population de ravageurs par des protozoaires en procédant à un traitement aux spores. vu que l'on trouve effectivement dans les greniers à maïs des populations de ravageurs infestées naturellement, cet aspect de la question revêt une importance certaine du point de vue des conditions pratiques de la mise en oeuvre des protozoaires. Dans le cadre d'un second essai, on utilise des anobies exemptes d'infestation. La question primordiale consistait en l'occurrence à déterminer si les protozoaires Etaient capables de s'établir dans la population de l'hôte à la suite du traitement aux spores, et, dans l'affirmative, avec quels résultats.

3.3.5.1 Inoculation pratiquée sur des Prostephanus truncatus infestés naturellement

Pour observer la dynamique de population de P. truncatus infestes naturellement, on a pris à conteneurs, dans chacun desquels on a appliqué à 60 coléoptères, sans distinction de sexe, la préparation mixte aux spores. Parallèlement à cette expérience, on a préparé une variante non traitée Les populations ont été alors placées en observations les imagos et les larves mortes étant retirés des conteneurs au bout de 4, 8, 12 et 16 semaines. On a ensuite établi sur 50 individus, représentant chacun des stades, le pourcentage d'infection par les protozoaires.

On trouvera sur la figure 11 une comparaison du nombre moyen d'adultes vivants pour chacune des variantes. Sous l'influence du traitement aux spores, la génération P a donné naissance à une première génération filiale de 929 adultes vivants, pendant que la génération P du témoin produisait BOC coléoptères. Dans la génération filiale F2, les populations traitées comptaient 240 animaux seulement, alors que le nombre de sujets était presque deux fois plus élevé dans les récipients non traites Sous l'influence des spores, on ne comptait plus en moyenne dans la génération F3 que à imagos vivants, alors que l'on dénombrait 65 coléoptères chez les populations non traitées. Les populations-témoins présentaient par conséquent une dynamique un peu plus stables que les populations traitées.

Fig. 11 : Dynamique des populations de Prostephanus truncatus infestées naturellement, sans traitement (témoin), et après traitement aux spores (traitement), avec retrait des adultes au bout de 4, B. 12 et 16 semaines (P = première génération, F 1 à 3 = générations filiales 1 à 3)

Le recul accentué au nombre d'adultes enregistré au sein de F2 et de F3 s'explique par le fait que les imagés aptes a la reproduction ont été séparés des populations assez rapidement aprés maturité. Selon SHIRES (1979), la durée moyenne du cycle évolutif de P. truncatus, depuis la larve jusqu'à l'animal adulte, est d'env. 28 jours dans les conditions de l'essai réalisé ici (30 °C et 80 % d'humidité relative).

Cette période correspond toutefois exactement aux dates de la dynamique auxquelles on s'est conformé dans le cadre de l'essai. La plupart des adultes n'avaient donc que peu de temps pour la copulation et la ponte, ce qui fait que le nombre d'adultes a diminue de plus en plus nettement d'une date à l'autre.

La figure 12 indique la mortalité des adultes pour chaque variante. Il s'agit ici du taux de mortalité moyen au sein des générations. La comparaison statistique du taux de mortalité des deux variantes a été effectuée au moyen du test Chi2. Les différence significative sont indiquées sur la figure 12. Si, de F1 à F3, la mortalité a augmente aussi bien au sein des populations non traitées que des populations traitées, le taux de mortalité des adultes infestes par les spores (tait cependant beaucoup plus élevé. Dans la troisième génération filiale, presque tous les coléoptères traites, soit 98 %, étaient morts, alors que ce chiffre n'était que de 53 % d'adultes pour la population-témoin.

Fig. 12: Mortalité des adultes de Prostephanus truncatus chez les populations non traitées (témoin) et chez les populations traitées aux spores (traitement) (P= première génération, F 1 à 3 = générations filiales 1 à 3)

La figure 13 indique le nombre moyen des larves mortes au sein des générations filiales des deux variantes. La comparaison révèle que les chiffres différaient fortement au sein de la génération on F2. On a en effet dénombré ici dans les populations traitées aux spores 550 larves mortes, alors que ce chiffre n'était que de 208 pour les populations-témoins.

Fig. 13 : Nombre moyen de larves mortes sur le témoin (T) et parmi les populations traitées aux spores (T1) de Prostephanus truncatus infestés naturellement (F 1 à 3 = générations filiales 1 à 3)

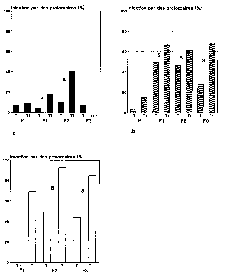
Les taux d'infection moyens des stades examinés de l'anobie sont indiqués pour chacune des variantes sur la figure 14, a à c. La comparaison entre les taux d'infection des adultes vivants et ceux des adultes morts révèle que les coléoptères morts étaient plus fréquemment infestés par des protozoaires que leurs congénères vivants (cf. '-9 14, a et b). Ce résultat permet déjà de conclure aux effets mortels des agents pathogènes. S'agissant des stades de développement morts du ravageur, le nombre des larves infestées par l'agent pathogène était beaucoup plus élevé que celui des adultes (cf. fig 14, b et c). La comparaison statistique entre les taux d'infection observés chez les adultes et les larves infestes naturellement et les adultes, morts et vivants, ainsi que les larves mortes ayant subi un traitement, a révélé qu'à l'exception de la génération P. les taux d'infection des divers stades traités étaient tous très nettement supérieurs à ceux résultant de l'infection naturelle par les protozoaires (cf. fig. 14, a à c). Les différences significative entre les stades de P. truncatus infestes naturellement et les stades traités ont été mises en relief sur la figure 14, a à c.

Le taux d'infection des adultes morts qui avaient subi un traitement auparavant était supérieur à 60 % pour les trois générations filiales (fig. 14 b). Parallèlement à ce degré d'infection élevé, les populations traitées présentaient des taux de mortalité largement supérieurs à ceux du témoin (cf. fig. 12). Ces résultats permettent de penser que chez les populations traitées aux spores, l'infection de protozoaires a eu des répercussions sur la mortalité des coléoptères. Aucun effet de ce genre n'a été observe au sein des populations infestées naturellement. Le taux d'infection des adultes morts a baisse a une génération à l'autre, son rôle devenant ainsi de plus en plus négligeable dans la mortalité constatée (cf. fig. 14 b).

C'est dans la génération F2 des populations traitées que l'infection des larves mortes par les protozoaires atteignait son plus haut niveau avec 92,5% (fig. 14 c). Le nombre remarquablement élevé de larves mortes au sein de cette même génération est également à apprécier dans ce contexte (cf. fig. 13). La plupart des larves sont mortes par conséquent des suites de la maladie. Au-delà, on peut en déduire que la forte régression observée au sein de F2 dans la dynamique des populations traitées (cf. fig. Il) est à mettre pour l'essentiel au compte du taux de mortalité élevé affectant les larves. Les effets n'ont pas Et! les mêmes chez les populations exemptes de traitement aux spores, ce qui tient d'une part au fait que le nombre de larves mortes était beaucoup plus réduit dans cette variante (cf. fig. 13), et que d'autre part les taux d'infection de ces animaux demeuraient en général en deçà de 50 % (cf. fig. 14 c).

Fig. 14 : Comparaison des taux d'infection chez les Prostephanus truncatus infestés naturellement (T) et ceux traités aux spores (T1) dans la première génération et les générations filiales 1 à 3 (F1 à 3)
(valeur caractéristique pour a = 0 05;* = pas d'observation d'individus)
a Infection des adultes vivants
b Infection des adultes morts
c Infection des larves mortes

Pour terminer, nous examinerons séparément les taux d'infection des deux protozoaires. Les figures 15 et 16 représentent en les taux d'infection respectifs par Nosema sp. et Mattesia sp. des populations de P. truncatus pendant toute la durée de l'essai. Le test Chi2 utilise' qui vise à comparer les taux d'infection des animaux traités à ceux de leurs congénères infestes naturellement, tenait compte ici des individus atteints d'une infestation mixte apparus dans les deux variantes.

L'espèce Nosema (tait beaucoup plus fréquemment représentée au sein des populations traitées que chez les populations non traitées, et cela à tous les stades (fig. 15). Avec un taux d'infection maximal de 82,5 % chez les larves mortes, la microsporidie s'est de toute évidence fort bien propagée dans la population de l'hôte. Il en va tout autrement en ce qui concerne l'espèce Mattesia Les taux d'infection naturelle étaient ici dans tous les cas supérieurs aux taux d'infection obtenus à la suite de l'application à P. truncatus ri faut toutefois noter que cette établie par le test statistique, était uniquement significative au niveau des adultes morts (fig. 16). Le nombre total de sujets infectés par l'espèce Mattesia atteignait au maximum 40 %, cette infestation pouvant d'ailleurs s'expliquer pour les deux variantes par l'infection naturelle de la génération parentale.

Le tableau 10 indique l'infestation naturelle moyenne par les protozoaires présentée par les P. truncatus utilises. Comme le montre ce tableau, les animaux non traites étaient assez fortement infestes par la néogrégarine, alors que l'espèce Nosema était pratiquement absente. L'espèce Mattesia disposait donc de conditions nettement plus favorables que Nosema sp. pour se propager dans la population.

La première génération vivante de l'autre variante présentait au contraire une infection plutôt uniforme, provoquée ici par les deux protozoaires. (Les animaux morts et infestes n'ont joue aucun rôle dans la propagation des protozoaires dans les populations du fait qu'ils ont été retirés relativement tôt). L'addition de la préparation mixte aux spores, qui contenait beaucoup plus de spores de Nosema que de spores de Mattesia (cf. chap. 2.4.3), s'est traduite de toute évidence par une propagation optimale de la microsporidie, alors que la néogrégarine n'a cause chez les possède toutefois aucun caractère d'universalité dans la mesure où l'infection naturelle par les protozoaires représentait dans cet essai une variable aléatoire.

Fig. 15 : Infection par Nosema chez les populations de Prostephanus truncatus infestées naturellement (témoin) et chez celles traitées aux spores (traitement)
(Taux moyens aux divers stades de développement et pendant toute la durée de l'essai)

Fig. 16 :Infection par Mattesia chez les populations de Prostephanus truncatus infestées naturellement (témoin) et chez celles traitées aux spores (traitement) (Taux moyens aux divers stades de développement et pendant toute la durée de l'essai)

Nous constaterons en résumé que l'élévation du taux de mortalité observée chez les populations de P. truncatus traitées aux spores est principalement due à l'infection par Nosema sp..

Tabl. 10 : Infection moyenne par Nosema sp.. et Mattesia sp. de la première génération chez les populations de Prostephanus truncatus infestées naturellement et chez les populations traitées


Espèce

Taux d'infection (%)

traité

non traité

vivants morts vivants morts
Mattesia sp. 6,3 3,7 4,2 11
Nosema sp. 0,6 0 4,9 3,7


3.3.5.2 Inoculation pratiquée sur des Prostephanus truncatus sains

Pour l'essai en conteneur, lequel comportait trois répétitions et avait pour objet d'observer la dynamique d'une population à la suite d'un traitement à une préparation mixte aux spores, on a utilisé 10 mâles et femelles sains de P. truncatus par verre. Le nombre de coléoptères morts et vivants, ainsi que le nombre de larves mortes, ont été recenses respectivement au bout de 4, 8, 12 et 16 semaines. On a par ailleurs établi le taux d'infection des sujets traites aux spores selon la méthode désormais connue.

La figure 17 montre la dynamique des populations saines et celle des populations traitées aux spores de protozoaires à partir du nombre moyen d'adultes vivants. Au sein de la génération Fi, la descendance a augmente dans les deux variantes de manière relativement uniforme. Alors que dans la seconde génération filiale, les populations saines ont continue de se reproduire, donnant naissance à près de 800 individus, on a enregistre dans la génération F2 traitée un recul du nombre de coléoptères, qui n'atteignait plus en moyenne que 250 animaux. Pour ce qui est de la génération F3, enfin, on a constaté une régression au niveau de la dynamique dans les deux variantes. Avec 100 individus seulement, on ne dénombrait cependant plus chez les populations traitées qu'un tiers des animaux présents dans les populations saines. La régression, a la fois précoce et accentuée, observée chez les populations de ravageurs traitées, constitue déjà un indice de l'effet exercé par les spores de protozoaires.

Fig. 17 : Dynamique des populations de Prostephanus truncatus saines sans traitement (témoin) et après traitement aux spores (traitement), avec retrait des adultes au bout de 4, 8, 12 et 16 semaines (P = première génération, F1 à F3 = générations filiales 1 à 3)

Le taux moyen de mortalité des adultes de chaque variante indique qu'à l'exception de la première génération, les coléoptères traités des trois générations filiales sont morts en plus grand nombre que leurs congénères non traités (fig. 18). Le test Chi² 2 n'a permis d'établir une différence significative entre les variantes que pour la génération F2. La mortalité enregistrée dans les deux variantes est demeurée faible, puisque le nombre global de coléoptères morts atteignait tout au plus 25,5 %.

Fig. 18: Mortalité des adultes de Prostephanus truncatus chez les populations saines (témoin) et chez les populations traitées aux spores (traitement)
(P = première génération, F1 à F3 = générations filiales 1 à 3)

La figure 19 indique le nombre de larves mortes au sein des générations filiales. S'agissant de la génération F1, on a trouvé dans les deux variantes un nombre de larves mortes sensiblement égal. Dans la seconde génération le nombre de larves mortes était deux fois supérieur à celui des populations saines, tandis que l'on observait la situation inverse pour la génération F3. On a en effet dénombré 258 larves dans les populations-témoins, ce qui représente 56 animaux de plus que les 202 larves mortes trouvées chez les populations traitées. Ces résultats sont indifférent.

Fig. 19 : Nombre moyen de larves mortes sur le témoin (T) et chez les populations de Prostephanus truncatus traitées aux spores (T1) (F 1 à 3 = générations filiales 1 à 3)

En complément de le dynamique et la mortalité dans les deux variantes, on a également établi les taux d'infection des différents stades des populations de P. truncatus traitées aux spores. La figure 20 représente les taux d'infection moyens pendant toute la durée de l'essai. Ce sont les larves mortes du ravageur qui, avec un taux de 80 %, étaient les plus fortement infestées par l'agent pathogène. Les adultes morts étaient, eux, infestes à 70 % par des protozoaires, les P. truncatus vivants ayant subi l'infestation la plus minime, avec près de 20 %. Le test Chi² a révélé des différences significatives entre les taux d'infection des divers stades de P. truncatus (cf. fig. 20).

Fig. 20 : Taux d'infection aux différents stades de développement des populations de Prostephanus truncatus traitées aux spores (Taux moyens pendant toute la durée de l'essai)

Ces résultats démontrent que l'application de spores de protozoaires a provoque dans les populations du ravageur de graves infestations. Bien que la maladie causée par les protozoaires se soit très fréquemment manifestée chez les larves et les adultes morts, on n'a pas observe d'augmentation significative de la mortalité des sujets traités par rapport aux sujets sains (cf. fig. 18). Néanmoins, vu que le nombre des individus qui se sont développés sous l'effet des spores était nettement inférieur, nous allons examiner dans la suite plus en détail la multiplication dans les deux variantes.

Le tableau 11 met en opposition le nombre moyen d'individus comptés dans les quatre générations, d'une part dans les populations saines, d'autre part dans les populations traitées aux spores. Comme on peut le constater, il n'y a eu multiplication des P. truncatus traités dans aucune des trois générations filiales, puisque aussi bien le nombre d'individus décroît au contraire d'une génération à l'autre. Sur les 544 sujets que comptait la génération F1, on n'en dénombrait plus que 413 dans la seconde génération et 334 seulement dans la génération F3. Avec 895 sujets, les anobies saines se sont en revanche multipliées jusqu'à la génération F2. Ce n'est qu'à la génération F3, qui comptait 729 individus, que l'on a constaté ici une régression dans la dynamique. Le recul précoce et très marqué de la dynamique, de même que les taux d'infection élevés dans les populations traitées, permet d'en déduire que la maladie causée par les protozoaires a entraîné de toute évidence une régression de la reproduction du ravageur.

Tabl. 11: Multiplication des populations de Prostephanus truncatus saines et de celles traitées aux spores (Nombre moyen de larves et d'adultes morts respectivement au bout de 4, 8, 12 et 16 semaines)

Populations P* F1* F2* F3*
saines 20 613 895 729
traitées 20 544 413 334


* P = première génération F 1 à 3 = générations filiales 1 à 3)

L'examen des taux d'infection moyens révèle qu'aux stades morts de P. truncatus, l'espèce Mattesia était, et cela de manière significative, plus fréquemment représentée que la microsporidie (fig. 21). La concentration de spores contenue dans la préparation de Mattesia sp. étant inférieure à celle de Nosema sp., Mattesia sp. apparaît comme le plus virulent des deux protozoaires. Ce résultat est en contradiction avec le premier essai des populations. En effet, bien que la concentration de spores ait été la même dans les deux préparations, le nombre de sujets infestés par Mattesia sp. était nettement inférieur à celui des sujets infestés par la microsporidie. La réussite très inégale des essais d'infraction par Nosema sp. et Mattesia sp. pourrait s'expliquer par des rapports concurrentiels d'ordre général.

On peut constater enfin que le traitement aux spores a permis, au cours des deux essais des populations, d'enregistrer un taux d'infection élevé à la fois chez les adultes morts (plus de 60 %) et chez les larves mortes du ravageur (plus de 80 %). Le test Chi² a révélé que les sujets morts étaient, de manière significative, plus fréquemment infestes par les protozoaires que leurs congénères vivants. On a donc pu mettre en évidence les effets mortels de l'agent pathogène parmi toutes les populations de P. truncatus comportant des individus infestes par les protozoaires.

Fig. 21 : Taux d'infection par Nosema sp. et Mattesia sp. aux différents stades de développement des populations de Prostephanus truncatus traitées aux spores (Taux moyens pendant toute la durée de l'essai)

3.3.6 Contagiosité des spores de protozoaires après stockage

La longévité des spores de protozoaires constitue un facteur important du point de vue du stockage des insecticides biologiques. Ce type de préparations, qui contient des agents pathogènes microbiens, doit être mis en formule et stabilise pour que ses propriétés insecticides ne soient pas altérées dans des conditions de stockage normales (COUCH & IGNOFFO, 1981).

Afin de déterminer la capacité au stockage des spores de Nosema et de Mattesia on a conserve celles-ci durant des périodes plus ou moins longues et dans des conditions variées, avant d'en vérifier la contagiosité sur des larves de P. truncatus.

Stockage des spores dans des cadavres d'insectes

La conservation des spores dans des cadavres de l'hôte constitue une méthode relativement simple et pourrait donc, le cas échéant, être pratiquée par les paysans eux-mêmes Nous allons par conséquent nous pencher dans la suite sur cette forme de conservation des spores, qui offre un intérêt pratique évident.

On a ainsi analyse le pouvoir infectieux des spores de protozoaires à la suite d'un stockage de 3, 7, 15 et 19 mois dans des P. truncatus morts, à une température ambiante de 28 "C. A l'issue des diverses par odes de stockage, on a broyé une partie des cadavres afin d'obtenir une poudre aux spores, à laquelle on été traites à chaque fois 20 larves de P. truncatus. Deux essais d'inoculation ont eu lieu, les verres de l'essai 2 contenant une quantité de spores trois fois supérieure à ceux de l'essai 1 (cf. tabl. 1).

La figure 22 indique les taux d'infestation enregistrés parmi les larves, répartis entre Mattesia Nosema et les infections doubles. On notera en premier lieu que les larves de l'anobie ont été infectées quelle que soit la variante considérée. L'âge des spores ne jouait manifestement aucun rôle du point de vue des résultats. Les spores de la préparation qui n'avait pas été stockée ont provoque de 15 à 20 % d'infections au cours des deux essais, alors que l'infestation subie par les larves a été avec 35 % (essai 1) et 40 % (essai 2), la plus forte sous l'effet des spores conservées durant 19 mois.

L'inoculation a une triple quantité de spores (essai 2) ne s'est traduite que pour deux variantes de stockage par un taux d'infection plus élevé chez les larves, alors qu'au contraire les spores des trois autres variantes de l'essai 2 ont infect! moins de sujets qu'au cours de l'essai 1. L'augmentation de la concentration des spores n'a donc eu des incidences positives sur la contagiosité chez les larves de P. truncatus que pour un nombre restreint de variantes.

Fig. 22 : Taux d'infection de 20 larves de Prostephanus truncatus par variante après inoculation de spores d'âge divers (Essais 1 et 2)

A l'inverse des résultats obtenus dans les autres variantes, les taux d'infection établis chez les larves auxquelles on a inocule des spores stockées durant 19 mois peuvent être considérés comme relativement élevés (cf. fig. 22). Dans la mesure où, aussi bien dans l'essai I que dans l'essai 2, la concentration de spores des préparations de cette variante était à proportion supérieure (cf. tabl. 1), les taux d'infection (élevés qui ont été constates sont beaucoup plus vraisemblablement dus à la quantité des spores contenues dans la poudre qu'à l'âge de ces mêmes spores.

S'agissent des résultats d'ensemble, on peut affirmer en outre que l'infection provoquée chez les larves par les spores stockées plus de à mois {tait uniquement due a Mattesia et cela dans les deux essais. D'autre part, l'inoculation, dans le cadre de l'essai 2, d'une poudre aux spores fraîchement préparée, a été exclusivement suivie d'une infection par la néogrégarine. alors que dans la même variante de l'essai 2 les deux protozoaires ont infeste un nombre égal de larves. Pour toutes les autres variantes de stockage, l'inoculation de spores a entraîné aussi bien une infection par Nosema sp. et par Mattesia sp. (cf. fig. 22). Ces résultats permettent de conclure que les deux types de spores étaient conservables pendant au moins 19 mois dans les cadavres des animaux sans perdre de leur pouvoir infectieux.

Conservation au frais et à l'état congelé de la préparation aux spores

La durée de conservation des spores de Nosema sp. et de Mattes la sp. a {te également mise à l'étude dans une préparation aux spores déjà prête. Les préparations finies ont été stockées à des températures de réfrigération (entre 4 et 10 ºC) et de congélation (entre -12 et -22 ºC). Une conservation à température normale (env. 28 ºC dans le laboratoire) a servi de témoin. La durée de stockage des préparations était respectivement de 2 et 8 mois. A l'issue du stockage, les préparations ont été inoculées à 40 larves de P. truncatus par variante. Les taux d'infection obtenus chez des larves traitées au moyen d'une quantité de spores identique sont indiques sur la figure 23.

L'inoculation à des larves de P. truncatus de la préparation aux spores soumise à un stockage à température normale (variante 1) s'est traduite par une infection provoquée par les deux espèces de protozoaires, bien qu'après 8 mois de conservation, Mattesia ne se soit plus manifestée que sous forme d'infection mixte. Dans le cas du stockage au froid (variante 2) et de la congélation (variante 3), en revanche, l'infection décelée chez les larves était uniquement due à Nosema L'absence d'infection par Mattesia suggère que les spores de cette espèce ont été tuées aussi bien par la conservation eu froid que par la congélation.

La comparaison de l'infection par Nosema dans les trois variantes permet de constater que l'infestation moyenne la plus forte, qui avoisinait les 8 %, a été observée après stockage de la préparation aux spores a une température de 28 'C (variante 1). Les spores de Nosema conservées au frais, quant à elles, ont infecté environ 6 % des larves, et après conservation par congélation (variante 3), 1 % seulement des larves de P. truncatus présentait une infestation par la microsporidie (cf. fig. 23). Le taux d'infection par Nosema sp. diminuait donc parallèlement à la température de stockage des spores. Cet effet a été constaté aussi bien à l'issue de la période de conservation de 2 mois qu'après celle de 8 mois, la période de stockage prolonge se traduisant en général par des taux d'infection moindres. Enfin, l'inoculation de spores conservées pendant 8 mois en état de congélation n'a provoque aucune infestation chez les larves de l'anobie.

Fig. 23 : Taux d'infection de 40 larves de Prostephanus truncatus par variante après inoculation de préparations aux spores conservées pendant 2 ou 8 mois à des températures diverses (Variante 1 = 23 à 32 °C, variante 2 = 4 à 10 'C, variante à = -12 à -22 °C; * = aucune infection constatée)

Les résultats d'essais présentes ici semblent indiquer qu'aussi bien la réfrigération ion et la congélation de la préparation aux spores entraînent pour Mattesia sp. la perte de sa pathogénocité, puisque aucune infestation par la néogrégarine n'a été constatée chez les larves de l'anobie. Les spores de Nosema en revanche, se sont avérées jusqu'à un certain point stockables à de telles températures. Ainsi qu'en témoignent les taux d'infection moindres, la conservation des spores à une température ambiante voisine de 28 °C s'est également avérée pour ce protozoaire plus fiable que le stockage au froid ou par congélation.


Table des matières - Précédente - Suivante